단상 승압기 1대를 사용하여 승압할 경우 승압 전의 전압을 E1하면, 승압 후의 전압 E2는 어떻게 되는가? (단, 승압기의 변압비는 이다.)
지금 시작하기 →

・・・ 문제은행 전기산업기사(2018년 2회) 40번

전기산업기사 2018년 04월 40번

단상 승압기 1대를 사용하여 승압할 경우 승압 전의 전압을 E1하면, 승압 후의 전압 E2는 어떻게 되는가? (단, 승압기의 변압비는 이다.)

1
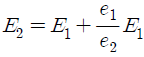
E2=E1+e1E1
2
E2=E1+e2
3
4
단축키
이전 문제로 이동은 키를 누르고, 다음 문제로 이동은 키를 누르세요
이전 문제 , 다음 문제
문제(100)
13 금속도체의 전기저항은 일반적으로 온도와 어떤 관계인가? 14 반지름 a[m]인 두 개의 무한장 도선이 d[m]의 간격으로 평행하게 놓여 있을 때 a≪d인 경우, 단위 길이당 정전용량[F/m]은? 15 두 개의 코일이 있다. 각각의 자기인덕턴스가 0.4H, 0.9H이고, 상호인덕턴스가 0.36H일 때 결합계수는?(오류 신고가 접수된 문제입니다. 반드시 정답과 해설을 확인하시기 바랍니다.) 16 비유전율이 2.4인 유전체 내의 전계의 세기가 100[mV/m]이다. 유전체에 축적되는 단위체적당 정전에너지는 몇 [J/m3]인가? 17 동심구 사이의 공극에 절연내력이 50[kV/mm]이며 비유전률이 3인 절연유를 넣으면, 공기인 경우의 몇 배의 전하를 축적할 수 있는가? (단, 공기의 절연내력은 3[kV/mm]라 한다.) 18 자계의 벡터 포텐셜을 A할 때, A와 자계의 변화에 의해 생기는 전계 E 사이에 성립하는 관계식은? 19 그림과 같이 유전체 경계면에서 ε1<ε2이었을 때 E1과 E2의 관계식 중 옳은 것은? 20 균등하게 자화된 구(球)자성체가 자화될 때의 감자율은? 21 보호계전기 동작이 가장 확실한 중성점 접지방식은? 22 단상 2선식의 교류 배전선이 있다. 전선 한 줄의 저항은 0.15[Ω], 리액턴스는 0.25[Ω] 이다. 부하는 무유도성으로 100[V], 3[kW]일 때 급전점의 전압은 약 몇 V 인가? 23 우리나라에서 현재 사용되고 있는 송전전압에 해당되는 것은? 24 제5고조파를 제거하기 위하여 전력용 콘덴서 용량의 몇 %에 해당하는 직렬 리액터를 설치하는가?
49 단상 유도전압조정기의 원리는 다음 중 어느 것을 응용한 것인가? 50 유도전동기의 속도제어 방식으로 틀린 것은? 51 4극, 60Hz의 정류자 주파수 변환기가 회전자계 방향과 반대방향으로 1440rpm으로 회전할 때의 주파수는 몇 Hz인가?(오류 신고가 접수된 문제입니다. 반드시 정답과 해설을 확인하시기 바랍니다.) 52 직류전동기의 속도제어법 중 광범위한 속도제어가 가능하며 운전효율이 좋은 방법은? 53 교류 단상 직권전동기의 구조를 설명한 것 중 옳은 것은? 54 변압기의 단락시험과 관계없는 것은? 55 전기자 저항이 0.3Ω 인 분권발전기가 단자전압 550V에서 부하전류가 100A 일 때 발생하는 유도기전력[V]은? (단, 계자전류는 무시한다.) 56 동기기의 단락전류를 제한하는 요소는? 57 병렬운전 중인 A, B 두 동기발전기 중 A발전기의 여자를 B발전기보다 증가시키면 A발전기는? 58 3상 동기발전기가 그림과 같이 1선 지락이 발생하였을 경우 단락전류 I0를 구하는 식은? (단, Ea는 무부하 유기기전력의 상전압, Z0, Z1, Z2는 영상, 정상, 역상 임피던스이다.)(문제 오류로 실제 시험장에서는 모두 정답 처리 되었습니다. 여기서는 가답안인 1번을 누르면 정답 처리 됩니다.) 59 유도전동기의 동기와트에 대한 설명으로 옳은 것은? 60 임피던스 전압강하 4% 의 변압기가 운전 중 단락되었을 때 단락전류는 정격전류의 몇 배가 흐르는가?
85 345kV 가공 송전선로를 평야에 시설할 때, 전선의 지표상의 높이는 몇 m 이상으로 하여야 하는가? 86 저압 옥내배선의 사용전선으로 틀린 것은?(오류 신고가 접수된 문제입니다. 반드시 정답과 해설을 확인하시기 바랍니다.) 87 도로에 시설하는 가공 직류 전차 선로의 경간은 몇 m 이하로 하여야 하는가? 88 사용전압이 100kV 이상의 변압기를 설치하는 곳의 절연유 유출방지 설비의 용량은 변압기 탱크 내장유량의 몇 % 이상으로 하여야 하는가?(관련 규정 개정전 문제로 여기서는 기존 정답인 2번을 누르면 정답 처리됩니다. 자세한 내용은 해설을 참고하세요.) 89 고압 가공전선로의 경간은 B종 철근 콘크리트주로 시설하는 경우 몇 m 이하로 하여야 하는가? 90 가요전선관 공사에 의한 저압 옥내배선 시설에 대한 설명으로 틀린 것은?(관련 규정 개정전 문제로 여기서는 기존 정답인 4번을 누르면 정답 처리됩니다. 자세한 내용은 해설을 참고하세요.) 91 가공전선로의 지지물 중 지선을 사용하여 그 강도를 분담 시켜서는 안 되는 것은? 92 최대 사용전압이 23kV인 권선으로서 중성선 다중접지방식의 전로에 접속되는 변압기권선의 절연내력시험 시험전압은 약 몇 kV 인가? 93 목주, A종 철주 및 A종 철근 콘크리트주를 사용할 수 없는 보안공사는? 94 정격전류 20A인 배선용 차단기로 보호되는 저압 옥내전로에 접속할 수 있는 콘센트 정격전류는 몇 A 이하인가? 95 사용전압이 380V인 옥내배선을 애자사용공사로 시설할 때 전선과 조영재 사이의 이격거리는 몇 cm 이상이어야 하는가? 96 과전류차단기로 저압전로에 사용하는 퓨즈는 수평으로 붙인 경우에 정격전류의 몇 배의 전류에 견뎌야 하는가?
App Store Google Play
오늘학습 예시 이미지

시험에 합격하려면
복습을 제대로 해야 합니다.

오늘학습은 스스로 기억을 떠올리고 계획적으로 복습할 수 있도록 설계돼 있어요.
그것도, 가장 과학적인 방식으로요!

능동적 회상

능동적 회상
(Active Recall)

배운 내용을 단순 읽으며 반복하는 것이 아니라,
능동적으로 기억하고 있는지를
스스로 테스트하며
공부할 수 있는
학습 환경을 제공해 학습 효과를 높여요

간격 반복 학습

간격 반복 학습
(Spaced Repetition)

에빙하우스 망각곡선을 바탕으로
가장 최적의 시점에 복습을 제공하여
배운 내용이 잊히지 않도록 장기 기억화해요

Data 기반의
뇌과학적 복습 시스템

학습 결과 Data를 분석해, 문제별 최적화된
반복 학습량을
자동으로 분배해요.
학습에 소요되는 시간을 최소화하는
동시에
단기 기억을 장기 기억으로 전환해줘요.

36만 개 이상의
기출문제 무료 제공

공무원 및 약 300여종의 자격증 시험 기출문제
36만개
이상을 무료로 이용할 수 있어요.
여러 앱을 설치할 필요
없이, 오늘학습 하나로
모든 시험을 준비할 수 있어요.

다양한 문제 유형으로 만드는
나만의 단어장&문제집

기출 외에도 외워야 하는 내용은
객관식, 주관식, 카드, 빈칸
등 다양한 형식으로
직접 만들어 보세요. 내 학습 스타일에
맞게
나만의 단어장과 문제집을 만들 수 있어요.

시험별 체계적인
문제 관리

시험에 문제를 추가해 체계적으로
관리할 수 있어요.
주제나 단원별로
분류하고 싶다면,
시험에 챕터를 만들어
문제를 추가할 수도 있어요.

수십만 명이
오늘학습을 사랑합니다

앱 스토어 평점 4.9
구글 플레이 평점 4.8
누적 회원수 100,000+
지금 오늘학습을
시작해보세요
지금 시작하기
문제 선택