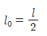
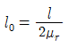
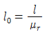
비투자율이 μτ인 철제 무단 솔레노이드가 있다. 평균자로의 길이를 l[m]라 할 때 솔레노이드에 공극(air gap) l0[m]를 만들어 자기저항을 원래의 2배로 하려면 얼마만한 공극을 만들면 되는가? (단, μτ≫1이고, 자기력은 일정하다고 한다.
지금 시작하기 →

・・・ 문제은행 전기산업기사(2016년 1회) 13번

전기산업기사 2016년 03월 13번

비투자율이 μτ인 철제 무단 솔레노이드가 있다. 평균자로의 길이를 l[m]라 할 때 솔레노이드에 공극(air gap) l0[m]를 만들어 자기저항을 원래의 2배로 하려면 얼마만한 공극을 만들면 되는가? (단, μτ≫1이고, 자기력은 일정하다고 한다.

1
2
3
4
단축키
이전 문제로 이동은 키를 누르고, 다음 문제로 이동은 키를 누르세요
이전 문제 , 다음 문제
문제(100)
1 E1>E2의 유전체 경계면에 전계가 수직으로 입사할 때 경계면에 작용하는 힘과 방향에 대한 설명으로 옳은 것은? 2 자속밀도 0.5[Wb/m2]인 균일한 자장 내에 반지름 10[㎝], 권수 1000회인 원형코일이 매분 1800 회전할 때 이 코일의 저항이 100[Ω]일 경우 이 코일에 흐르는 전류의 최대값은 약 몇 [A] 인가? 3 우주선 중에 1020[eV]의 정전에너지를 가진 하전입자가 있다고 할 때, 이 에너지는 약 몇 [J]인가 4 코일의 면적을 2배로 하고 자속밀도의 주파수를 2배로 높이면 유기기전력의 최대값은 어떻게 되는가? 5 전위함수가 V=x2+y2[V]인 자유공간 내의 전하밀도는 몇 [C/m3] 인가? 6 그림과 같이 전류 I[A]가 흐르는 반지름 a[m]인 원형코일의 중심으로부터 x[m]인 점 P의 자계의 세기는 몇 [AT/m]인가? (단, θ는 각APO라 한다. 7 자유공간에 있어서의 포인팅 벡터를 P[W/m2]이라 할 때, 전계의 세기 Ee[V/m]를 구하면? 8 점전하 +Q의 무한평면도체에 대한 영상전하는? 9 그림과 같이 +q[C/m]로 대전된 두 도선이 d[m]의 간격으로 평행하게 가설되었을 때, 이 두 도선간에서 전계가 최소가 되는 점은? 10 정전계에 대한 설명으로 옳은 것은? 11 전하 e[C]이 공기 중의 자계 H[AT/m] 내를 H에 수직방향으로 v[m/s]의 속도로 돌입하였을 때 받는 힘은 몇 [N] 인가? 12 두께 d[m]인 판상 유전체의 양면사이에 150[V]의 전압을 가하였을 때 내부에서의 전계가 3×104[V/m] 이었다. 이 판상 유전체의 두께는 몇 [㎜]인가?
13 비투자율이 μτ인 철제 무단 솔레노이드가 있다. 평균자로의 길이를 l[m]라 할 때 솔레노이드에 공극(air gap) l0[m]를 만들어 자기저항을 원래의 2배로 하려면 얼마만한 공극을 만들면 되는가? (단, μτ≫1이고, 자기력은 일정하다고 한다. 14 반지름 a[m]의 구도체에 전하 Q[C]이 주어질 때, 구도체 표면에 작용하는 정전응력[N/m2]은? 15 반지름이 각각 a=0.2[m], b=0.5[m]되는 동심구간에 고유저항 p=2×1012[Ωㆍm], 비유전율 Es=100인 유전체를 채우고 내외 동심구간에 150[V]의 전위차를 가할 때 유전체를 통하여 흐르는 누설전류는 몇 [A] 인가? 16 유전체 내의 전속밀도에 관한 설명 중 옳은 것은? 17 전계와 자계의 위상 관계는? 18 판자석의 세기가 P[Wbㆍm]되는 판자석을 보는 입체각 w인 점의 자위는 몇 [A] 인가? 19 진공 중에 놓인 3[μC]의 점전하에서 3[m] 되는 점의 전계는 몇 [V/m]인가? 20 진공 중 1[C]의 전하에 대한 정의로 옳은 것은? (단, Q1, Q2는 전하이며, F는 작용력이다.) 21 송전선로에서 연가를 하는 주된 목적은? 22 어떤 발전소의 유효낙차가 100[m]이고, 최대사용수량이 10[m3/s]일 경우 이 발전소의 이론적인 출력은 몇 [kW]인가? 23 우리나라 22.9kV 배전선로에서 가장 많이 사용하는 배전방식과 중성점 접지방식은? 24 다음 송전선의 전압변동률 식에서 VR1은 무엇을 의미하는가?
25 100[kVA] 단상변압기 3대를 △-△결선으로 사용 하다가 1대의 고장으로 V-V 결선으로 사용하면 약 몇 [kVA] 부하까지 사용할 수 있는가? 26 우리나라 22.9kV 배전선로에 적용하는 피뢰기의 공칭방전전류[A]는? 27 1선 지락 시에 전위상승이 가장 적은 접지방식은? 28 전원으로부터의 합성 임피던스가 0.5[%](15000kVA 기준)인 곳에 설치하는 차단기 용량은 몇 [MVA] 이상이어야 하는가? 29 직렬 콘덴서를 선로에 삽입할 때의 장점이 아닌 것은? 30 부하에 따라 전압 변동이 심한 급전선을 가진 배전 변전소의 전압 조정장치로서 적당한 것은? 31 부하전류 및 단락전류를 모두 개폐할 수 있는 스위치는? 32 선로의 커패시턴스와 무관한 것은? 33 배전선에서 균등하게 분포된 부하일 경우 배전선 말단의 전압강하는 모두 부하가 배전선의 어느 지점에 집중되어 있을 때의 전압강하와 같은가? 34 화력발전소에서 석탄 1[kg]으로 발생할 수 있는 전력량은 약 몇 [kWh]인가? 단, 석탄의 발열량은 5000[kcal/kg], 발전소의 효율은 40[%]이다.)(오류 신고가 접수된 문제입니다. 반드시 정답과 해설을 확인하시기 바랍니다.) 35 송전거리, 전력, 손실률 및 역률이 일정하다면 전선의 굵기는? 36 총부하설비가 160[kW], 수용률이 60[%], 부하역률이 80[%]인 수용가에 공급하기 위한 변압기 용량[kVA]은?
85 버스덕트 공사에 대한 설명으로 옳은 것은?(관련 규정 개정전 문제로 여기서는 기존 정답인 4번을 누르면 정답 처리됩니다. 자세한 내용은 해설을 참고하세요.) 86 154[kV]용 변성기를 사람이 접촉할 우려가 없도록 시설하는 경우에 충전부분의 지표상의 높이는 최소 몇 [m] 이상이어야 하는가? 87 옥내배선에서 나전선을 사용할 수 없는 것은? 88 시가지 등에서 특고압 가공전선로의 시설에 대한 내용 중 틀린 것은? 89 전력보안 통신설비인 무선용 안테나 등을 지지하는 철주의 기초의 안전율이 얼마 이상이어야 하는가? 90 특고압 계기용변성기의 2차측 전로의 접지공사는?(관련 규정 개정전 문제로 여기서는 기존 정답인 1번을 누르면 정답 처리됩니다. 자세한 내용은 해설을 참고하세요.) 91 345[kV] 가공전선로를 제1종 특고압 보안공사에 의하여 시설할 때 사용되는 경동연선의 굵기는 몇 [mm2] 이상이어야 하는가? 92 차단기에 사용하는 압축공기장치에 대한 설명 중 틀린 것은? 93 평상시 개폐를 하지 않는 고압 진상용 콘덴서에 고압 컷아웃스위치(COS)를 설치하는 경우 옳을 것은? 94 사용전압이 22900[V]인 가공전선이 건조물과 제2차 접근상태로 시설되는 경우에 이 특고압 가공전선로의 보안공사는 어떤 종류의 보안공사로 하여야 하는가? 95 비접지식 고압전로에 접속되는 변압기의 외함에 실시하는 제1종 접지공사의 접지극으로 사용할 수 있는 건물 철골의 대지 전기저항은 몇 [Ω] 이하인가? 96 저압 수상전선로에 사용되는 전선은?
App Store Google Play
오늘학습 예시 이미지

시험에 합격하려면
복습을 제대로 해야 합니다.

오늘학습은 스스로 기억을 떠올리고 계획적으로 복습할 수 있도록 설계돼 있어요.
그것도, 가장 과학적인 방식으로요!

능동적 회상

능동적 회상
(Active Recall)

배운 내용을 단순 읽으며 반복하는 것이 아니라,
능동적으로 기억하고 있는지를
스스로 테스트하며
공부할 수 있는
학습 환경을 제공해 학습 효과를 높여요

간격 반복 학습

간격 반복 학습
(Spaced Repetition)

에빙하우스 망각곡선을 바탕으로
가장 최적의 시점에 복습을 제공하여
배운 내용이 잊히지 않도록 장기 기억화해요

Data 기반의
뇌과학적 복습 시스템

학습 결과 Data를 분석해, 문제별 최적화된
반복 학습량을
자동으로 분배해요.
학습에 소요되는 시간을 최소화하는
동시에
단기 기억을 장기 기억으로 전환해줘요.

36만 개 이상의
기출문제 무료 제공

공무원 및 약 300여종의 자격증 시험 기출문제
36만개
이상을 무료로 이용할 수 있어요.
여러 앱을 설치할 필요
없이, 오늘학습 하나로
모든 시험을 준비할 수 있어요.

다양한 문제 유형으로 만드는
나만의 단어장&문제집

기출 외에도 외워야 하는 내용은
객관식, 주관식, 카드, 빈칸
등 다양한 형식으로
직접 만들어 보세요. 내 학습 스타일에
맞게
나만의 단어장과 문제집을 만들 수 있어요.

시험별 체계적인
문제 관리

시험에 문제를 추가해 체계적으로
관리할 수 있어요.
주제나 단원별로
분류하고 싶다면,
시험에 챕터를 만들어
문제를 추가할 수도 있어요.

수십만 명이
오늘학습을 사랑합니다

앱 스토어 평점 4.9
구글 플레이 평점 4.8
누적 회원수 100,000+
지금 오늘학습을
시작해보세요
지금 시작하기
문제 선택