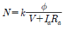
직류전동기의 공급전압을 V[V], 자속을 ø[Wb], 전기자 전류를 Ia[A], 전기자 저항을 Ra[Ω], 속도를 N[rpm]이라 할 때 속도의 관계식은 어떻게 되는가? (단, k는 상수이다.)
지금 시작하기 →

・・・ 문제은행 전기산업기사(2018년 3회) 58번

전기산업기사 2018년 08월 58번

직류전동기의 공급전압을 V[V], 자속을 ø[Wb], 전기자 전류를 Ia[A], 전기자 저항을 Ra[Ω], 속도를 N[rpm]이라 할 때 속도의 관계식은 어떻게 되는가? (단, k는 상수이다.)

1
2
3
4
단축키
이전 문제로 이동은 키를 누르고, 다음 문제로 이동은 키를 누르세요
이전 문제 , 다음 문제
문제(100)
13 온도 0℃ 에서 저항이 R1[Ω], R2[Ω], 저항 온도계수가α1, α2[1/℃]인 두 개의 저항선을 직렬로 접속하는 경우, 그 합성저항 온도계수는 몇 1/℃ 인가? 14 평행판 콘덴서에서 전극간에 V[V]의 전위차를 가할 때, 전계의 강도가 공기의 절연내력 E[V/m]를 넘지 않도록 하기 위한 콘덴서의 단위면적당 최대용량은 몇 F/m2인가? 15 그림과 같이 반지름 a[m], 중심간격 d[m], A에 +λ[C/m], B에 -λ[C/m]의 평행 원통도체가 있다. d ≫ a라 할 때의 단위길이당 정전용량은 약 몇 F/m 인가? 16 벡터 A=5r sin ø az가 원기둥 좌표계로 주어졌다. 점(2, π, 0) 에서의 ∇ × A를 구한 값은? 17 두 종류의 금속으로 된 폐회로에 전류를 흘리면 양 접속점에서 한쪽은 온도가 올라가고 다른 쪽은 온도가 내려가는 현상을 무엇이라 하는가? 18 전자유도작용에서 벡터퍼텐셜을 A[Wb/m]라 할 때 유도 되는 전계 E[V/m]는? 19 비투자율 μs, 자속밀도 B[Wb/m2]인 자계 중에 있는 m[Wb]의 점자극이 받는 힘[N]은? 20 모든 전기장치를 접지시키는 근본적 이유는? 21 단상 2선식에 비하여 단상 3선식의 특징으로 옳은 것은? 22 정삼각형 배치의 선간거리가 5m이고, 전선의 지름이 1cm인 3상 가공 송전선의 1선의 정전용량은 약 몇 μF/km 인가? 23 수력발전소의 취수 방법에 따른 분류로 틀린 것은? 24 선로의 특성임피던스에 관한 내용으로 옳은 것은?
37 전력계통 안정도는 외란의 종류에 따라 구분되는데, 송전 선로에서의 고장, 발전기 탈락과 같은 큰 외란에 대한 전력계통의 동기운전 가능 여부로 판정되는 안정도는? 38 역률개선에 의한 배전계통의 효과가 아닌 것은? 39 원자력 발전의 특징이 아닌 것은?(문제 오류로 가답안 발표시 1번으로 발표되었지만 확정답안 발표시 1, 3번이 정답 처리 되었습니다. 여기서는 1번을 누르면 정답 처리 됩니다.) 40 최대 전력의 발생시각 또는 발생시기의 분산을 나타내는 지표는? 41 3상 Y결선, 30kW, 460V, 60Hz 정격인 유도전동기의 시험 결과가 다음과 같다. 이 전동기의 무부하 시 1상당 동손은 약 몇 W인가? (단, 소수점 이하는 무시한다.) 42 임피던스 강하가 4%인 변압기가 운전 중 단락되었을 때 그 단락전류는 정격전류의 몇 배인가? 43 3상 유도전동기의 특성에 관한 설명으로 옳은 것은? 44 3상 유도전동기의 속도제어법이 아닌 것은? 45 3상 유도전동기의 출력이 10kW, 전부하 때의 슬립이 5%라 하면 2차 동손은 약 몇 kW 인가? 46 직류발전기의 전기자 권선법 중 단중 파권과 단중 중권을 비교했을 때 단중 파권에 해당하는 것은? 47 일반적으로 전철이나 화학용과 같이 비교적 용량이 큰 수은 정류기용 변압기의 2차측 결선방식으로 쓰이는 것은? 48 자기용량 3kVA, 3000/100V의 단권변압기를 승압기로 연결하고 1차측에 3000V를 가했을 때 그 부하용량[kVA]은?
73 어느 저항에 v1=220√2 sin (2πㆍ60t-30°)[V]와 v2=100√2 sin(3ㆍ2πㆍ60t-30°)[V]의 전압이 각각 걸릴 때의 설명으로 옳은 것은?. 74 RLC 병렬 공진회로에 관한 설명 중 틀린 것은? 75 대칭 5상 회로의 선간전압과 상전압의 위상차는? 76 의 역라플라스 변환을 구하면 어떻게 되는가? 77 대칭 3상 전압이 a상 Va[V], b상 Vb=a2Va[V], c상Vc=aVa[V]일 때 a상을 기준으로 한 대칭분전압 중 정상분 V1[V]은 어떻게 표시되는가? (단, 이다.) 78 그림에서 a, b 단자의 전압이 100V, a, b에서 본 능동회로망 N의 임피던스가 15Ω 일 때, a, b 단자에 10Ω의 저항을 접속하면 a, b 사이에 흐르는 전류는 몇 A 인가? 79 전원이 Y결선, 부하가 Δ결선된 3상 대칭회로가 있다. 전원의 상전압이 220V이고 전원의 상전류가 10A일 경우, 부하한 상의 임피던스[Ω]는? 80 의 라플라스 변환 X(s)는? (단, x(0+)=0이다.) 81 사용전압이 22.9kV인 가공전선과 지지물 사이의 이격거리는 몇 cm 이상이어야 하는가? 82 농사용 저압 가공전선로의 시설에 대한 설명으로 틀린 것은? 83 수소 냉각식 발전기·조상기 또는 이에 부속하는 수소 냉각 장치의 시설방법으로 틀린 것은?(오류 신고가 접수된 문제입니다. 반드시 정답과 해설을 확인하시기 바랍니다.) 84 폭연성 분진 또는 화약류의 분말이 전기설비가 발화원이되어 폭발할 우려가 있는 곳에 시설하는 저압 옥내배선의 공사방법으로 옳은 것은?
85 전력계통의 운용에 관한 지시 및 급전조작을 하는 곳은? 86 가공전선로의 지지물에 취급자가 오르고 내리는데 사용하는 발판 볼트 등은 지표상 몇 m 미만에 시설하여서는 아니되는가? 87 금속몰드 배선공사에 대한 설명으로 틀린 것은? 88 그룹 2의 의료장소에 상용전원 공급이 중단될 경우 15초 이내에 최소 몇 %의 조명에 비상전원을 공급하여야 하는 가? 89 전선을 접속하는 경우 전선의 세기(인장하중)는 몇 % 이상 감소되지 않아야 하는가? 90 고압 보안공사 시에 지지물로 A종 철근 콘크리트주를 사용할 경우 경간은 몇 m 이하이어야 하는가? 91 154kV 가공전선을 사람이 쉽게 들어갈 수 없는 산지(山地)에 시설하는 경우 전선의 지표상 높이는 몇 m 이상으로 하여야 하는가? 92 조상기의 보호장치로서 내부 고장 시에 자동적으로 전로로부터 차단되는 장치를 설치하여야 하는 조상기 용량은 몇 kVA 이상인가? 93 154kV 가공전선로를 제1종 특고압 보안공사에 의하여 시설하는 경우 사용전선의 단면적은 몇 mm2 이상의 경동연선 이어야 하는가? 94 풀용 수중 조명등에 전기를 공급하기 위하여 1차측 120V, 2차측 30V의 절연 변압기를 사용하였다. 절연 변압기 2차측 전로의 접지에 대한 설명으로 옳은 것은? 95 조가용선을 사용하지 않아도 되는 전력 보안 통신선의 굵기는 지름 몇 mm의 어떤 선을 사용하는가? (단, 케이블은 제외한다.) 96 인가가 많이 연접되어 있는 장소에 시설하는 가공전선로의 구성재에 병종 풍압하중을 적용할 수 없는 경우는?
App Store Google Play
오늘학습 예시 이미지

시험에 합격하려면
복습을 제대로 해야 합니다.

오늘학습은 스스로 기억을 떠올리고 계획적으로 복습할 수 있도록 설계돼 있어요.
그것도, 가장 과학적인 방식으로요!

능동적 회상

능동적 회상
(Active Recall)

배운 내용을 단순 읽으며 반복하는 것이 아니라,
능동적으로 기억하고 있는지를
스스로 테스트하며
공부할 수 있는
학습 환경을 제공해 학습 효과를 높여요

간격 반복 학습

간격 반복 학습
(Spaced Repetition)

에빙하우스 망각곡선을 바탕으로
가장 최적의 시점에 복습을 제공하여
배운 내용이 잊히지 않도록 장기 기억화해요

Data 기반의
뇌과학적 복습 시스템

학습 결과 Data를 분석해, 문제별 최적화된
반복 학습량을
자동으로 분배해요.
학습에 소요되는 시간을 최소화하는
동시에
단기 기억을 장기 기억으로 전환해줘요.

36만 개 이상의
기출문제 무료 제공

공무원 및 약 300여종의 자격증 시험 기출문제
36만개
이상을 무료로 이용할 수 있어요.
여러 앱을 설치할 필요
없이, 오늘학습 하나로
모든 시험을 준비할 수 있어요.

다양한 문제 유형으로 만드는
나만의 단어장&문제집

기출 외에도 외워야 하는 내용은
객관식, 주관식, 카드, 빈칸
등 다양한 형식으로
직접 만들어 보세요. 내 학습 스타일에
맞게
나만의 단어장과 문제집을 만들 수 있어요.

시험별 체계적인
문제 관리

시험에 문제를 추가해 체계적으로
관리할 수 있어요.
주제나 단원별로
분류하고 싶다면,
시험에 챕터를 만들어
문제를 추가할 수도 있어요.

수십만 명이
오늘학습을 사랑합니다

앱 스토어 평점 4.9
구글 플레이 평점 4.8
누적 회원수 100,000+
지금 오늘학습을
시작해보세요
지금 시작하기
문제 선택