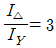
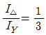
전원에 저항이 각각 R(Ω)인 저항을 △결선으로 접속시킬 때와 Y결선으로 접속시킬 때, 선전류의 비는?
지금 시작하기 →

・・・ 문제은행 소방설비산업기사(전기)(2018년 2회) 30번

소방설비산업기사(전기) 2018년 04월 30번

전원에 저항이 각각 R(Ω)인 저항을 △결선으로 접속시킬 때와 Y결선으로 접속시킬 때, 선전류의 비는?

1
2
3
4
단축키
이전 문제로 이동은 키를 누르고, 다음 문제로 이동은 키를 누르세요
이전 문제 , 다음 문제
문제(80)
37 정현파 교류가 공급되는 RLC 직렬회로에서 용량성 회로가 되는 경우는? 38 R-L-C 병렬회로가 병렬 공진 되었을 때 합성 전류는? 39 전압 v=5sin5t+10sin10t (V)이고, 전류 i=10sin5t+5sin10t (A)일 때 소비전력은 몇 W 인가? 40 전압계의 측정 범위를 10배로 하면 내부저항은 배율기 저항의 몇 배가 되는가? 41 소방기본법령상 특수가연물의 저장 기준 중 다음 ( )안에 알맞은 것은? (단, 석탄 ㆍ 목탄류를 발전용으로 저장하는 경우는 제외한다.) 42 화재예방, 소방시설 설치 ㆍ 유지 및 안전관리에 관한 법령상 특정소방대상물의 관계인이 특정소방대상물의 규모 ㆍ 용도 및 수용인원 등을 고려하여 갖추어야 하는 소방시설의 종류 기준 중 다음 ( )안에 알맞은 것은? 43 소방기본법령상 소방본부장 또는 소방서장은 화재경계지구 안의 관계인에 대하여 소방상 필요한 훈련 및 교육을 실시하고자 하는 때에는 관계인에게 훈련 또는 교육 며칠전까지 그 사실을 통보하여야 하는가? 44 소방기본법령상 소방용수시설 및 지리조사의 기준 중 다음 ( ) 안에 알맞은 것은? 45 소방기본법령상 인접하고 있는 시ㆍ도간 소방업무의 상호응원협정을 체결하고자 하는 때에 포함되도록 하여야 하는 사항이 아닌 것은? 46 위험물안전관리법령상 제조소 또는 일반 취급소의 위험물취급탱크 노즐 또는 맨홀을 신설 시 노즐 또는 맨홀의 직경이 몇 mm를 초과하는 경우에 변경허가를 받아야 하는가? 47 화재예방, 소방시설 설치ㆍ유지 및 안전관리에 관한 법령상 소방시설등의 자체점검 시 점검인력 배치기준 중 점검인력 1단위가 하루동안 점검할 수 있는 특정소방대상물의 종합정밀점검 연면적 기준으로 옳은 것은? (단, 보조인력을 추가하는 경우를 제외힌다.) 48 화재예방 소방시설 설치, 유지 및 안전관리에 관한 법령상 단독경보형 감지기를 설치하여야 하는 특정소방대상물의 기준 중 틀린 것은?
49 화재예방, 소방시설 설치ㆍ유지 및 안전관리에 관한 법령상 방염성능기준 이상의 실내장식물 등을 설치하여야 하는 특정소방대상물의 기준으로 틀린 것은? 50 화재예방, 소방시설 설치ㆍ유지 및 안전관리에 관한 법령상 수용인원 산정 방법 중 다음의 청소년시설의 수용인원은 몇 명인가? 51 위험물안전관리법령상 인화성액체위험물(이황화탄소를 제외)의 옥외탱크저장소의 탱크 주위에 설치하여야 하는 방유제의 기준 중 틀린 것은? 52 화재예방강화지구 안의 소방대상물에 대한 화재안전조사를 거부ㆍ방해 또는 기피한 자에 대한 벌칙 기준으로 옳은 것은?(2021년 11월 30일 개정된 규정 적용됨) 53 소방기본법상 명령권자가 소방본부장, 소방서장, 소방대장에게 있는 사항은? 54 화재예방, 소방시설 설치ㆍ유지 및 안전관리에 관한 법령상 근무자 및 거주자에게 소방훈련ㆍ교육을 실시하여야 하는 특정소방대상물의 기준 중 다음 ( ) 안에 알맞은 것은? 55 화재예방, 소방시설 설치ㆍ유지 및 안전관리에 관한 법령상 둘 이상의 특정소방대상물이 내화구조로 된 연결통로가 벽이 없는 구조로서 그 길이가 몇 m 이하인 경우 하나의 소방대상물로 보는가? 56 위험물안전관리법령상 제조소등이 아닌 장소에서 지정수량 이상의 위험물을 취급할 수 있는 기준 중 다음 ( ) 안에 알맞은 것은? 57 소방시설공사업법령상 감리원의 세부 배치 기준 중 일반 공사감리 대상인 경우 다음 ( ) 안에 알맞은 것은? (단, 일반 공사감리 대상인 아파트의 경우는 제외한다.) 58 소방시설공사업법상 제3자에게 소방시설공사시공을 하도급한 자에 대한 벌칙 기준으로 옳은 것은? (단, 대통령령으로 정하는 경우는 제외한다.) 59 위험물안전관리법상 허가를 받지 아니하고 당해 제조소등을 설치하거나 그 위치·구조 또는 설비를 변경할 수 있으며, 신고를 하지 아니하고 위험물의 품명·수량 또는 지정수량의 배수를 변경할 수 있는 기준으로 틀린 것은? 60 소방특별조사 결과 소방대상물의 위치·구조·설비 또는 관리의 상황이 화재나 재난·재해 예방을 위하여 보완될 필요가 있거나 화재가 발생하면 인명 또는 재산의 피해가 클 것으로 예상되는 때 관계인에게 그 소방대상물의 개수·이전·제거, 사용의 금지 또는 제한, 사용패쇄, 공사의 정지 또는 중지, 그 밖의 필요할 조치를 명할 수 있는 자가 아닌 것은?
61 누전경보기에 표시등을 사용하는 경우의 구조 및 기능 기준으로 옳은 것은? 62 비상방송설비를 설치하여야 하는 특정소방대상물의 기준 중 옳은 것은? (단, 위험물 저장 및 처리 시설 중 가스시설, 사람이 거주하지 않는 동물 및 식물 관련 시설, 지하가 중 터널, 축사 및 지하구는 제외한다.) 63 자동화재탐지설비의 경계구역 설정 기준 중 다음 ( )안에 알맞은 것은? 64 계단통로유도등의 조도시험 기준 중 다음 ( )안에 알맞은 것은? 65 자동화재탐지설비 수신기의 설치기준 중 다음 ( )안에 알맞은 것은? 66 무선통신보조설비를 설치하여야 하는 특정소방대상물의 기준 중 옳은 것은? (단, 위험물 저장 및 처리 시설 중 가스시설은 제외한다.) 67 유도등의 일반구조에 대한 기준 중 틀린 것은? 68 비상방송설비 음향장치의 설치기준 중 다음 ( )안에 알맞은 것은? 69 열전대식 차동식분포형 감지기의 설치기준 중 다음 ( )안에 알맞은 것은? (주요구조부가 내화구조로 된 특정소방대상물이 아닌 경우이다.) 70 유도표지의 설치기준 중 다음 ( )안에 알맞은 것은? 71 일시적으로 발생한 열·연기 또는 먼지 등으로 인하여 화재신호를 발신할 우려가 있는 장소의 설치장소별 감지기 적응성 기준 중 회의실, 노래연습실 등 장소에 적응성을 갖는 감지기가 아닌 것은? (단, 연기감지기를 설치할 수 있는 장소이며, 흡연에 의해 연기가 체류하며 환기가 되지 않는 환경상태이다.) 72 자동화재속보설비 속보기 기능에 대한 기준 중 옳은 것은?
App Store Google Play
오늘학습 예시 이미지

시험에 합격하려면
복습을 제대로 해야 합니다.

오늘학습은 스스로 기억을 떠올리고 계획적으로 복습할 수 있도록 설계돼 있어요.
그것도, 가장 과학적인 방식으로요!

능동적 회상

능동적 회상
(Active Recall)

배운 내용을 단순 읽으며 반복하는 것이 아니라,
능동적으로 기억하고 있는지를
스스로 테스트하며
공부할 수 있는
학습 환경을 제공해 학습 효과를 높여요

간격 반복 학습

간격 반복 학습
(Spaced Repetition)

에빙하우스 망각곡선을 바탕으로
가장 최적의 시점에 복습을 제공하여
배운 내용이 잊히지 않도록 장기 기억화해요

Data 기반의
뇌과학적 복습 시스템

학습 결과 Data를 분석해, 문제별 최적화된
반복 학습량을
자동으로 분배해요.
학습에 소요되는 시간을 최소화하는
동시에
단기 기억을 장기 기억으로 전환해줘요.

36만 개 이상의
기출문제 무료 제공

공무원 및 약 300여종의 자격증 시험 기출문제
36만개
이상을 무료로 이용할 수 있어요.
여러 앱을 설치할 필요
없이, 오늘학습 하나로
모든 시험을 준비할 수 있어요.

다양한 문제 유형으로 만드는
나만의 단어장&문제집

기출 외에도 외워야 하는 내용은
객관식, 주관식, 카드, 빈칸
등 다양한 형식으로
직접 만들어 보세요. 내 학습 스타일에
맞게
나만의 단어장과 문제집을 만들 수 있어요.

시험별 체계적인
문제 관리

시험에 문제를 추가해 체계적으로
관리할 수 있어요.
주제나 단원별로
분류하고 싶다면,
시험에 챕터를 만들어
문제를 추가할 수도 있어요.

수십만 명이
오늘학습을 사랑합니다

앱 스토어 평점 4.9
구글 플레이 평점 4.8
누적 회원수 100,000+
지금 오늘학습을
시작해보세요
지금 시작하기
문제 선택