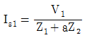
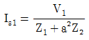
변압기의 2차를 단락한 경우에 1차 단락전류 Is1은? (단, V1 : 1차 단자전압, Z1 : 1차 권선의 임피던스, Z2 : 2차 권선의 임피던스, Z : 부하의 임피던스 a: 권수비)
지금 시작하기 →

・・・ 문제은행 전기산업기사(2018년 1회) 49번

전기산업기사 2018년 03월 49번

변압기의 2차를 단락한 경우에 1차 단락전류 Is1은? (단, V1 : 1차 단자전압, Z1 : 1차 권선의 임피던스, Z2 : 2차 권선의 임피던스, Z : 부하의 임피던스 a: 권수비)

1
2
3
4
단축키
이전 문제로 이동은 키를 누르고, 다음 문제로 이동은 키를 누르세요
이전 문제 , 다음 문제
문제(100)
1 무한장 원주형 도체에 전류 I가 표면에만 흐른다면 원주 내부의 자계의 세기는 몇 AT/m 인가? (단, r[m]는 원주의 반지름이고, N은 권선수 이다.) 2 다음이 설명하고 있는 것은? 3 비유전율이 9인 유전체 중에 1㎝의 거리를 두고 1μC과 2μC의 두 점전하가 있을 때 서로 작용하는 힘은 약 몇 N 인가? 4 비투자율 ㎲, 자속밀도 B[Wb/m2]인 자계 중에 있는 m[Wb]의 자극이 받는 힘[N] 은? 5 반지름이 1m인 도체구에 최고로 줄 수 있는 전위는 몇 kV 인가? (단, 주위 공기의 절연내력은 3×106[V/m] 이다.) 6 그림과 같은 정전용량이 C0[F]가 되는 평행판 공기콘덴서가 있다. 이 콘덴서의 판면적의 2/3가 되는 공간에 비유전율 Єs인 유전체를 채우면 공기콘덴서의 정전용량[F]은? 7 단면적 S[m2], 자로의 길이 l[m], 투자율 μ[H/m]의 환상 철심에 1m당 N회 코일을 균등하게 감았을 때 자기 인덕턴스[H]는? 8 반지름 a[m]인 접지 도체구의 중심에서 r[m]되는 거리에 점전하 Q[C]을 놓았을 때 도체구에 유도된 총 전하는 몇 C 인가? 9 각각 ±Q[C]로 대전된 두 개의 도체간의 전위차를 전위계수로 표시하면? (단, P12=P21이다.) 10 접지구도체와 점전하간의 작용력은? 11 공기 중에서 무한평면 도체로부터 수직으로 10-10m 떨어진 점에 한 개의 전자가 있다. 이 전자에 작용하는 힘은 약 몇 N 인가? (단, 전자의 전하량 : -1.602×10-19C 이다. ) 12 자속밀도 B[Wb/m2]가 도체 중에서 f[Hz]로 변화할 때 도체 중에 유기되는 기전력 e는 무엇에 비례하는가?
37 수차의 특유속도 Ns를 나타내는 계산식으로 옳은 것은? (단, 유효낙차 : H[m], 수차의 출력 : P[kW], 수차의 정격 회전수 N[rpm]이라 한다.) 38 고장점에서 전원측을 본 계통 임피던스를 Z[Ω], 고장점의 상전압을 E[V]라 하면 3상 단락전류[A]는? 39 3상 계통에서 수전단전압 60kV, 전류 250A, 선로의 저항 및 리액턴스가 각각 7.61Ω, 11.85Ω 일 때 전압강하율은? (단, 부하역률은 0.8(늦음)이다.) 40 피뢰기의 구비조건이 아닌 것은? 41 유도전동기의 출력과 같은 것은?(문제 오류로 가답안 발표시 2번으로 발표되었지만 확정답안 발표시 2, 3번이 정답 처리 되었습니다. 여기서는 가답안인 2번을 누르면 정답 처리 됩니다.) 42 75W 이하의 소출력으로 소형공구, 영사기, 치과 의료용 등에 널리 이용되는 전동기는? 43 직류발전기를 병렬 운전할 때 균압선이 필요한 직류발전기는? 44 병렬 운전하고 있는 2대의 3상 동기발전기 사이에 무효순환전류가 흐르는 경우는? 45 전압이나 전류의 제어가 불가능한 소자는? 46 전기자저항이 각각 RA=0.1Ω과 RB=0.2Ω 인 100V, 10kW의 두 분권발전기의 유기기전력을 같게 해서 병렬운전하여, 정격전압으로 135A의 부하전류를 공급할 때 각 기기의 분담전류는 몇 A 인가? 47 다이오드를 사용한 정류회로에서 여러 개를 병렬로 연결하여 사용할 경우 얻는 효과는? 48 △결선 변압기의 한 대가 고장으로 제거되어 V결선으로 공급할 때 공급할 수 있는 전력은 고장 전 전력에 대하여 몇 % 인가?
73 대칭 10상 회로의 선간전압이 100V 일 때 상전압은 약 몇 V 인가? (단, sin18°=0.309이다.) 74 회로에서 단자 1-1'에서 본 구동점 임피던스 Z11은 몇 Ω 인가? 75 어느 회로망의 응답 의 라플라스 변환은? 76 R=50Ω,L=200 mH의 직렬회로에서 주파수 f=50 Hz의 교류에 대한 역률[%]은? 77 그림과 같은 e=Emsinωt인 정현파 교류의 반파정현파형의 실효값은? 78 대칭 3상 교류전원에서 각 상의 전압이 va, vb, vc일 때 3상 전압[V]이 합은? 79 전압 e=100sin10t+20sin20t[V]전류 i=20sin(10t-60°)+10sin20t[A] 일 때 소비전력은 몇 W 인가? 80 RLC 직렬회로에서 공진 시의 전류는 공급전압에 대하여 어떤 위상차를 갖는가? 81 철근 콘크리트주로서 전장이 15m이고, 설계하중이 8.2kN 이다. 이 지지물을 논이나 기타 지반이 연약한 곳 이외에 기초안전율의 고려없이 시설하는 경우에 그 묻히는 깊이는 기준보다 몇 ㎝를 가산하여 시설하여야 하는가? 82 금속관 공사에 의한 저압 옥내배선 시설에 대한 설명으로 틀린 것은? 83 전가섭선에 관하여 각 가섭선의 상정 최대장력의 33%와 같은 불평형 장력의 수평 종분력에 의한 하중을 더 고려하여야 할 철탑의 유형은? 84 케이블 트레이공사에 사용되는 케이블트레이가 수용된 모든 전선을 지지할 수 있는 적합한 강도의 것일 경우 케이블 트레이의 안전율은 얼마 이상으로 하여야 하는가?
85 고압 가공전선로에 케이블을 조가용선에 행거로 시설할 경우 그 행거의 간격은 몇 ㎝ 이하로 하여야 하는가? 86 케이블 공사에 의한 저압 옥내배선의 시설방법에 대한 설명으로 틀린 것은? 87 교통신호등 제어장치의 금속제 외함에는 몇 종 접지공사를 하여야 하는가?(관련 규정 개정전 문제로 여기서는 기존 정답인 3번을 누르면 정답 처리됩니다. 자세한 내용은 해설을 참고하세요.) 88 태양전지 발전소에 태양전지 모듈 등을 시설할 경우 사용 전선(연동선)의 공칭단면적은 몇 mm2 이상인가? 89 특고압 가공전선과 저압 가공전선을 동일 지지물에 병가하여 시설하는 경우 이격거리는 몇 m 이상이어야 하는가? (문제 오류로 실제 시험에서는 모두 정답처리 되었습니다. 여기서는 1번을 누르면 정답 처리 됩니다.) 90 변압기의 고압측 1선 지락전류가 30A인 경우에 제2종 접지공사의 최대 접지저항 값은 몇 Ω인가? (단, 고압측 전로가 저압측 전로와 혼촉하는 경우 1초 이내에 자동적으로 차단하는 장치가 설치되어 있다.) 91 전광표시 장치에 사용하는 저압 옥내배선을 금속관 공사로 시설할 경우 연동선의 단면적은 몇 mm2 이상 사용하여야 하는가? 92 고압 가공전선로에 사용하는 가공지선은 인장강도 5.26kN 이상의 것 또는 지름이 몇 mm 이상의 나경동선을 사용하여야 하는가? 93 전력보안 통신용 전화설비를 시설하지 않아도 되는 것은? 94 지중 전선로의 시설방식이 아닌 것은? 95 지중 전선로에 사용하는 지중함의 시설기준으로 틀린 것은? 96 특고압 가공전선은 케이블인 경우 이외에는 단면적이 몇 mm2 이상의 경동연선이어야 하는가?
App Store Google Play
오늘학습 예시 이미지

시험에 합격하려면
복습을 제대로 해야 합니다.

오늘학습은 스스로 기억을 떠올리고 계획적으로 복습할 수 있도록 설계돼 있어요.
그것도, 가장 과학적인 방식으로요!

능동적 회상

능동적 회상
(Active Recall)

배운 내용을 단순 읽으며 반복하는 것이 아니라,
능동적으로 기억하고 있는지를
스스로 테스트하며
공부할 수 있는
학습 환경을 제공해 학습 효과를 높여요

간격 반복 학습

간격 반복 학습
(Spaced Repetition)

에빙하우스 망각곡선을 바탕으로
가장 최적의 시점에 복습을 제공하여
배운 내용이 잊히지 않도록 장기 기억화해요

Data 기반의
뇌과학적 복습 시스템

학습 결과 Data를 분석해, 문제별 최적화된
반복 학습량을
자동으로 분배해요.
학습에 소요되는 시간을 최소화하는
동시에
단기 기억을 장기 기억으로 전환해줘요.

36만 개 이상의
기출문제 무료 제공

공무원 및 약 300여종의 자격증 시험 기출문제
36만개
이상을 무료로 이용할 수 있어요.
여러 앱을 설치할 필요
없이, 오늘학습 하나로
모든 시험을 준비할 수 있어요.

다양한 문제 유형으로 만드는
나만의 단어장&문제집

기출 외에도 외워야 하는 내용은
객관식, 주관식, 카드, 빈칸
등 다양한 형식으로
직접 만들어 보세요. 내 학습 스타일에
맞게
나만의 단어장과 문제집을 만들 수 있어요.

시험별 체계적인
문제 관리

시험에 문제를 추가해 체계적으로
관리할 수 있어요.
주제나 단원별로
분류하고 싶다면,
시험에 챕터를 만들어
문제를 추가할 수도 있어요.

수십만 명이
오늘학습을 사랑합니다

앱 스토어 평점 4.9
구글 플레이 평점 4.8
누적 회원수 100,000+
지금 오늘학습을
시작해보세요
지금 시작하기
문제 선택