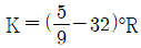
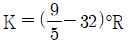
온도 °R을 절대온도[K]로 환산하는 식은?
지금 시작하기 →

・・・ 문제은행 누설비파괴검사기사(2021년) 35번

누설비파괴검사기사 2021년 05월 35번

온도 °R을 절대온도[K]로 환산하는 식은?

1
2
3
4
단축키
이전 문제로 이동은 키를 누르고, 다음 문제로 이동은 키를 누르세요
이전 문제 , 다음 문제
문제(80)
61 보일러 및 압력용기에 대한 누설검사(ASME Sec.V Art.10)에서 압력변화검사법에 사용되는 다이얼 지시형 및 기록형 게이지의 눈금판의 범위는? 62 보일러 및 압력용기에 대한 누설검사(ASME Sec.V Art.10)에서 기포누설검사-진공상자법에 사용되는 게이지가 가져야 하는 압력 범위는? 63 질량 분석계를 이용한 압력 및 진공 용기 누설 시험방법(KS B 5648)에서 일반적으로 사용하는 탐지 기체는? 64 질량 분석계를 이용한 압력 및 진공 용기 누설 시험방법(KS B 5648)에서, 가압법과 덮개법을 같이 사용하며, 헬륨을 모아서 검지하므로 작은 누출 탐지에 유리한 검사법은? 65 보일러 및 압력용기에 대한 누설검사(ASME Sec.V Art.10)에서 기포누설검사-진공상자법에 대한 설명으로 틀린 것은? 66 보일러 및 압력용기에 대한 누설검사(ASME Sec.V Art.10)에 규정된 초음파 누설 검출기 검사법에서 장비 교정에 대한 설명으로 틀린 것은? 67 주철 보일러의 구조(KS B 6202)에 따라 증기보일러에 대한 수압시험을 수행할 때 규정된 시험 압력은? 68 보일러 및 압력용기에 대한 누설검사(ASME Sec.V Art.10)에 규정된 압력변화검사법에서 누설률 결정 수단에 포함되지 않는 항목은? 69 보일러 및 압력용기에 대한 누설검사(ASME Sec.V Art.10)에 규정된 기포누설검사-진공상자법에서 기포 형성 용액의 적용방법이 아닌 것은? 70 보일러 및 압력용기에 대한 누설검사(ASME Sec.V Art.10)에서 참조 규격에 누설검사 방법이나 기법을 규정하는 경우, 참조 규격에 규정되어야 할 사항이 아닌 것은? 71 보일러 및 압력용기에 대한 누설검사(ASME Sec.V Art.10)에 따른 압력변화검사법에서 기기에 적용 가능한 최대 압력은? 72 보일러 및 압력용기에 대한 누설검사(ASME Sec.V Art.10)에서 기포누설검사-직접가압법으로 시험할 때 시험체 표면온도가 5℃~50℃의 범위를 벗어나 조건에서 검사가 가능한 경우는?
73 고압가스 실린더용 밸브(KS B 6214)에 따라 밸브 몸체에 대하여 내압시험을 실시할 때, 물을 사용하는 것이 적절하지 않은 부속품의 경우에 사용될 수 없는 가압 기체는? 74 보일러 및 압력용기에 대한 누설검사(ASME Sec.V Art.10)에서 헬륨 질량분석기 검사-후드법의 적용범위에 대한 설명으로 옳은 것은? 75 용접식 강재 석유 저장 탱크의 구조(KS B 6225)에 의거하여, 저장탱크에 대한 누설검사를 수행할 때, 밑판의 용접부에 대한 시험 압력은? 76 질량 분석계를 이용한 압력 및 진공 용기 누출 시험 방법(KS B 5648)에 규정된 가압법에 해당하는 것은? 77 보일러 및 압력용기에 대한 누설검사(ASME Sec.V Art.10)에 따른 기포누설검사-진공상자법에 규정된 진공 유지시간은? 78 질량 분석계를 이용한 압력 및 진공 용기 누출 시험 방법(KS B 5648)에 규정된 실제 누출에 해당되는 것은? 79 보일러 및 압력용기에 대한 누설검사(ASME Sec.V Art.10)에 규정된 헬륨 질량분석기 검사-후드법으로 누설검사를 수행할 때 관련 규격에서 달리 규정하지 않는 한, 교정 누설표준으로 옳은 것은? 80 질량 분석계를 이용한 압력 및 진공 용기 누출 시험 방법(KS B 5648)에서 진공 용기의 내벽과 용접 부위, 다공질의 재료로부터 나오는 기체의 방출이나, 용기 벽이나 부품으로부터의 탈착 등에 기인하여 생기는 누출을 정의한 용어는?
App Store Google Play
오늘학습 예시 이미지

시험에 합격하려면
복습을 제대로 해야 합니다.

오늘학습은 스스로 기억을 떠올리고 계획적으로 복습할 수 있도록 설계돼 있어요.
그것도, 가장 과학적인 방식으로요!

능동적 회상

능동적 회상
(Active Recall)

배운 내용을 단순 읽으며 반복하는 것이 아니라,
능동적으로 기억하고 있는지를
스스로 테스트하며
공부할 수 있는
학습 환경을 제공해 학습 효과를 높여요

간격 반복 학습

간격 반복 학습
(Spaced Repetition)

에빙하우스 망각곡선을 바탕으로
가장 최적의 시점에 복습을 제공하여
배운 내용이 잊히지 않도록 장기 기억화해요

Data 기반의
뇌과학적 복습 시스템

학습 결과 Data를 분석해, 문제별 최적화된
반복 학습량을
자동으로 분배해요.
학습에 소요되는 시간을 최소화하는
동시에
단기 기억을 장기 기억으로 전환해줘요.

36만 개 이상의
기출문제 무료 제공

공무원 및 약 300여종의 자격증 시험 기출문제
36만개
이상을 무료로 이용할 수 있어요.
여러 앱을 설치할 필요
없이, 오늘학습 하나로
모든 시험을 준비할 수 있어요.

다양한 문제 유형으로 만드는
나만의 단어장&문제집

기출 외에도 외워야 하는 내용은
객관식, 주관식, 카드, 빈칸
등 다양한 형식으로
직접 만들어 보세요. 내 학습 스타일에
맞게
나만의 단어장과 문제집을 만들 수 있어요.

시험별 체계적인
문제 관리

시험에 문제를 추가해 체계적으로
관리할 수 있어요.
주제나 단원별로
분류하고 싶다면,
시험에 챕터를 만들어
문제를 추가할 수도 있어요.

수십만 명이
오늘학습을 사랑합니다

앱 스토어 평점 4.9
구글 플레이 평점 4.8
누적 회원수 100,000+
지금 오늘학습을
시작해보세요
지금 시작하기
문제 선택