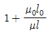
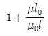
단면적이 같은 자기회로가 있다. 철심의 투자율을 μ라 하고 철심회로의 길이를 ㅣ이라 한다. 지금 그 일부에 미소공극 ㅣ0을 만들었을 때 자기회로의 자기저항은 공극이 없을 때의 약 몇 배인가? (단,ㅣ≫ㅣ0이다.)
지금 시작하기 →

・・・ 문제은행 전기산업기사(2017년 1회) 13번

전기산업기사 2017년 03월 13번

단면적이 같은 자기회로가 있다. 철심의 투자율을 μ라 하고 철심회로의 길이를 ㅣ이라 한다. 지금 그 일부에 미소공극 ㅣ0을 만들었을 때 자기회로의 자기저항은 공극이 없을 때의 약 몇 배인가? (단,ㅣ≫ㅣ0이다.)

1
2
3
4
단축키
이전 문제로 이동은 키를 누르고, 다음 문제로 이동은 키를 누르세요
이전 문제 , 다음 문제
문제(100)
1 자화의 세기 Jm[C/m2]을 자속밀도 B[WB/m2]와 비투자율 μT로 나타내면? 2 평행판 콘덴서의 양극판 면적을 3배로 하고 간격을 1/3로 줄이면 정전용량은 처음의 몇 배가 되는가? 3 임의의 절연체에 대한 유전율의 단위로 옳은 것은? 4 비유전율이 4이고, 전계의 세기가 20 kV/m인 유전체 내의 전속밀도는 약 몇 μC/m2인가? 5 저항 24Ω의 코일을 지나는 자속이0.6cos800t[Wb]일 때 코일에 흐르는 전류의 최대값은 몇 A인가? 6 -1.2 C의 점전하가 5ax+2ay-3az[m/s]인 속도로 운동한다. 이 전하가 B=-4ax+4ay+3az[Wb/m2]인 자계에서 운동하고 있을 때 이 전하에 작용하는 힘은 약 몇 N 인가? (단, ax, ay, az는 단위벡터이다.) 7 유도기전력의 크기는 폐회로에 쇄교하는 자속의 시간적 변화율에 비례한다는 법칙은? 8 평행판 공기콘덴서 극판 간에 비유전율 6인 유리판을 일부만 삽입한 경우, 유리판과 공기간의 경계면에서 발생하는 힘은 약 몇 N/m2인가? (단, 극판간의 전위경도는 30kV/㎝이고 유리판의 두께는 평행판 간 거리와 같다.) 9 극판면적 10cm2, 간격1mm인 평행판 콘덴서에 비유전율이 3인 유전체를 채웠을 때 전압 100V를 가하면 축적되는 에너지는 약 몇 J인가? 10 0.2Wb/m2의 평등자계 속에 자계와 직각방향으로 놓인 길이 30cm의 도선을 자계와 30°의 방향으로 30m/s의 속도로 이동시킬 때 도체 양단에 유기되는 기전력은 몇 V인가? 11 전기 쌍극자에서 전계의 세기(E)와 거리(r)과의 관계는? 12 대전도체 표면의 전하밀도를 σ[C/m2]이라 할 때, 대전도체 표면의 단위면적이 받는 정전응력은 전하밀도 σ와 어떤 관계에 있는가?
37 어떤 건물에서 총 설비 부하용량이 700kW, 수용률이 70%라면, 변압기 용량은 최소 몇 kVA로 하여야 하는가? (단, 여기서 설비 부하의 종합 역률은 0.8이다.) 38 동작전류가 커질수록 동작시간이 짧게 되는 특성을 가진 계전기는? 39 전력 원선도의 가로축 ①과 세로축 ②이 나타내는 것은? 40 직접접지 방식에 대한 설명이 아닌 것은? 41 450kVA, 역률 0.85, 효율 0.9인 동기 발전기의 운전용 원동기의 입력은 500kW이다. 이 원동기의 효율은? 42 다음 중 일반적인 동기 전동기 난조 방지에 가장 유효한 방법은? 43 일반적인 농형 유도 전동기에 관한 설명 중 틀린 것은? 44 sE2는 권선형 유도전동기의 2차 유기전압이고 Ec는 외부에서 2차 회로에 가하는 2차 주파수와 같은 주파수의 전압이다. Ec가 sE2와 반대 위상일 경우 Ec를 크게 하면 속도는 어떻게 되는가? (단, sE2-Ec는 일정하다.) 45 3상 유도전동기의 전원 주파수와 전압의 비가 일정하고 정격속도 이하로 속도를 제어하는 경우 전동기의 출력 P와 주파수 f와의 관계는? 46 변압기의 철심이 갖추어야 할 조건으로 틀린 것은? 47 3상 유도전동기가 경부하로 운전 중 1선의 퓨즈가 끊어지면 어떻게 되는가? 48 단상 반파정류회로에서 평균 출력 전압은 전원 전압의 약 몇 %인가?(오류 신고가 접수된 문제입니다. 반드시 정답과 해설을 확인하시기 바랍니다.)
49 그림과 같이 전기자 권선에 전류를 보낼 때 회전방향을 알기 위한 법칙 및 회전 방향은? 50 1차측 권수가 1500인 변압기의 2차측에 접속한 저항 16Ω을 1차측으로 환산했을 때 8kΩ으로 되어 있다면 2차측 권수는 약 얼마인가? 51 출력과 속도가 일정하게 유지되는 동기 전동기에서 여자를 증가시키면 어떻게 되는가? 52 다음 전자석의 그림 중에서 전류의 방향이 회살표와 같을 때 위쪽 부분이 N극인 것은? 53 동기 발전기의 전기자 권선법 중 집중권에 비해 분포권이 갖는 장점은? 54 와류손이 50W인 3300/110V, 60Hz용 단상 변압기를 50Hz, 3000V의 전원에 사용하면 이 변압기의 와류손은 약 몇 W로 되는가? 55 2대의 동기 발전기를 병렬 운전 할 때, 무효횡류(무효 순환전류)가 흐르는 경우는? 56 포화하고 있지 않은 직류 발전기의 회전수가 1/2로 감소되었을 때 기전력을 속도 변화 전과 같은 값으로 하려면 여자를 어떻게 해야 하는가? 57 교류 전동기에서 브러시 이동으로 속도 변화가 용이한 전동기는? 58 단상 유도 전압 조정기의 1차 전압 100V, 2차 전압 100±30V, 2차 전류는 50A이다. 이 전압 조정기의 정격용량은 약 몇 kVA인가? 59 변압기의 병렬운전 조건에 해당하지 않는 것은? 60 4극 단중 파권 직류 발전기의 전전류가 I[A]일 때, 전기자 권선의 각 병렬회로에 흐르는 전류는 몇 A가 되는가?
85 B종 철주 또는 B종 철근 콘크리트주를 사용하는 특고압 가공전선로의 경간은 몇 m 이하이어야 하는가? 86 전력보안 통신선 시설에서 가공전선로의 지지물에 시설하는 가공 통신선에 직접 접속하는 통신선의 종류로 틀린 것은? 87 변전소의 주요 변압기에서 계측하여야 하는 사항 중 계측 장치가 꼭 필요하지 않는 것은? (단, 전기 철도용 변전소의 주요 변압기는 제외한다.) 88 옥내의 네온 방전등 공사의 방법으로 옳은 것은? 89 무대, 무대마루 밑, 오케스트라박스, 영사실 기타 사람이나 무대 도구가 접촉할 우려가 있는 곳에 시설하는 저압 옥내배선, 전구선 또는 이동전선은 사용 전압이 몇 V 미만이어야 하는가? 90 저압 가공전선로와 기설 가공약전류 전선로가 병행하는 경우에는 유도작용에 의하여 통신상의 장해가 생기지 아니하도록 전선과 기설 약전류 전선 간의 이격거리는 몇 m 이상이어야 하는가? 91 금속관 공사에 의한 저압 옥내배선의 방법으로 틀린 것은? 92 특고압으로 시설할 수 없는 전선로는? 93 22.9kV 전선로를 제1종 특고압 보안공사로 시설할 경우 전선으로 경동연선을 사용한다면 그 단면적은 몇 mm2이상의 것을 사용하여야 하는가? 94 교류 전차선 등이 교량 기타 이와 유사한 것의 밑에 시설되는 경우에 시설 기준으로 틀린 것은?(관련 규정 개정전 문제로 여기서는 기존 정답인 2번을 누르면 정답 처리됩니다. 자세한 내용은 해설을 참고하세요.) 95 변압기 1차측 3300V, 2차측 220V의 변압기 전로의 절연내력 시험 전압은 각각 몇 V에서 10분간 견디어야 하는가? 96 가공전선로의 지지물에 취급자가 오르고 내리는데 사용하는 발판 볼트 등은 지표상 몇 m 미만에 시설하여서는 아니 되는가?
App Store Google Play
오늘학습 예시 이미지

시험에 합격하려면
복습을 제대로 해야 합니다.

오늘학습은 스스로 기억을 떠올리고 계획적으로 복습할 수 있도록 설계돼 있어요.
그것도, 가장 과학적인 방식으로요!

능동적 회상

능동적 회상
(Active Recall)

배운 내용을 단순 읽으며 반복하는 것이 아니라,
능동적으로 기억하고 있는지를
스스로 테스트하며
공부할 수 있는
학습 환경을 제공해 학습 효과를 높여요

간격 반복 학습

간격 반복 학습
(Spaced Repetition)

에빙하우스 망각곡선을 바탕으로
가장 최적의 시점에 복습을 제공하여
배운 내용이 잊히지 않도록 장기 기억화해요

Data 기반의
뇌과학적 복습 시스템

학습 결과 Data를 분석해, 문제별 최적화된
반복 학습량을
자동으로 분배해요.
학습에 소요되는 시간을 최소화하는
동시에
단기 기억을 장기 기억으로 전환해줘요.

36만 개 이상의
기출문제 무료 제공

공무원 및 약 300여종의 자격증 시험 기출문제
36만개
이상을 무료로 이용할 수 있어요.
여러 앱을 설치할 필요
없이, 오늘학습 하나로
모든 시험을 준비할 수 있어요.

다양한 문제 유형으로 만드는
나만의 단어장&문제집

기출 외에도 외워야 하는 내용은
객관식, 주관식, 카드, 빈칸
등 다양한 형식으로
직접 만들어 보세요. 내 학습 스타일에
맞게
나만의 단어장과 문제집을 만들 수 있어요.

시험별 체계적인
문제 관리

시험에 문제를 추가해 체계적으로
관리할 수 있어요.
주제나 단원별로
분류하고 싶다면,
시험에 챕터를 만들어
문제를 추가할 수도 있어요.

수십만 명이
오늘학습을 사랑합니다

앱 스토어 평점 4.9
구글 플레이 평점 4.8
누적 회원수 100,000+
지금 오늘학습을
시작해보세요
지금 시작하기
문제 선택