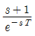
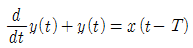
시간지연 요인을 포함한 어떤 특정계가 다음 미분방정식 로 표현된다. x(t)를 입력, y(t)를 출력이라 할 때 이 계의 전달함수는?
지금 시작하기 →

・・・ 문제은행 전기산업기사(2017년 3회) 68번

전기산업기사 2017년 08월 68번

시간지연 요인을 포함한 어떤 특정계가 다음 미분방정식 로 표현된다. x(t)를 입력, y(t)를 출력이라 할 때 이 계의 전달함수는?

1
2
3
4
단축키
이전 문제로 이동은 키를 누르고, 다음 문제로 이동은 키를 누르세요
이전 문제 , 다음 문제
문제(100)
1 100kV로 충전된 8×103pF의 콘덴서가 축적할 수 있는 에너지는 몇 W 전구가 2초 동안 한 일에 해당하는가? 2 제벡(Seebeck) 효과를 이용 한 것은? 3 마찰전기는 두 물체의 마찰열에 의해 무엇이 이동하는 것인가? 4 두 벡터 A=-7i-j, B=-3i-4j가 이루는 각은? 5 그림과 같이 반지름 a[m], 중심간격 d[m]인 평행원통도체가 공기 중에 있다. 원통도체의 선전하밀도가 각각 ±pL[C/m]일 때 두 원통도체 사이의 단위 길이당 정전용량은 약 몇 F/m인가? (단, d≫a이다.) 6 횡전자파(TEM)의 특성은? 7 반자성체가 아닌 것은? 8 맥스웰 전자계의 기초 방정식으로 틀린 것은? 9 무한히 긴 두 평행도선이 2㎝의 간격으로 가설되어 100A의 전류가 흐르고 있다. 두 도선의 단위 길이당 작용력은 몇 N/m인가? 10 -1.2C의 점전하가 5ax+2ay-3az[m/s]인 속도로 운동한다. 이 전하가 E=-18ax+5ay-10az[V/m] 전계에서 운동하고 있을 때 이 전하에 작용하는 힘은 약 몇 N인가?(오류 신고가 접수된 문제입니다. 반드시 정답과 해설을 확인하시기 바랍니다.) 11 전계 의 평면 전자파가 있다. 진공 중에서의 자계의 실효값은 약 몇 AT/m 인가?(오류 신고가 접수된 문제입니다. 반드시 정답과 해설을 확인하시기 바랍니다.) 12 전자석의 재료로 가장 적당한 것은?(오류 신고가 접수된 문제입니다. 반드시 정답과 해설을 확인하시기 바랍니다.)
13 유전체내의 전계의 세기가 E, 분극의 세기가 P, 유전율이 E=E0Es인 유전체 내의 변위전류밀도는? 14 점전하 +Q[C]의 무한평면도체에 대한 영상전하는? 15 두 코일 A, B의 자기 인덕턴스가 각각 3mH, 5mH라 한다. 두 코일을 직렬연결 시 자속이 서로 상쇄 되도록 했을 때의 합성 인덕턴스는 서로 증가하도록 연결했을 때의 60[%]이었다. 두 코일의 상호인덕턴스는 몇 mH 인가? 16 고립 도체구의 정전용량이 50pF일 때 이 도체구의 반지름은 약 몇 ㎝ 인가? 17 N회 감긴 환상 솔레노이드의 단면적이 S[m2]이고 평균길이가 l[m] 이다. 이 코일의 권수를 반으로 줄이고 인덕턴스를 일정하게 하려면? 18 고유저항이 p[Ωm], 한 변의 길이가 r[m]인 정육면체의 저항[Ω]은? 19 내외 반지름이 각각 a, b 이고 길이가 l인 동축원통도체 사이에 도전율 б, 유전율 ε인 손실유전체를 넣고, 내원통과 외원통 간에 전압 V를 가했을 때 방사상으로 흐르는 전류 I는? 단, RC=pε이다 20 콘덴서를 그림과 같이 접속했을 때 Cx의 정전용량은 몇 ㎌ 인가? (단, C1=C2=C3=3㎌이고, a-b 사이의 합성정전용량은 5㎌이다.) 21 전력계통에 과도안정도 향상 대책과 관련 없는 것은? 22 다음 중 페란티 현상의 방지대책으로 적합하지 않은 것은? 23 보호계전기의 구비 조건으로 틀린 것은? 24 우리나라의 화력발전소에서 가장 많이 사용되고 있는 복수기는?
25 뒤진 역률 80%, 1000kW의 3상 부하가 있다. 이것에 콘덴서를 설치하여 역률을 95%로 개선하려면 콘덴서의 용량은 약 몇 kVA로 해야 하는가? 26 154kV 송전선로에 10개의 현수애자가 연결되어 있다. 다음 중 전압부담이 가장 적은 것은? (단, 애자는 같은 간격으로 설치되어 있다.) 27 교류송전에서는 송전거리가 멀어질수록 동일 전압에서의 송전 가능 전력이 적어진다. 그 이유로 가장 알맞은 것은? 28 충전된 콘덴서의 에너지에 의한 트립되는 방식으로 정류기, 콘덴서 등으로 구성되어 있는 차단기의 트립방식은? 29 어느 일정한 방향으로 일정한 크기 이상의 단락전류가 흘렀을 때 동작하는 보호계전기의 약어는? 30 전선의 자체 중량과 빙설의 종합하중을 W1, 풍압하중을 W2라 할 때 합성하중은? 31 보호계전기 동작속도에 관한 사항으로 한시 특성 중 반한시형을 바르게 설명한 것은? 32 다음 중 배전선로의 부하율이 F일 때 손실계수 H와의 관계로 옳은 것은? 33 송전선에 낙뢰가 가해져서 애자에 섬락이 생기면 아크가 생겨 애자가 손상되는데 이것을 방지하기 위하여 사용하는 것은? 34 154kV 3상 1회선 송전선로의 1선의 리액턴스가 10Ω, 전류가 200A 일 때 %리액턴스는? 35 우리나라에서 현재 가장 많이 사용되고 있는 배전 방식은? 36 조상설비가 아닌 것은?
37 단거리 송전선의 4단자 정수 A,B,C,D 중 그 값이 0인 정수는? 38 전원측과 송전선로의 합성 %Zs가 10MVA 기준용량으로 1%의 지점에 변전설비를 시설하고자 한다. 이 변전소에 정격용량 6MVA의 변압기를 설치할 때 변압기 2차측의 단락용량은 몇 MVA 인가? (단, 변압기의 %Zt는 6.9% 이다.) 39 그림과 같은 단상 2선식 배선에서 인입구 A점의 전압이 220V라면 C점의 전압[V]은? (단, 저항값은 1선의 값이며 AB간은 0.05Ω, BC간은 0.1Ω 이다.) 40 파동임피던스가 300Ω인 가공송전선 1km 당의 인덕턴스는 몇 mH/km 인가? (단, 저항과 누설콘덕턴스는 무시한다.) 41 3상 전원의 수전단에서 전압 3300V, 전류 1000A, 뒤진 역률 0.8의 전력을 받고 있을 때 동기 조상기로 역률을 개선하여 1로 하고자 한다. 필요한 동기조상기의 용량은 약 몇 kVA인가? 42 기동장치를 갖는 단상 유도전동기가 아닌 것은? 43 일반적인 직류전동기의 정격표시 용어로 틀린 것은? 44 직류전동기의 속도제어 방법 중 광범위한 속도 제어가 가능하며 운전 효율이 높은 방법은? 45 트라이액(triac)에 대한 설명으로 틀린 것은? 46 탭전환 변압기 1차측에 몇 개의 탭이 있는 이유는? 47 스테핑전동기의 스텝각이 3°이고, 스테핑주파수(pulse rate)가 1200pps이다. 이 스테핑전동기의 회전속도[rps]는? 48 직류기의 전기자 반작용의 영향이 아닌 것은?
49 유도전동기 역상제동의 상태를 크레인이나 권상기의 강하 시에 이용하고 속도제한의 목적에 사용되는 경우의 제동방법은? 50 단락비가 큰 동기기의 특징 중 옳은 것은? 51 전류가 불연속인 경우 전원전압 220V인 단상 전파정류 회로에서 점호각 α=90°일 때의 직류 평균전압은 약 몇 V 인가? 52 변압기의 냉각방식 중 유입자냉식의 표시 기호는? 53 타여자 직류전동기의 속도제어에 사용되는 워드 레오나드(Ward Leonard) 방식은 다음 중 어느 제어법을 이용한 것인가? 54 단상변압기 2대를 사용하여 3150V의 평형 3상에서 210V의 평형 2상으로 변환하는 경우에 각 변압기의 1차 전압과 2차 전압은 얼마인가? 55 3상 유도전동기의 속도제어법 중 2차 저항제어와 관계가 없는 것은? 56 직류발전기의 무부하 특성곡선은 다음 중 어느 관계를 표시한 것인가? 57 용량이 50kVA 변압기의 철손이 1kW 이고 전부하동손이 2kW이다. 이 변압기를 최대효율에서 사용하라면 부하를 약 몇 kVA 인가하여야 하는가? 58 농형 유도전동기 기동법에 대한 설명 중 틀린 것은? 59 3상 반작용 전동기(reaction motor)의 특성으로 가장 옳은 것은? 60 2대의 3상 동기발전기를 동일한 부하로 병렬운전하고 있을 때 대응하는 기전력사이에 60°의 위상차가 있다면 한 쪽 발전기에서 다른 쪽 발전기에 공급되는 1상당 전력은 약 몇 kW인가? (단, 각 발전기의 기전력(선간)은 3300V, 동기 리액턴스는 5Ω이고 전기자 저항은 무시한다.)
61 코일에 단상 100V의 전압을 가하면 30A의 전류가 흐르고 1.8kW의 전력을 소비한다고 한다. 이 코일과 병렬로 콘덴서를 접속하여 회로의 역률을 100%로 하기 위한 용량 리액턴스는 약 몇 Ω 인가? 62 그림과 같은 회로에서 저항 r1,r2에 흐르는 전류의 크기가 1:2의 비율이라면 r1,r2는 각각 몇 Ω 인가? 63 회로에서 스위치를 닫을 때 콘덴서의 초기전하를 무시하면 회로에 흐르는 전류 i(t)는 어떻게 되는가? 64 다음 그림과 같은 전기회로의 입력을 ei, 출력을 e0라고 할 때 전달함수는? 65 3대의 단상 변압기를 △결선으로 하여 운전하던 중 변압기 1대가 고장으로 제거하여 V결선으로 한 경우 공급할 수 있는 전력은 고장 전 전력의 몇 %인가? 66 3상 회로의 영상분, 정상분, 역상분을 각각 I0, I1, I2라 하고 선전류를 Ia, Ib, Ic라 할 때 Ib는? (단, 이다.) 67 전압의 순시값이 v=3+10√2sinwt[V] 일 때 실효값은 약 몇 V 인가? 68 시간지연 요인을 포함한 어떤 특정계가 다음 미분방정식 로 표현된다. x(t)를 입력, y(t)를 출력이라 할 때 이 계의 전달함수는? 69 다음과 같은 회로에서 단자 a, b 사이의 합성저항Ω은? 70 4단자 회로망이 가역적이기 위한 조건으로 틀린 것은? 71 그림과 같은 회로에서 유도성 리액턴스 XL의 값[Ω]은? 72 그림과 같은 단일 임피던스 회로의 4단자 정수는?
73 저항 3개를 Y로 접속하고 이것을 선간전압 200V의 평형 3상 교류 전원에 연결할 때 선전류가 20A 흘렀다. 이 3개의 저항을 △로 접속하고 동일전원에 연결하였을 때의 선전류는 몇 A 인가? 74 R=4000Ω, L=5H의 직렬회로에 직류전압 200V를 가할 때 급히 단자 사이의 스위치를 단락시킬 경우 이로부터 1/800초 후 회로의 전류는 몇 mA인가? 75 다음과 같은 파형을 푸리에 급수로 전개하면? 76 i1=Imsinwt[A]와 i2=Imcoswt[A]인 두 교류 전류의 위상차는 몇 도인가? 77 R-L 직렬회로에서 e=10+100√2sinwt+50√2sin(3wt+60°)+60√2sin(5wt+30°)[V] 인 전압을 가할 때 제 3고조파 전류의 실효값은 몇 A 인가? (단, R=8Ω, wL=2Ω 이다.) 78 대칭 n상 Y결선에서 선간전압의 크기는 상전압의 몇 배인가? 79 다음 함수 의 역라플라스 변환은? 80 그림과 같은 회로가 공진이 되기 위한 조건을 만족하는 어드미턴스는? 81 저압 절연전선을 사용한 220V 저압 가공전선이 안테나와 접근상태로 시설되는 경우 가공전선과 안테나 사이의 이격거리는 몇 ㎝ 이상이어야 하는가? (단, 전선이 고압 절연전선, 특고압 절연전선 또는 케이블인 경우는 제외한다.) 82 금속덕트에 넣은 전선의 단면적의 합계는 덕트의 내부 단면적의 몇 % 이하이어야 하는가? 83 지선을 사용하여 그 강도를 분담시키면 안 되는 가공전선로의 지지물은? 84 저압 가공인입선 시설 시 도로를 횡단하여 시설하는 경우 노면상 높이는 몇 m 이상으로 하여야 하는가?
85 60kV 이하의 특고압 가공전선과 식물과의 이격거리는 몇 m 이상이어야 하는가? 86 전기부식방지 시설에서 전원장치를 사용하는 경우로 옳은 것은? 87 400V 미만인 저압용 전동기 외함을 접지공사 할 경우 접지선의 공칭단면적은 몇 mm2 이상의 연동선이어야 하는가? 88 345kV 변전소의 충전 부분에서 5.98m 거리에 울타리를 설치할 경우 울타리 최소 높이는 몇 m 인가? 89 동기발전기를 사용하는 전력계통에 시설하여야 하는 장치는? 90 특고압 가공전선로의 지지물에 시설하는 통신선 또는 이에 직접 접속하는 통신선 중 옥내에 시설하는 부분은 몇 V 이상의 저압 옥내배선의 규정에 준하여 시설하도록 하고 있는가? 91 제2종 특고압 보안공사 시 B종 철주를 지지물로 사용하는 경우 경간은 몇 m 이하인가? 92 전체의 길이가 18m이고, 설계하중이 6.8kN인 철근 콘크리트주를 지반이 튼튼한 곳에 시설하려고 한다. 기초 안전율을 고려하지 않기 위해서는 묻히는 깊이를 몇 m 이상으로 시설하여야 하는가? 93 변전소를 관리하는 기술원이 상주하는 장소에 경보장치를 시설하지 아니하여도 되는 것은? 94 케이블 트레이 공사에 대한 설명으로 틀린 것은? 95 의료장소의 수술실에서 전기설비의 시설에 대한 설명으로 틀린 것은? 96 전등 또는 방전등에 저압으로 전기를 공급하는 옥내의 전로의 대지전압은 몇 V 이하이어야 하는가?
App Store Google Play
오늘학습 예시 이미지

시험에 합격하려면
복습을 제대로 해야 합니다.

오늘학습은 스스로 기억을 떠올리고 계획적으로 복습할 수 있도록 설계돼 있어요.
그것도, 가장 과학적인 방식으로요!

능동적 회상

능동적 회상
(Active Recall)

배운 내용을 단순 읽으며 반복하는 것이 아니라,
능동적으로 기억하고 있는지를
스스로 테스트하며
공부할 수 있는
학습 환경을 제공해 학습 효과를 높여요

간격 반복 학습

간격 반복 학습
(Spaced Repetition)

에빙하우스 망각곡선을 바탕으로
가장 최적의 시점에 복습을 제공하여
배운 내용이 잊히지 않도록 장기 기억화해요

Data 기반의
뇌과학적 복습 시스템

학습 결과 Data를 분석해, 문제별 최적화된
반복 학습량을
자동으로 분배해요.
학습에 소요되는 시간을 최소화하는
동시에
단기 기억을 장기 기억으로 전환해줘요.

36만 개 이상의
기출문제 무료 제공

공무원 및 약 300여종의 자격증 시험 기출문제
36만개
이상을 무료로 이용할 수 있어요.
여러 앱을 설치할 필요
없이, 오늘학습 하나로
모든 시험을 준비할 수 있어요.

다양한 문제 유형으로 만드는
나만의 단어장&문제집

기출 외에도 외워야 하는 내용은
객관식, 주관식, 카드, 빈칸
등 다양한 형식으로
직접 만들어 보세요. 내 학습 스타일에
맞게
나만의 단어장과 문제집을 만들 수 있어요.

시험별 체계적인
문제 관리

시험에 문제를 추가해 체계적으로
관리할 수 있어요.
주제나 단원별로
분류하고 싶다면,
시험에 챕터를 만들어
문제를 추가할 수도 있어요.

수십만 명이
오늘학습을 사랑합니다

앱 스토어 평점 4.9
구글 플레이 평점 4.8
누적 회원수 100,000+
지금 오늘학습을
시작해보세요
지금 시작하기
문제 선택