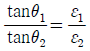
두 유전체가 접했을 때 의 관계식에서 θ1=0°일 때의 표현으로 틀린 것은?
지금 시작하기 →

・・・ 문제은행 전기산업기사(2019년 1회) 3번

전기산업기사 2019년 03월 3번

두 유전체가 접했을 때 의 관계식에서 θ1=0°일 때의 표현으로 틀린 것은?

1
전속밀도는 불변이다.
2
전기력선은 굴절하지 않는다.
3
전계는 불연속적으로 변한다.
4
전기력선은 유전율이 큰 쪽에 모여진다.
단축키
이전 문제로 이동은 키를 누르고, 다음 문제로 이동은 키를 누르세요
이전 문제 , 다음 문제
문제(100)
1 그림과 같은 동축케이블에 유전체가 채워졌을 때의 정전 용량(F)은? (단, 유전체의 비유전율은 εs이고 내반지름과 외반지름은 각각 a(m), b(m)이며 케이블의 길이는 ℓ(m)이다. 2 두 벡터가 A=2ax+4ay-3az, B=ax-ay일 때 A×B는? 3 두 유전체가 접했을 때 의 관계식에서 θ1=0°일 때의 표현으로 틀린 것은? 4 공기 중 임의의 점에서 자계의 세기(H)가 20AT/m라면 자속밀도(B)는 약 몇 Wb/m2인가? 5 전자석의 흡인력은 공극(air gap)의 자속밀도를 B라 할때 다음의 어느 것에 비례하는가? 6 그림과 같이 평행한 두 개의 무한 직선 도선에 전류가 각각 I, 2I인 전류가 흐른다. 두 도선 사이의 점 P에서 자계의 세기가 0이다. 이 때 a/b 는? 7 감자율(Demagnetization factor)이 “0”인 자성체로 가장 알맞은 것은? 8 질량이 m(kg)인 작은 물체가 전하 Q(C)를 가지고 중력방향과 직각인 무한도체평면 아래쪽 d(m)의 거리에 놓여있다. 정전력이 중력과 같게 되는데 Q(C)의 크기는? 9 극판의 면적 S=10cm2, 간격 d=1mm의 평행판 콘덴서에 비유전율 εs=3인 유전체를 채웠을 때 전압 100V를 인가하면 축적되는 에너지는 약 몇 J 인가? 10 자기인덕턴스 0.5H의 코일에 1/200초 동안에 전류가 25A로부터 20A로 줄었다. 이 코일에 유기된 기전력의 크기 및 방향은? 11 어느 점전하에 의하여 생기는 전위를 처음 전위의 1/2이 되게 하려면 전하로부터의 거리를 어떻게 해야 하는가? 12 자계의 세기를 표시하는 단위가 아닌 것은?
13 그림과 같이 면적 S(m2), 간격 d(m)인 극판간에 유전율 ε, 저항률 ρ인 매질을 채웠을 때 극판간의 정전용량 C와 저항 R의 관계는? (단, 전극판의 저항률은 매우 작은 것으로 한다.) 14 점전하 Q(c)와 무한평면도체에 대한 영상전하는? 15 전계의 세기 E, 자계의 세기가 H일 때 포인팅 벡터(P)는? 16 철심환의 일부에 공극(air gap)을 만들어 철심부의 길이 ℓ(m), 단면적 A(m)2, 비투자율이 μ이고 공극부의 길이 δ(m)일 때 철심부에서 총권수 N회인 도선을 감아 전류 I(A)를 흘리면 자속이 누설되지 않는다고 하고 공극 내에 생기는 자계의 자속 ø0(Wb)는? 17 내구의 반지름이 6cm, 외구의 반지름이 8cm인 동심구 콘덴서의 외구를 접지하고 내구에 전위 1800V를 가했을 경우 내구에 충전된 전기량은 몇 C인가? 18 다음 중 ( )에 들어갈 내용으로 옳은 것은? 19 권선수가 N회인 코일에 전류 I(A)를 흘릴 경우, 코일에 ø(Wb)의 자속이 지나간다면 이 코일에 저장된 자계에너지(J)는? 20 다음 중 인덕턴스의 공식이 옳은 것은? (단, N은 권수, I는 전류, ℓ은 철심의 길이, Rm은 자기저항, μ는 투자율, S는 철심 단면적이다.) 21 직렬 콘덴서를 선로에 삽입할 때의 현상으로 옳은 것은? 22 송전선로의 중성점을 접지하는 목적으로 가장 옳은 것은? 23 그림과 같은 3상 송전계통의 송전전압은 22kV이다. 한 점 P에서 3상 단락했을 때 발전기에 흐르는 단락전류는 약 몇 A인가? 24 전력계통의 전력용 콘덴서와 직렬로 연결하는 리액터로 제거되는 고조파는?
49 권수비 30인 단상변압기의 1차에 6600V를 공급하고, 2차에 40kW, 뒤진 역률 80%의 부하를 걸 때 2차 전류 I2 및 1차 전류 I1은 약 몇 A 인가? (단, 변압기의 손실은 무시한다.) 50 동기전동기에서 90° 앞선 전류가 흐를 때 전기자 반작용은? 51 일정 전압으로 운전하는 직류전동기의 손실이 x+yI2으로 될 때 어떤 전류에서 효율이 최대가 되는가? (단, z, y는 정수이다.) 52 T-결선에 의하여 3300V의 3상으로부터 200V, 40kVA의 전력을 얻는 경우 T좌 변압기의 권수비는 약 얼마인가? 53 유도전동기 슬립 s의 범위는? 54 전기자 총 도체수 500, 6극, 중권의 직류전동기가 있다. 전기자 전 전류가 100A일 때의 발생토크는 약 몇 kg ㆍ m인가? (단, 1극당 자속수는 0.01Wb이다.) 55 3상 동기발전기 각 상의 유기기전력 중 제3고조파를 제거하려면 코일간격/극간격을 어떻게 하면 되는가? 56 3상 유도전동기의 토크와 출력에 대한 설명으로 옳은 것은? 57 단자전압 220V, 부하전류 48A, 계자전류 2A, 전기자저항 0.2Ω인 직류분권발전기의 유도기전력(V)은? (단, 전기자 반작용은 무시한다.) 58 200kW, 200V의 직류 분권발전기가 있다. 전기자 권선의 저항이 0.025Ω일 때 전압변동률은 몇 % 인가? 59 동기발전기에서 전기자 전류를 I, 역률을 cosθ라 하면 횡축 반작용을 하는 성분은? 60 단상 유도전동기와 3상 유도전동기를 비교했을 때 단상 유도전동기의 특징에 해당되는 것은?
73 대칭 3상 Y결선에서 선간전압이 200√3이고 각 상의 임피던스가 30+j40(Ω)의 평형부하일 때 선전류(A)는? 74 3상 회로에 Δ결선된 평형 순저항 부하를 사용하는 경우 선간전압 220V, 상전류가 7.33A라면 1상의 부하저항은 약 몇 Ω인가? 75 두 대의 전력계를 사용하여 3상 평형 부하의 역률을 측정하려고 한다. 전력계의 지시가 각각 P1(W), P2(W)할 때 이 회로의 역률은? 76 t=0에서 스위치 S를 닫았을 때 정상 전류값(A)은? 77 L형 4단자 회로망에서 4단자 정수가 이고, 영상임피던스 일 때 영상임피던스 Z02(Ω) 의 값은? 78 다음과 같은 회로에서 a, b 양단의 전압은 몇 V 인가? 79 저항 R1(Ω), R2(Ω) 및 인덕턴스 L(H)이 직렬로 연결되어 있는 회로의 시정수(s)는? 80 함수를 시간추이정리에 의해서 역변환하면? 81 건조한 장소로서 전개된 장소에 한하여 시설할 수 있는 고압 옥내배선의 방법은? 82 154/22.9kV용 변전소의 변압기에 반드시 시설하지 않아도 되는 계측장치는? 83 22.9kV 특고압 가공전선로의 중성선은 다중 접지를 하여야 한다. 각 접지선을 중성선으로부터 분리하였을 경우 1 km마다 중성선과 대지 사이의 합성전기저항 값은 몇 Ω 이하인가? (단, 전로에 지락이 생겼을 때의 2초 이내에 자동적으로 이를 전로로부터 차단하는 장치가 되어 있다.) 84 전기부식방식 시설은 지표 또는 수중에서 1m 간격의 임의의 2점(양극의 주위 1m 이내의 거리에 있는 점 및 울타리의 내부점을 제외한다.)간의 전위차가 몇 V를 넘으면 안되는가?
85 고압 가공전선이 가공약전류전선 등과 접근하는 경우에 고압 가공전선과 가공약전류전선 사이의 이격거리는 몇 cm 이상이어야 하는가? (단, 전선이 케이블인 경우) 86 가공전선로의 지지물에 지선을 시설하는 기준으로 옳은 것은? 87 시가지 등에서 특고압 가공전선로를 시설하는 경우 특고압 가공전선로용 지지물로 사용할 수 없는 것은? (단, 사용전압이 170kV 이하인 경우이다.) 88 중성선 다중접지식의 것으로 전로에 지락이 생겼을 때에 2초 이내에 자동적으로 이를 전로로부터 차단하는 장치가 되어 있는 22.9kV 가공전선로를 상부 조영재의 위쪽에서 접근상태로 시설하는 경우, 가공전선과 건조물과의 이격거리는 몇 m 이상이어야 하는가? (단, 전선으로는 나전선을 사용한다고 한다.) 89 시가지에 시설하는 고압 가공전선으로 경동선을 사용하려면 그 지름은 최소 몇 mm이어야 하는가? 90 케이블을 지지하기 위하여 사용하는 금속제 케이블 트레이의 종류가 아닌 것은? 91 출퇴표시등 회로에 전기를 공급하기 위한 변압기는 2차측 전로의 사용전압이 몇 V 이하인 절연 변압기이어야 하는가? 92 발전소 ㆍ 변전소 또는 이에 준하는 곳의 특고압 전로에는 그의 보기 쉬운 곳에 어떤 표시를 반드시 하여야 하는가? 93 전력 보안 통신용 전화설비를 시설하여야 하는 곳은? 94 6.6kV 지중전선로의 케이블을 직류전원으로 절연 내력 시험을 하자면 시험전압은 직류 몇 V 인가? 95 전기부식방지 시설을 시설할 때 전기부식방지용 전원 장치로부터 양극 및 피방식체까지의 전로의 사용전압은 직류 몇 V 이하이어야 하는가? 96 변압기의 안정권선이나 유휴권선 또는 전압조정기의 내장권선을 이상전압으로부터 보호하기 위하여 특히 필요할 경우에 그 권선에 접지공사를 할 때에는 몇 종 접지공사를 하여야 하는가?(관련 규정 개정전 문제로 여기서는 기존 정답인 1번을 누르면 정답 처리됩니다. 자세한 내용은 해설을 참고하세요.)
App Store Google Play
오늘학습 예시 이미지

시험에 합격하려면
복습을 제대로 해야 합니다.

오늘학습은 스스로 기억을 떠올리고 계획적으로 복습할 수 있도록 설계돼 있어요.
그것도, 가장 과학적인 방식으로요!

능동적 회상

능동적 회상
(Active Recall)

배운 내용을 단순 읽으며 반복하는 것이 아니라,
능동적으로 기억하고 있는지를
스스로 테스트하며
공부할 수 있는
학습 환경을 제공해 학습 효과를 높여요

간격 반복 학습

간격 반복 학습
(Spaced Repetition)

에빙하우스 망각곡선을 바탕으로
가장 최적의 시점에 복습을 제공하여
배운 내용이 잊히지 않도록 장기 기억화해요

Data 기반의
뇌과학적 복습 시스템

학습 결과 Data를 분석해, 문제별 최적화된
반복 학습량을
자동으로 분배해요.
학습에 소요되는 시간을 최소화하는
동시에
단기 기억을 장기 기억으로 전환해줘요.

36만 개 이상의
기출문제 무료 제공

공무원 및 약 300여종의 자격증 시험 기출문제
36만개
이상을 무료로 이용할 수 있어요.
여러 앱을 설치할 필요
없이, 오늘학습 하나로
모든 시험을 준비할 수 있어요.

다양한 문제 유형으로 만드는
나만의 단어장&문제집

기출 외에도 외워야 하는 내용은
객관식, 주관식, 카드, 빈칸
등 다양한 형식으로
직접 만들어 보세요. 내 학습 스타일에
맞게
나만의 단어장과 문제집을 만들 수 있어요.

시험별 체계적인
문제 관리

시험에 문제를 추가해 체계적으로
관리할 수 있어요.
주제나 단원별로
분류하고 싶다면,
시험에 챕터를 만들어
문제를 추가할 수도 있어요.

수십만 명이
오늘학습을 사랑합니다

앱 스토어 평점 4.9
구글 플레이 평점 4.8
누적 회원수 100,000+
지금 오늘학습을
시작해보세요
지금 시작하기
문제 선택