오늘학습 - 전기산업기사
지금 시작하기 →

・・・ 문제은행 전기산업기사(2020년 2회) 74번

전기산업기사 2020년 08월 74번

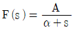
의 라플라스 역변환은?

1
αeAt
2
Aeαt
3
αe-At
4
Ae-αt
단축키
이전 문제로 이동은 키를 누르고, 다음 문제로 이동은 키를 누르세요
이전 문제 , 다음 문제
문제(100)
1 표의 ㉠, ㉡과 같은 단위로 옳게 나열한 것은? 2 진공 중에 판간 거리가 d(m)인 무한 평판 도체 간의 전위차(V)는? (단, 각 평판 도체에는 면전하밀도 +σ(C/m2), -σ(C/m2)가 각각 분포되어 있다.) 3 어떤 자성체 내에서의 자계의 세기가 800AT/m이고 자속밀도가 0.05Wb/m2일 때 이 자성체의 투자율은 몇 H/m인가? 4 자기 인덕턴스의 성질을 설명으로 옳은 것은? 5 자기회로에 대한 설명으로 틀린 것은? (단, S는 자기회로의 단면적이다.) 6 비유전율이 2.8인 유전체에서의 전속밀도가 D=3.0×10-7C/m2일 때 분극의 세기 P는 약 몇 C/m2인가? 7 전계의 세기가 5×102(V/m)인 전계 중 8×10-8(C)의 전하가 놓일 때 전하가 받는 힘은 몇 N인가? 8 지름 2mm의 동선에 π(A)의 전류가 균일하게 흐를 때 전류밀도는 몇 A/m2인가? 9 반지름이 a(m)인 도체구에 전하 Q(C)을 주었을 때, 구 중심에서 r(m) 떨어진 구 외부(r>a)의 한 점에서의 전속밀도 D(C/m2)는? 10 2Wb/m2인 평등 자계 속에 길이가 30cm인 도선이 자계와 직각 방향으로 놓여있다. 이 도선이 자계와 30°의 방향으로 30m/s의 속도로 이동할 때, 도체 양단에 유기되는 기전력(V)의 크기는? 11 공기 중에 있는 무한 직선 도체에 전류 I(A)가 흐르고 있을 때 도체에서 r(m) 떨어진 점에서의 자속 밀도(Wb/m2)는? 12 무한 평면 도체로부터 d(m)인 곳에 점전하 Q(C)가 있을 때 도체 표면상에 최대로 유도되는 전하밀도(C/m2)는?
25 3상으로 표준전압 3kV, 용량 600kW, 역률 0.85로 수전하는 공장의 수전회로에 시설할 계기용 변류기의 변류비로 적당한 것은? (단, 변류기의 2차 전류는 5A이며, 여유율은 1.5배로 한다.) 26 30000kW의 전력을 50km 떨어진 지점에 송전하려고 할 때 송전전압(kV)은 약 얼마인가? (단, still식에 의하여 산정한다.) 27 다음 중 전력선에 의한 통신선의 전자유도장해의 주된 원인? 28 조상설비가 있는 발전소 측 변전소에서 주변압기로 주로 사용되는 변압기는? 29 3상 1회선의 송전선로에 3상 전압을 가해 충전할 때 선에 흐르는 충전전류는 30A, 또 3선을 일괄하여 이것과 대지사이에 상전압을 가하여 충전시켰을 때 전 충전전류는 60A가 되었다. 이 선로의 대지정전용량과 선간정전용량의 비는? (단, 대지정전용량= Cs, 선간정전용량= Cm이다.) 30 전력 사용의 변동 상태를 알아보기 위한 것으로 가장 적당한 것은? 31 단상 교류회로에 3150/210V의 승압기를 80kW, 역률 0.8인 부하에 접속하여 전압을 상승시키는 경우 약 몇 kVA의 승압기를 사용하여야 적당하가? (단, 전원전압은 2900V이다.) 32 철탑의 접지저항이 커지면 가장 크게 우려되는 문제점은? 33 역률 0.8(지상), 480kW 부하가 있다. 전력용 콘덴서를 설치하여 역률을 개선하고자 할 때 콘덴서 220kVA를 설치하면 역률은 몇 %로 개선되는가? 34 화력발전소에서 탈기기를 사용하는 주 목적은? 35 변류기를 개방할 때 2차측을 단락하는 이유는? 36 ( ) 안에 들어갈 내용으로 옳은 것은?
61 에서 모든 초기 값을 0으로 하고 라플라스 변환했을 때 I(s)는? (단, I(s), Ei(s)는 i(t), ei(t)를 라플라스 변환한 것이다.) 62 기본파의 30%인 제3고조파와 기본파의 20%인 제5고조파를 포함하는 전압의 왜형률은 약 얼마인가? 63 3상 회로의 대칭분 전압이 V0=-8+j3(V), V1=6-j8(V), V2=8+j12(V)일 때 a상의 전압(V)은? (단, V0는 영상분, V1은 정상분, V2는 역상분 전압이다.) 64 어느 회로에 V=120+j90(V)의 전압을 인가하면 I=3+j4(A)의 전류가 흐른다. 이 회로의 역률은? 65 2단자 회로망에 단상 100V의 전압을 가하면 30A의 전류가 흐르고 1.8kW의 전력이 소비된다. 이 회로망과 병렬로 커패시터를 접속하여 합성 역률을 100%로 하기 위한 용량성 리액턴스는 약 몇 Ω인가? 66 22kVA의 부하가 0.8의 역률로 운전될 때 이 부하의 무효전력(kvar)은? 67 어드미턴스 Y(℧)로 표현된 4단자 회로망에서 4단자 정수 행렬 T는? (단, ) 68 회로에서 10Ω의 저항에 흐르는 전류(A)는? 69 10Ω의 저항 5개를 접속하여 얻을 수 있는 합성저항 중 가장 적은 값은 몇 Ω인가? 70 동일한 용량 2대의 단상 변압기를 V결선하여 3상으로 운전하고 있다. 단상 변압기 2대의 용량에 대한 3상 V 결선시 변압기 용량의 비인 변압기 이용률은 약 몇 % 인가? 71 4단자 회로망에서의 영상 임피던스(Ω)는? 72 i(t)=3√2sin(377t-30°) (A)의 평균값은 약 몇 A인가?
85 저압 가공인입선 시설 시 도로를 횡단하여 시설하는 경우 노면상 높이는 몇 m 이상으로 하여야 하는가? 86 기구 등의 전로의 절연내력 시험에서 최대 사용전압이 60kV를 초과하는 기구 등의 전로로서 중성점 비접지식전로에 접속하는 것은 최대 사용전압의 몇 배의 전압에 10분간 견디어야 하는가? 87 저압 가공전선(다중접지된 중성선은 제외)과 고압 가공전선을 동일 지지물에 시설하는 경우 저압 가공전선과 고압 가공전선 사이의 이격거리는 몇 cm 이상이어야 하는가? (단, 각도주(角度柱), 분기주(分破柱) 등에서 혼촉(混觸)의 우려가 없도록 시설하는 경우가 아니다.) 88 폭연성 분진이 많은 장소의 저압 옥내배선에 적합한 배선공사방법은? 89 절연내력시험은 전로와 대지 사이에 연속하여 10분간 가하여 절연내력을 시험하였을 때에 이에 견디어야 한다. 최대 사용전압이 22.9kV인 중성선 다중 접지식 가공전선로의 전로와 대지 사이의 절연내력 시험전압은 몇 V인가? 90 특고압 가공전선로의 지지물에 시설하는 통신선 또는 이에 직접 접속하는 통신선이 도로·횡단보도교·철도의 레일 등 또는 교류 전차선 등과 교차하는 경우의 시설기준으로 옳은 것은? 91 시가지 또는 그 밖에 인가가 밀집한 지역에 154kV 가공전선로의 전선을 케이블로 시설하고자 한다. 이 때 가공전선을 지지하는 애자장치의 50% 충격섬락전압 값이 그 전선의 근접한 다른부분을 지지하는 애자장치 값의 몇 % 이상이어야 하는가? 92 변압기에 의하여 154kV에 결합되는 3300V 전로에는 몇 배 이하의 사용전압이 가하여진 경우에 방전하는 장치를 그 변압기의 단자에 가까운 1극에 시설하여야 하는가? 93 고압 가공전선으로 ACSR(강섬알루미늄연선)을 사용할 때의 안전율은 얼마 이상이 되는 이도(弛度)로 시설하여야 하는가? 94 발전기를 구동하는 풍차의 압유장치의 유압, 압축공기장치의 공기압 또는 전동식 브레이드 제어장치의 전원전압이 현저히 저하한 경우 발전기를 자동적으로 전로로부터 차단하는 장치를 시설하여야 하는 발전기 용량은 몇 kVA 이상인가? 95 욕조나 샤워시설이 있는 욕실 또는 화장실 등 인체가 물에 젖어 있는 상태에서 전기를 사용하는 장소에 콘센트를 시설하는 경우에 적합한 누전차단기는? 96 풀장용 수중조명등에 전기를 공급하기 위해 사용되는 절연변압기에 대한 설명으로 틀린 것은?(관련 규정 개정전 문제로 여기서는 기존 정답인 2번을 누르면 정답 처리됩니다. 자세한 내용은 해설을 참고하세요.)
App Store Google Play
오늘학습 예시 이미지

시험에 합격하려면
복습을 제대로 해야 합니다.

오늘학습은 스스로 기억을 떠올리고 계획적으로 복습할 수 있도록 설계돼 있어요.
그것도, 가장 과학적인 방식으로요!

능동적 회상

능동적 회상
(Active Recall)

배운 내용을 단순 읽으며 반복하는 것이 아니라,
능동적으로 기억하고 있는지를
스스로 테스트하며
공부할 수 있는
학습 환경을 제공해 학습 효과를 높여요

간격 반복 학습

간격 반복 학습
(Spaced Repetition)

에빙하우스 망각곡선을 바탕으로
가장 최적의 시점에 복습을 제공하여
배운 내용이 잊히지 않도록 장기 기억화해요

Data 기반의
뇌과학적 복습 시스템

학습 결과 Data를 분석해, 문제별 최적화된
반복 학습량을
자동으로 분배해요.
학습에 소요되는 시간을 최소화하는
동시에
단기 기억을 장기 기억으로 전환해줘요.

36만 개 이상의
기출문제 무료 제공

공무원 및 약 300여종의 자격증 시험 기출문제
36만개
이상을 무료로 이용할 수 있어요.
여러 앱을 설치할 필요
없이, 오늘학습 하나로
모든 시험을 준비할 수 있어요.

다양한 문제 유형으로 만드는
나만의 단어장&문제집

기출 외에도 외워야 하는 내용은
객관식, 주관식, 카드, 빈칸
등 다양한 형식으로
직접 만들어 보세요. 내 학습 스타일에
맞게
나만의 단어장과 문제집을 만들 수 있어요.

시험별 체계적인
문제 관리

시험에 문제를 추가해 체계적으로
관리할 수 있어요.
주제나 단원별로
분류하고 싶다면,
시험에 챕터를 만들어
문제를 추가할 수도 있어요.

수십만 명이
오늘학습을 사랑합니다

앱 스토어 평점 4.9
구글 플레이 평점 4.8
누적 회원수 100,000+
지금 오늘학습을
시작해보세요
지금 시작하기
문제 선택