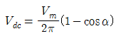
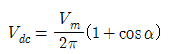
저항부하를 갖는 단상 전파제어 정류기의 평균 출력 전압 은? (단, α는 사이리스터의 점호각, Vm은 교류 입력 전압의 최대값이다.
지금 시작하기 →

・・・ 문제은행 전기산업기사(2016년 3회) 53번

전기산업기사 2016년 08월 53번

저항부하를 갖는 단상 전파제어 정류기의 평균 출력 전압 은? (단, α는 사이리스터의 점호각, Vm은 교류 입력 전압의 최대값이다.

1
2
3
4
단축키
이전 문제로 이동은 키를 누르고, 다음 문제로 이동은 키를 누르세요
이전 문제 , 다음 문제
문제(100)
1 환상철심에 감은 코일에 5A의 전류를 흘려 2000AT의 기자력을 발생시키고자 한다면, 코일의 권수는 몇 회로 하면 되는가? 2 임의의 점의 전계가 E=Exi+Eyj+Ezk로 표시 되었을 때, 와 같은 의미를 갖는 것은? 3 도체의 저항에 관한 설명으로 옳은 것은? 4 x축 상에서 x=1m, 2m, 3m, 4m 인 각 점에 2[nC], 4[nC], 6[nC], 8[nC] 의 점전하가 존재할 때 이들에 의하여 전계 내에 저장되는 정전 에너지는 몇 [nJ] 인가? 5 진공 중에 10-10[C]의 점전하가 있을 때 전하에서 2[m] 떨어진 점의 전계는 몇 [V/m] 인가? 6 유전체 내의 전계 E와 분극의 세기 P의 관계식은? 7 일반적으로 도체를 관통하는 자속이 변화하든가 또는 자속과 도체가 상대적으로 운동하여 도체 내의 자속이 시간적 변화를 일으키면, 이 변화를 막기 위하여 도체 내에 국부적으로 형성되는 임의의 폐회로를 따라 전류가 유기되는데 이 전류를 무엇이라 하는가? 8 철심이 들어있는 환상코일이 있다. 1차 코일의 권수N1=100회일 때 자기인덕턴스는 0.01[H] 였다. 이 철심에 2차 코일 N2=200회를 감았을 때 1, 2차 코일의 상호인덕턴스는 몇 [H]인가? (단, 이 경우 결합계수 k=1로 한다.) 9 정전용량 5[㎌]인 콘덴서를 200[V]로 충전하여 자기인덕턴스 20[mH], 저항 0[Ω]인 코일을 통해 방전할 때 생기는 전기진동 주파수는 약 몇 [Hz]이며, 코일에 축적되는 에너지는 몇 [J] 인가? 10 내압과 용량이 각각 200[V] 5[㎌], 300[V] 4[㎌], 400[V] 3[㎌], 500[V] 3[㎌] 인 4개의 콘덴서를 직렬연결하고 양단에 직류전압을 가하여 전압을 서서히 상승시키면 최초로 파괴되는 콘덴서는? 단, 콘덴서의 재질이나 형태는 동일하다. 11 무한히 넓은 2개의 평행 도체판의 간격이 d[m]이며 그 전위차는 V[V]이다. 도체판의 단위 면적에 작용하는 힘은 몇 [N/m2] 인가? 단, 유전율은 E0이다. 12 내경 a[m], 외경 b[m]인 동심구 콘덴서의 내구를 접지했을 때의 정전용량은 몇 [F]인가?
13 직류 500[V] 절연저항계로 절연저항을 측정하니 2[MΩ]이 되었다면 누설전류[μA]는? 14 평등 자계 내에 놓여 있는 전류가 흐르는 직선도선이 받는 힘에 대한 설명으로 틀린 것은? 15 그림과 같이 진공중에 자극면적이 2[cm2], 간격이 0.1[cm]인 자성체내에서 포화자속밀도가 2[Wb/m2]일 때 두 자극면 사이에 작용하는 힘의 크기는 약 몇 [N]인가? 16 지름이 2[m]인 구도체의 표면전계가 5[kV/㎜] 일 때 이 구도체의 표면에서의 전위는 몇 [kV]인가? 17 전류가 흐르고 있는 무한 직선도체로부터 2[m] 만큼 떨어진 자유공간 내 P점의 자계의 세기가 4/π[AT/m] 일 때, 이 도체에 흐르는 전류는 몇 [A]인가? 18 다음 내용은 어떤 법칙을 설명한 것인가? 19 공기콘덴서의 극판사이에 비유전율 Es의 유전체를 채운 경우, 동일 전위차에 대한 극판간의 전하량은? 20 유전체 중을 흐르는 전도전류 iσ와 변위전류 id를 갖게 하는 주파수를 임계주파수 fc, 임의의 주파수를 f라 할 때 유전손실 는? 21 송전선로에 충전전류가 흐르면 수전단 전압이 송전단 전압보다 높아지는 현상과 이 현상의 발생원인으로 가장 옳은 것은? 22 전력선에 의한 통신선로의 전자 유도 장해의 발생 요인은 주로 무엇 때문인가? 23 취수구에 제수문을 설치하는 목적은? 24 양수량 Q[m3/s], 총양정 h[m], 펌프효율 η인 경우 양수펌프용 전동기의 출력 P[kW]는? (단, k는 상수이다.)
25 고압 수전설비를 구성하는 기기로 볼 수 없는 것은? 26 공통중성선 다중접지 3상 4선식 배전선로에서 고압측(1차측) 중성선과 저압측(2차측) 중성선을 전기적으로 연결하는 목적은? 27 차단기의 정격 차단시간에 대한 정의로써 옳은 것은? 28 154/22.9[kV], 40[MVA] 3상 변압기의 %리액턴스가 14[%]라면 고압측으로 환산한 리액턴스는 약 몇 [Ω]인가? 29 보호계전기의 기본 기능이 아닌 것은? 30 6[kV]급의 소내 전력공급용 차단기로써 현재 가장 많이 채택하는 것은? 31 수용가군 총합의 부하율은 각 수용가의 수용분 및 수용가 사이의 부등률이 변화할 때 옳은 것은? 32 3상 3선식 3각형 배치의 송전선로가 있다. 선로가 연가되어 각 선간의 정전용량이 0.007[㎌/km], 각 선의 대지정전용량은 0.002[㎌/km] 라고 하면 1선의 작용정전용량은 몇 [㎌/km]인가? 33 3상 Y결선된 발전기가 무부하 상태로 운전 중 b상 및 c상에서 동시에 직접접지 고장이 발생 하였을 때 나타나는 현상으로 틀린 것은? 34 전선로에 댐퍼(damper)를 사용하는 목적은? 35 배전선로의 손실을 경감시키는 방법이 아닌 것은? 36 최대 출력 350[MW], 평균 부하율 80[%]로 운전되고 있는 화력발전소의 10일간 중유 소비량이 1.6×107[리터] 라고 하면 발전단에서의 열효율은 몇 [%] 인가? (단, 중유의 열량은 10,000kcal/l] 이다.)
37 전압과 역률이 일정할 때 전력을 몇 [%] 증가시키면 전력손실이 2배로 되는가? 38 어느 발전소에서 합성 임피던스가 0.4[%](10MVA 기준)인 장소에 설치하는 차단기의 차단용량은 몇 [MVA] 인가? 39 주상변압기의 1차측 전압이 일정할 경우 2차측 부하가 변하면, 주상변압기의 동손과 철손은 어떻게 되는가? 40 3상 3선식 변압기 결선 방식이 아닌 것은? 41 3상 동기 발전기를 병렬운전 하는 경우 필요한 조건이 아닌 것은? 42 단상유도전압조정기의 1차 권선과 2차 권선의 축 사이의 각도를 α라 하고 양 권선의 축이 일치할 때 2차 권선의 유기전압을 E2, 전원전압을 V1, 부하측의 전압을 V2라고 하면 임의의 각 α일 때의 V2는? 43 변압기의 절연유로서 갖추어야 할 조건이 아닌 것은? 44 6극 60[Hz]의 3상 권선형 유도전동기가 1140[rpm]의 정격속도로 회전할 때 1차측 단자를 전환해서 상회전 방향을 반대로 바꾸어 역전제동을 하는 경우 제동토크를 전부하 토크와 같게 하기 위한 2차 삽입저항 R[Ω]은? (단, 회전자 1상의 저항은 0.005[Ω], Y 결선이다.) 45 브러시리스 모터(BLDC)의 회전자 위치 검출을 위해 사용하는 것은? (문제 오류로 실제 시험에서는 가, 다번이 정답처리 되었습니다. 여기서는 가번을 누르면 정답 처리 됩니다.) 46 전기자저항이 0.04[Ω]인 직류분권발전기가 있다. 단자전압 100[V], 회전속도 1000[rpm]일 때 전기자 전류는 50[A]라 한다. 이 발전기를 전동기로 사용할 때 전동기의 회전속도는 약 몇 [rpm]인가? (단, 전기자반작용은 무시한다.) 47 유도 발전기에 대한 설명으로 틀린 것은? 48 직류기의 전기자에 사용되지 않는 권선법은?
73 기본파의 30[%]인 제 3고조파와 기본파의 20[%]인 제5고조파를 포함한 전압파의 왜형률은? 74 코일의 권수N=1000[회], 저항 R=10[Ω]이다. 전류 I=10[A]를 흘릴 때 자속 ø=3×10-2[Wb] 이라면 이 회로의 시정수[s]는? 75 800[kW], 역률 80[%]의 부하가 있다. 1/4시간 동안 소비되는 전력량[kWh]은? 76 를 라플라스 변환하면? 77 3상 불평형 전압을Va, Vb, Vc라고 할 때 정상전압 [V]은? (단, 이다.) 78 평형 3상 Y결선 회로의 선간전압 Vl, 상전압 Vp, 선전류 Il, 상전류가 Ip 일 때 다음의 관련식 중 틀린 것은? (단, Py는 3상 부하전력을 의미한다.)(오류 신고가 접수된 문제입니다. 반드시 정답과 해설을 확인하시기 바랍니다.) 79 그림과 같이 접속된 회로에 평형 3상 전압 E[V]를 가할 때의 전류 Il [A]은? 80 그림과 같은 커패시터 C의 초기 전압이 V(0)일 때 라플라스 변환에 의하여 s함수로 표시된 등가회로로 옳은 것은? 81 옥내배선의 사용전압이 220[V]인 경우 금속관 공사의 기술기준으로 옳은 것은? 82 폭발성 또는 연소성의 가스가 침입할 우려가 있는 지중함에 그 크기가 몇 [m3] 이상의 것은 통풍장치 기타 가스를 방산시키기 위한 적당한 장치를 시설하여야 하는가? 83 차량, 기타 중량물의 압력을 받을 우려가 없는 장소에 지중 전선로를 직접 매설식에 의하여 매설하는 경우에는 매설 깊이를 몇 [cm] 이상으로 하여야 하는가?(오류 신고가 접수된 문제입니다. 반드시 정답과 해설을 확인하시기 바랍니다.) 84 전력용 커패시터의 용량 15,000[kVA] 이상은 자동적으로 전로로부터 차단하는 장치가 필요하다. 자동적으로 전로로부터 차단하는 장치가 필요한 사유로 틀린 것은?
85 고압 가공전선로의 지지물로 철탑을 사용한 경우 최대 경간은 몇 [m] 이하이어야 하는가? 86 무선용 안테나를 지지하는 목주의 풍압하중에 대한 안전율은? 87 목주, A종 철주 및 A종 철근 콘크리트주 지지물을 사용할 수 없는 보안공사는? 88 특고압 가공전선로의 지지물로 사용하는 목주의 풍압하중에 대한 안전율은 얼마 이상이어야 하는가? 89 전기집진장치에서 변압기로부터 정류기에 이르는 케이블을 넣는 방호장치의 금속제 부분 및 케이블의 피복에 사용하는 금속체에는 원칙적으로 몇 종 접지공사를 하여야 하는가?(오류 신고가 접수된 문제입니다. 반드시 정답과 해설을 확인하시기 바랍니다.) 90 금속제 지중 관로에 대하여 전식 작용에 의한 장해를 줄 우려가 있어 배류시설에 사용되는 선택 배류기를 보호할 목적으로 시설하여야 하는 것은?(오류 신고가 접수된 문제입니다. 반드시 정답과 해설을 확인하시기 바랍니다.) 91 진열장 안의 사용전압이 400[V] 미만인 저압 옥내배선으로 외부에서 보기 쉬운 곳에 한하여 시설할 수 있는 전선은? 단, 진열장은 건조한 곳에 시설하고 또한 진열장 내부를 건조한 상태로 사용하는 경우이다. 92 저압 옥내배선을 가요전선관 공사에 의해 시공하고자 한다. 이 가요전선관에 설치하는 전선으로 단선을 사용할 경우 그 단면적은 최대 몇 [mm2] 이하이어야 하는가? (단, 알루미늄선은 제외한다.) 93 ACSR을 사용한 고압가공전선의 이도계산에 적용되는 안전율은? 94 변압기의 고압측 전로의 1선 지락전류가 4[A]일 때, 일반적인 경우의 제2종 접지저항 값은 몇 [Ω] 이하로 유지되어야 하는가? 95 KS C IEC 60364에서 충전부 전체를 대지로부터 절연시키거나 한 점에 임피던스를 삽입하여 대지에 접속시키고, 전기기기의 노출 도전성 부분 단독 또는 일괄적으로 접지 하거나 또는 계통접지로 접속하는 접지계통을 무엇이라 하는가? 96 전기공급 설비 및 전기사용설비에서 변압기 절연유에 대한 설명으로 옳은 것은?
App Store Google Play
오늘학습 예시 이미지

시험에 합격하려면
복습을 제대로 해야 합니다.

오늘학습은 스스로 기억을 떠올리고 계획적으로 복습할 수 있도록 설계돼 있어요.
그것도, 가장 과학적인 방식으로요!

능동적 회상

능동적 회상
(Active Recall)

배운 내용을 단순 읽으며 반복하는 것이 아니라,
능동적으로 기억하고 있는지를
스스로 테스트하며
공부할 수 있는
학습 환경을 제공해 학습 효과를 높여요

간격 반복 학습

간격 반복 학습
(Spaced Repetition)

에빙하우스 망각곡선을 바탕으로
가장 최적의 시점에 복습을 제공하여
배운 내용이 잊히지 않도록 장기 기억화해요

Data 기반의
뇌과학적 복습 시스템

학습 결과 Data를 분석해, 문제별 최적화된
반복 학습량을
자동으로 분배해요.
학습에 소요되는 시간을 최소화하는
동시에
단기 기억을 장기 기억으로 전환해줘요.

36만 개 이상의
기출문제 무료 제공

공무원 및 약 300여종의 자격증 시험 기출문제
36만개
이상을 무료로 이용할 수 있어요.
여러 앱을 설치할 필요
없이, 오늘학습 하나로
모든 시험을 준비할 수 있어요.

다양한 문제 유형으로 만드는
나만의 단어장&문제집

기출 외에도 외워야 하는 내용은
객관식, 주관식, 카드, 빈칸
등 다양한 형식으로
직접 만들어 보세요. 내 학습 스타일에
맞게
나만의 단어장과 문제집을 만들 수 있어요.

시험별 체계적인
문제 관리

시험에 문제를 추가해 체계적으로
관리할 수 있어요.
주제나 단원별로
분류하고 싶다면,
시험에 챕터를 만들어
문제를 추가할 수도 있어요.

수십만 명이
오늘학습을 사랑합니다

앱 스토어 평점 4.9
구글 플레이 평점 4.8
누적 회원수 100,000+
지금 오늘학습을
시작해보세요
지금 시작하기
문제 선택