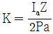
직류발전기에서 기하학적 중성축과 각도 θ만큼 브러시의 위치가 이동되었을 감자기자력(AT/극)은? (단, )
지금 시작하기 →

・・・ 문제은행 전기산업기사(2019년 2회) 46번

전기산업기사 2019년 04월 46번

직류발전기에서 기하학적 중성축과 각도 θ만큼 브러시의 위치가 이동되었을 감자기자력(AT/극)은? (단, )

1
2
3
4
단축키
이전 문제로 이동은 키를 누르고, 다음 문제로 이동은 키를 누르세요
이전 문제 , 다음 문제
문제(100)
37 차단기의 정격차단시간을 설명 한 것으로 옳은 것은? 38 연가를 하는 주된 목적은? 39 변압기의 보호방식 에서 차동계전기는 무엇에 의하여 동작하는가? 40 보호 계전 방식의 구비 조건이 아닌 것은? 41 자극수 4, 전기자 도체수 50, 전기자저항 0.1Ω의 중권 타여자전동기가 있다. 정격전압 105V, 정격전류 50A로 운전하던 것을 전압 106V 및 계자회로를 일정히 하고 무부하로 운전했을 때 전기자전류가 10A이라면 속도변동률(%)은? (단, 매극의 자속은 0.05Wb라 한다.) 42 동기발전기의 권선을 분포권으로 하면? 43 직류 분권발전기가 운전 중 단락이 발생하면 나타나는 현상으로 옳은 것은? 44 단락비가 큰 동기발전기에 대한 설명 중 틀린 것은? 45 어떤 변압기의 부하역률이 60%일 때 전압변동률이 최대라고 한다. 지금 이 변압기의 부하역률이 100%일 때 전압변동률을 측정 했더니 3%였다. 이 변압기의 부하역률이 80% 일 때 전압변동률은 몇 % 인가? 46 직류발전기에서 기하학적 중성축과 각도 θ만큼 브러시의 위치가 이동되었을 감자기자력(AT/극)은? (단, ) 47 동기 주파수변환기의 주파수 f1 및 f2 계통에 접속되는 양극을 P1, P2 라 하면 다음 어떤 관계가 성립되는가? 48 다음은 직류 발전기의 정류곡선이다. 이 중에서 정류 말기에 정류의 상태가 좋지 않은 것은?
85 특고압 가공전선로의 지지물에 시설하는 통신선 또는 이것에 직접 접속하는 통신선일 경우에 설치하여야 할 보안 장치로서 모두 옳은 것은? 86 사용전압 60000V인 특고압 가공전선과 지지물·지주·완금류 또는 지선 사이의 이격거리는 몇 cm 이상이어야 하는가? 87 특고압 가공전선로에서 발생 하는 극저주파 전자계는 지표상 1m 에서 전계가 몇 kV/m 이하가 되도록 시설하여야 하는가? 88 동일 지지물에 저압 가공전선(다중접지된 중성선은 제외)과 고압 가공전선을 시설하는 경우 저압 가공전선은? 89 23kV 특고압 가공전선로의 전로와 저압전로를 결합한 주상변압기의 2차측 접지선의 굵기는 공칭단면적이 몇 mm2 이상의 연동선인가? (단, 특고압 가공전선로는 중성선 다중접지식의 것을 제외한다.)(2021년 변경된 KEC 규정 적용됨) 90 특고압 가공전선로의 지지물 양쪽의 경간의 차가 큰 곳에 사용되는 철탑은? 91 철탑의 강도 계산에 사용하는 이상 시 상정 하중의 종류가 아닌 것은? 92 교류 전차선 등이 교량 등의 밑에 시설되는 경우 교량의 가더 등의 금속제 부분에는 제 몇 종 접지공사를 하여야 하는가?(관련 규정 개정전 문제로 여기서는 기존 정답인 3번을 누르면 정답 처리됩니다. 자세한 내용은 해설을 참고하세요.) 93 사용전압 15kV 이하인 특고압 가공전선로의 중성선 다중 접지시설은 각 접지선을 중성 선으로부터 분리하였을 경우 1km 마다의 중성선과 대지사이의 합성 전기저항값은 몇 Ω 이하이어야 하는가? 94 고압 가공전선에 케이블을 사용하는 경우의 조가용선 및 케이블의 피복에 사용하는 금속체에는 몇 종 접지공사를 하여야 하는가?(관련 규정 개정전 문제로 여기서는 기존 정답인 3번을 누르면 정답 처리됩니다. 자세한 내용은 해설을 참고하세요.) 95 강색 차선의 레일면상의 높이는 몇 m 이상이어야 하는가? (단, 터널 안, 교량 아래 그 밖에 이와 유사한 곳에 시설하는 경우는 제외한다.)(오류 신고가 접수된 문제입니다. 반드시 정답과 해설을 확인하시기 바랍니다.) 96 “지중 관로”에 포함되지 않는 것은?
App Store Google Play
오늘학습 예시 이미지

시험에 합격하려면
복습을 제대로 해야 합니다.

오늘학습은 스스로 기억을 떠올리고 계획적으로 복습할 수 있도록 설계돼 있어요.
그것도, 가장 과학적인 방식으로요!

능동적 회상

능동적 회상
(Active Recall)

배운 내용을 단순 읽으며 반복하는 것이 아니라,
능동적으로 기억하고 있는지를
스스로 테스트하며
공부할 수 있는
학습 환경을 제공해 학습 효과를 높여요

간격 반복 학습

간격 반복 학습
(Spaced Repetition)

에빙하우스 망각곡선을 바탕으로
가장 최적의 시점에 복습을 제공하여
배운 내용이 잊히지 않도록 장기 기억화해요

Data 기반의
뇌과학적 복습 시스템

학습 결과 Data를 분석해, 문제별 최적화된
반복 학습량을
자동으로 분배해요.
학습에 소요되는 시간을 최소화하는
동시에
단기 기억을 장기 기억으로 전환해줘요.

36만 개 이상의
기출문제 무료 제공

공무원 및 약 300여종의 자격증 시험 기출문제
36만개
이상을 무료로 이용할 수 있어요.
여러 앱을 설치할 필요
없이, 오늘학습 하나로
모든 시험을 준비할 수 있어요.

다양한 문제 유형으로 만드는
나만의 단어장&문제집

기출 외에도 외워야 하는 내용은
객관식, 주관식, 카드, 빈칸
등 다양한 형식으로
직접 만들어 보세요. 내 학습 스타일에
맞게
나만의 단어장과 문제집을 만들 수 있어요.

시험별 체계적인
문제 관리

시험에 문제를 추가해 체계적으로
관리할 수 있어요.
주제나 단원별로
분류하고 싶다면,
시험에 챕터를 만들어
문제를 추가할 수도 있어요.

수십만 명이
오늘학습을 사랑합니다

앱 스토어 평점 4.9
구글 플레이 평점 4.8
누적 회원수 100,000+
지금 오늘학습을
시작해보세요
지금 시작하기
문제 선택