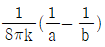
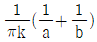
내구의 반지름 a(m), 외구의 반지름 b(m)인 동심 구 도체 간에 도전율이 k(S/m)인 저항물질이 채워져 있을 때의 내외구간의 합성저항(Ω)은?
지금 시작하기 →

・・・ 문제은행 전기산업기사(2020년 1회) 3번

전기산업기사 2020년 06월 3번

내구의 반지름 a(m), 외구의 반지름 b(m)인 동심 구 도체 간에 도전율이 k(S/m)인 저항물질이 채워져 있을 때의 내외구간의 합성저항(Ω)은?

1
2
3
4
단축키
이전 문제로 이동은 키를 누르고, 다음 문제로 이동은 키를 누르세요
이전 문제 , 다음 문제
문제(100)
1 유전율이 각각 다른 두 종류의 유전체 경계면에 전속이 입사될 때 이 전속은 어떻게 되는가? (단, 경계면에 수직으로 입사하지 않는 경우이다.) 2 반지름이 9cm인 도체구 A에 8C의 전하가 균일하게 분포되어 있다. 이 도체구에 반지름 3cm인 도체구 B를 접촉시켰을 때 도체구 B로 이동한 전하는 몇 C인가? 3 내구의 반지름 a(m), 외구의 반지름 b(m)인 동심 구 도체 간에 도전율이 k(S/m)인 저항물질이 채워져 있을 때의 내외구간의 합성저항(Ω)은? 4 대전된 도체 표면의 전하밀도를 σ(C/m2)이라고 할 때, 대전된 도체 표면의 단위면적이 받는 정전응력(N/m2)은 전하밀도 σ와 어떤 관계에 있는가? 5 양극판의 면적이 S(m2), 극판 간의 간격이 d(m), 정전용량이 C1(F)인 평행판 콘덴서가 있다. 양극판 면적을 각각 3S(m2)로 늘이고 극판 간격을 d(m)로 줄였을 때의 정전용량 C2(F)는? 6 투자율이 각각 μ1, μ2인 두 자성체의 경계면에서 자기력선의 굴절의 법칙을 나타낸 식은? 7 전계 내에서 폐회로를 따라 단위 전하가 일주할 때 전계가 한 일은 몇 J인가? 8 진공 중에서 멀리 떨어져 있는 반지름이 각각 a1(m), a2(m)인 두 도체구를 V1(V), V2(V)인 전위를 갖도록 대전시킨 후 가는 도선으로 연결할 때 연결 후의 공통 전위 V(V)는? 9 그림과 같이 도체 1을 도체 2로 포위하여 도체 2를 일정 전위로 유지하고 도체 1과 도체 2의 외측에 도체 3이 있을 때 용량계수 및 유도계수의 성질로 옳은 것은? 10 와전류(eddy current)손에 대한 설명으로 틀린 것은? 11 전계 E(V/m) 및 자계 H(AT/m)의 에너지가 자유공간 사이클 C(m/s)의 속도로 전파될 때 단위 시간에 단위 면적을 지나는 에너지(W/m2)는? 12 공기 중에 선간거리 10cm의 평행왕복 도선이 있다. 두 도선 간에 작용하는 힘이 4×10-6 N/m 이었다면 도선에 흐르는 전류는 몇 A 인가?
13 자기 인덕턴스가 L1, L2이고 상호 인덕턴스가 M인 두 회로의 결합계수가 1일 때, 성립되는 식은? 14 어떤 콘덴서의 비유전율 εs인 유전체로 채워져 있을 때의 정전용량 C와 공기로 채워져 있을 때의 정전용량 C0의 비(C/C0)는? 15 유전체에서의 변위전류에 대한 설명으로 틀린 것은? 16 환상 솔레이드의 자기 인덕턴스(H)와 반비례 하는 것은? 17 자성체에 대한 자화의 세기를 정의한 것으로 틀린 것은? 18 두 전하 사이 거리의 세제곱에 비례하는 것은?(문제 오류로 가답안 발표시 2번으로 발표되었지만 확정답안 발표시 모두 정답처리 되었습니다. 여기서는 가답안인 2번을 누르면 정답 처리 됩니다.) 19 정사각형 회로의 면적을 3배로, 흐르는 전류를 2배로 증가시키면 정사각형의 중심에서의 자계의 세기는 약 몇 %가 되는가? 20 그림과 같이 권수가 1이고 반지름이 a(m)인 원형 코일에 전류 I(A)가 흐르고 있다. 원형 코일 중심에서의 자계의 세기(AT/m)는? 21 전압이 일정값 이하로 되었을 때 동작하는 것으로서 단락 시 고장 검출용으로도 사용되는 계전기는? 22 반동수차의 일종으로 주요부분은 러너, 안내날개, 스피드링 및 흡출관 등으로 되어 있으며 50~500m 정도의 중낙차 발전소에 사용되는 수차는? 23 페란티현상이 발생하는 원인은? 24 전력계통의 경부하시나 또는 다른 발전소의 발전전력에 여유가 있을 때, 이 잉여전력을 이용하여 전동기로 펌프를 돌려서 물을 상부의 저수지에 저장하였다가 필요에 따라 이 물을 이용해서 발전하는 발전소는?
37 교류 단상 3선식 배전방식을 교류 단상 2선식에 비교하면? 38 배전선로의 전압을 √3배로 증가시키고 동일한 전력 손실률로 송전할 경우 송전전력은 몇 배로 증가되는가? 39 주상 변압기의 2차 측 접지는 어느 것에 대한 보호를 목적으로 하는가? 40 100MVA의 3상 변압기 2뱅크를 가지고 있는 배전용 2차 측의 배전선에 시설할 차단기 용량(MVA)은? (단, 변압기는 병렬로 운전되며, 각각의 %Z는 20%이고, 전원의 임피던스는 무시한다.) 41 단상 다이오드 반파정류회로인 경우 정류 효율은 약 몇 % 인가? (단, 저항부하인 경우이다.) 42 직류발전기의 병렬운전에서 균압모선을 필요로 하지 않는 것은? 43 3상 유도전동기의 전원측에서 임의의 2선을 바꾸어 접속하여 운전하면? 44 직류 분권전동기의 정격전압 220V, 정격전류 105A, 전기자저항 및 계자회로의 저항이 각각 0.1Ω 및 40Ω이다. 기동전류를 정격전류의 150%로 할 때의 기동저항은 약 몇 Ω 인가? 45 전기자저항과 계자저항이 각각 0.8Ω인 직류 직권전동기가 회전수 200rpm, 전기자전류 30A 일 때 역기전력은 300V이다. 이 전동기의 단자전압을 500V로 사용한다면 전기자전류가 위와 같은 30A로 될 때의 속도(rpm)는? (단, 전기자 반작용, 마찰손, 풍손 및 철손은 무시한다.) 46 수은 정류기에 있어서 정류기의 밸브작용이 상실되는 현상을 무엇이라고 하는가? 47 3상 유도전동기의 전원주파수와 전압의 비가 일정하고 정격속도 이하로 속도를 제어하는 경우 전동기의 출력 P와 주파수 f와의 관계는? 48 SCR에 대한 설명으로 옳은 것은?
49 유도전동기의 주파수가 60Hz이고 전부하에서 회전수가 매분 1164회이면 극수는? (단, 슬립은 3% 이다.) 50 동기기의 과도 안정도를 증가시키는 방법이 아닌 것은? 51 전압비 3300/110V, 1차 누설 임피던스 Z1=12+j13Ω, 2차 누설 임피던스 Z2=0.015+j0.013Ω인 변압기가 있다. 1차로 환산된 등가임피던스(Ω)는? 52 동기발전기의 단자 부근에서 단락이 발생되었을 때 단락전류에 대한 설명으로 옳은 것은? 53 어떤 공장에 뒤진 역률 0.8인 부하가 있다. 이 선로에 동기조상기를 병렬로 결선해서 선로의 역률을 0.95로 개선하였다. 개선 후 전력의 변화에 대한 설명으로 틀린 것은? 54 기동 시 정류자의 불꽃으로 라디오의 장해를 주며 단락장치의 고장이 일어나기 쉬운 전동기는? 55 8극, 유도기전력 100V, 전기자전류 200A인 직류발전기의 전기자권선을 중권에서 파권으로 변경했을 경우의 유도기전력과 전기자전류는? 56 8극, 50kW, 3300V, 60Hz인 3상 권선형 유도전동기의 전부하 슬립이 4%라고 한다. 이 전동기의 슬립링 사이에 0.16Ω의 저항 3개를 Y로 삽입하면 전부하 토크를 발생할 때의 회전수(rpm)는? (단, 2차 각상의 저항은 0.04Ω이고, Y접속이다.) 57 임피던스 강하가 5%인 변압기가 운전 중 단락되었을 때 그 단락전류는 정격전류의 몇 배인가? 58 변압기의 임피던스와트와 임피던스전압을 구하는 시험은? 59 변압기에서 1차 측의 여자 어드미턴스를 Y0라고 한다. 2차 측으로 환산한 여자 어드미턴스 Y0′을 옳게 표한한 식은? (단, 권수비를 a라고 한다.) 60 3상 동기기의 제동권선을 사용하는 주 목적은?
61 Z=5√3+j5(Ω)인 3개의 임피던스를 Y결선하여 선간전압 250V의 평형 3상 전원에 연결하였다. 이때 소비되는 유효전력은 약 몇 W 인가? 62 그림과 같은 회로에서 스위치 S를 t=0에서 닫았을 때 이다. L(H)의 값은? 63 r1(Ω)인 저항에 r(Ω)인 가변저항이 연결된 그림과 같은 회로에서 전류 I를 최소로 하기 위한 저항 r2(Ω)는? (단, r(Ω)은 가변저항의 최대 크기이다.) 64 다음과 같은 회로에서 Va, Vb, Vc(V)를 평형 3상 전압이라 할 때 전압 V0(V)은? 65 9Ω과 3Ω인 저항 6개를 그림과 같이 연결하였을 때, a와 b 사이의 합성저항(Ω)은? 66 그림과 같은 회로의 전달함수는? (단, 초기조건은 0이다.) 67 그림과 같은 회로에서 5Ω에 흐르는 전류 I는 몇 A 인가? 68 전류의 대칭분이 I0=-2+j4(A), I1=6-j5(A), I2=8+j10(A) 일 때 3상전류 중 a상 전류(Ia)의 크기(|Ia|)는 몇 A 인가? (단, I0는 영상분이고, I1은 정상분이고, I2는 역상분이다.) 69 V=50√3-j50(V), I=15√3+j15(A) 일 때 유효전력 P(W)와 무효전력 Q(var)는 각각 얼마인가? 70 푸리에 급수로 표현된 왜평파 f(t)가 반파대칭 및 정현대칭일 때 f(t)에 대한 특징으로 옳은 것은? 71 그림과 같은 회로에서 L2에 흐르는 전류 I2(A)가 단자전압 V(V)보다 위상이 90°뒤지기 위한 조건은? (단, ω는 회로의 각주파수(rad/s)이다.) 72 RC 직렬회로의 과도현상에 대한 설명을 옳은 것은?
73 용량이 50kVA인 단상 변압기 3대를 △결선하여 3상으로 운전하는 중 1대의 변압기에 고장이 발생하였다. 나머지 2대의 변압기를 이용하여 3상 V결선으로 운전하는 경우 최대 출력은 몇 kVA 인가? 74 각 상의 전류가 ia = 30sinωt(A), ib=30sin(ωt-90°)(A), ic=30sin(ωt+90°)(A)일 때 영상분 전류(A)의 순시치는? 75 f(t)=sint+2cost를 라플라스 변환하면? 76 어떤 회로에 흐르는 전류가 i(t)=7+14.1 sinωt(A)인 경우 실효값은 약 몇 A 인가? 77 어떤 전지에 연결된 외부 회로의 저항은 5Ω이고 전류는 8A가 흐른다. 외부 회로에 5Ω대신 15Ω의 저항을 접속하면 전류는 4A로 떨어진다. 이 전지의 내부 기전력은 몇 V 인가? 78 파형율과 파고율이 모두 1인 파형은? 79 회로의 4단자 정수로 틀린 것은? 80 그림과 같은 4단자 회로망에서 출력 측을 개방하니 V1=12V, I1=2A, V2=4V이고, 출력 측을 단락하니 V1=16V, I1=4A, I2=2A 이었다. 4단자 정수 A, B, C, D는 얼마인가? 81 버스덕트 공사에 의한 저압의 옥측배선 또는 옥외배선의 사용전압이 400V 이상인 경우의 시설기준에 대한 설명으로 틀린 것은? 82 가공전선로의 지지물에 지선을 시설하려는 경우 이 지선의 최저 기준으로 옳은 것은? 83 직류식 전기철도에서 배류선의 상승 부분 중 지표상 몇 m 미만의 부분은 절연전선(옥외용 비닐 절연전선을 제외한다.) 캡타이어 케이블 또는 케이블을 사용하고 사람이 접촉할 우려가 없고 또한 손상을 받을 우려가 없도록 시설하여야 하는가?(관련 규정 개정전 문제로 여기서는 기존 정답인 3번을 누르면 정답 처리됩니다. 자세한 내용은 해설을 참고하세요.) 84 고압전로 또는 특고압전로와 저압전로를 결합하는 변압기의 저압측의 중성점에는 제 몇 종 접지공사를 하여야 하는가?(관련 규정 개정전 문제로 여기서는 기존 정답인 2번을 누르면 정답 처리됩니다. 자세한 내용은 해설을 참고하세요.)
85 변압기에 의하여 특고압전로에 결합되는 고압전로에는 사용전압의 몇 배 이하인 전압이 가하여진 경우에 방전하는 장치를 그 변압기의 단자에 가까운 1극에 설치하여야 하는가? 86 수상전선로의 시설기준으로 옳은 것은? 87 특고압 가공전선이 가공약전류 전선 등 저압 또는 고압의 가공전선이나 저압 또는 고압의 전차선과 제1차 접근상태로 시설되는 경우 60kV 이하 가공전선과 저고압 가공전선 등 또는 이들의 지지물이나 지주 사이의 이격거리는 몇 m 이상인가? 88 가공전선로의 지지물에는 취급자가 오르고 내리는데 사용하는 발판 볼트 등은 특별한 경우를 제외하고 지표상 몇 m 미만에는 시설하지 않아야 하는가? 89 특고압 가공전선과 가공약전류 전선 사이에 보호망을 시설하는 경우 보호망을 구성하는 금속선 상호 간의 간격은 가로 및 세로를 각각 몇 m 이하로 시설하여야 하는가? 90 옥내 고압용 이동전선의 시설기준에 적합하지 않은 것은? 91 교통신호등의 시설기준에 관한 내용으로 틀린 것은?(관련 규정 개정전 문제로 여기서는 기존 정답인 3번을 누르면 정답 처리됩니다. 자세한 내용은 해설을 참고하세요.) 92 터널 안의 윗면, 교량의 아랫면 기타 이와 유사한 곳 또는 이에 인접하는 곳에 시설하는 경우 가공 직류 전차선의 레일면상의 높이는 몇 m 이상인가?(관련 규정 개정전 문제로 여기서는 기존 정답인 2번을 누르면 정답 처리됩니다. 자세한 내용은 해설을 참고하세요.) 93 사람이 상시 통행하는 터널 안 배선의 시설기준으로 틀린 것은? 94 고압 가공전선이 교류 전차선과 교차하는 경우, 고압 가공전선으로 케이블을 사용하는 경우 이외에는 단면적 몇 mm2 이상의 경동연선(교류 전차선 등과 교차하는 부분을 포함하는 경간에 접속점이 없는 것에 한한다.)을 사용하여야 하는가? 95 1차측 3300V, 2차측 220V 인 변압기 전로의 절연내력 시험전압은 각각 몇 V에서 10분간 견디어야 하는가? 96 저압 가공전선과 고압 가공전선을 동일 지지물에 시설하는 경우 이격거리는 몇 cm 이상이어야 하는가? (단, 각도주(角度住)·분기주(分岐住) 등에서 혼촉(混觸)의 우려가 없도록 시설하는 경우는 제외한다.)
App Store Google Play
오늘학습 예시 이미지

시험에 합격하려면
복습을 제대로 해야 합니다.

오늘학습은 스스로 기억을 떠올리고 계획적으로 복습할 수 있도록 설계돼 있어요.
그것도, 가장 과학적인 방식으로요!

능동적 회상

능동적 회상
(Active Recall)

배운 내용을 단순 읽으며 반복하는 것이 아니라,
능동적으로 기억하고 있는지를
스스로 테스트하며
공부할 수 있는
학습 환경을 제공해 학습 효과를 높여요

간격 반복 학습

간격 반복 학습
(Spaced Repetition)

에빙하우스 망각곡선을 바탕으로
가장 최적의 시점에 복습을 제공하여
배운 내용이 잊히지 않도록 장기 기억화해요

Data 기반의
뇌과학적 복습 시스템

학습 결과 Data를 분석해, 문제별 최적화된
반복 학습량을
자동으로 분배해요.
학습에 소요되는 시간을 최소화하는
동시에
단기 기억을 장기 기억으로 전환해줘요.

36만 개 이상의
기출문제 무료 제공

공무원 및 약 300여종의 자격증 시험 기출문제
36만개
이상을 무료로 이용할 수 있어요.
여러 앱을 설치할 필요
없이, 오늘학습 하나로
모든 시험을 준비할 수 있어요.

다양한 문제 유형으로 만드는
나만의 단어장&문제집

기출 외에도 외워야 하는 내용은
객관식, 주관식, 카드, 빈칸
등 다양한 형식으로
직접 만들어 보세요. 내 학습 스타일에
맞게
나만의 단어장과 문제집을 만들 수 있어요.

시험별 체계적인
문제 관리

시험에 문제를 추가해 체계적으로
관리할 수 있어요.
주제나 단원별로
분류하고 싶다면,
시험에 챕터를 만들어
문제를 추가할 수도 있어요.

수십만 명이
오늘학습을 사랑합니다

앱 스토어 평점 4.9
구글 플레이 평점 4.8
누적 회원수 100,000+
지금 오늘학습을
시작해보세요
지금 시작하기
문제 선택