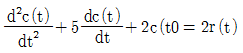
어떤 계를 표시하는 미분 방정식이 이다. 입력이 r(t)출력이c(t)라고하면 이 계의 전달함수 G(s)는?
지금 시작하기 →

・・・ 문제은행 소방설비산업기사(전기)(2017년 3회) 22번

소방설비산업기사(전기) 2017년 09월 22번

어떤 계를 표시하는 미분 방정식이 이다. 입력이 r(t)출력이c(t)라고하면 이 계의 전달함수 G(s)는?

1
2
3
4
단축키
이전 문제로 이동은 키를 누르고, 다음 문제로 이동은 키를 누르세요
이전 문제 , 다음 문제
문제(80)
37 액체식 압력계의 종류가 아닌 것은? 38 트랜지스터를 증폭작용에 이용할 때 베이스-이미터간의 바이어스 전압은? 39 실리콘 정류기 특징으로 틀린 것은? 40 전기식 조작 기기의 특징으로 틀린 것은? 41 위험물안전관리법령상 관계인이 예방규정을 정하여야 하는 위험물을 취급하는 제조소의 지정수량 기준으로 옳은 것은? 42 소방시설공사업법령상 하자보수 대상 소방시설과 하자보수 보증기간 중 옳은 것은? 43 화재예방, 소방시설 설치∙유지 및 안전관리에 관한 법령상 특정소방대상물에 설치되는 소방시설 중 소방본부장 또는 소방서장의 건축허가등의 동의대상에서 제외되는 것이 아닌 것은? (단, 설치되는 소방시설이 화제안전기준에 적합한 경우 그 특정소방대상물이다.) 44 소방기본법령상 동원된 소방력의 운용과 관련하여 필요한 사항을 정하는 자는? (단, 동원된 소방력의 소방활동 수행과정에서 발생하는 경비 및 동원된 민간 소방인력이 소방활동을 수행하다가 사망하거나 부상을 입은 경우의 사항은 제외한다.) 45 화재예방, 소방시설 설치∙유지 및 안전관리에 관한 법률상 주택의 소유자가 설치하여야 하는 소방시설의 설치대상으로 틀린 것은? 46 소방기본법상 타고 남은 불 또는 화기가 있을 우려가 있는 재의 처리 명령에 정당한 사유없이 따르지 아니하거나 이를 방해한 자에 대한 벌칙기준으로 옳은 것은? 47 소방기본법령상 소방용수시설을 주거 지역∙상업지역 및 공업지역에 설치하는 경우 소방대상물과의 수평거리는 몇 m 이하가 되도록 하여야 하는가? 48 위험물안전관리법령상 정기검사를 받아야 하는 특정옥외탱크저장소의 관계인은 특정옥외탱크저장소의 설치허가에 따른 완공검사필증을 발급받은 날부터 몇 년 이내에 정기검사를 받아야 하는가?
49 화재예방, 소방시설 설치∙유지 및 안전관리에 관한 법령상 특정소방대상물의 관계인이 소방안전관리자를 30일 이내에 선임하여야 하는 기준일 중 틀린 것은? 50 소방기본법령상 특수가연물의 저장 및 취급의 기준 중 맞는 것은? (단, 석탄∙목탄류를 발전용으로 저장하는 경우는 제외한다.) 51 특정소방대상물의 소방시설 설치의 면제기준 중 다음 ( ) 안에 알맞은 것은? 52 점포에서 위험물을 용기에 담아 판매하기 위하여 지정수량의 40배 이하의 위험물을 취급하는 장소의 취급소 구분으로 옳은 것은? (단, 위험물을 제조외의 목적으로 취급하기 위한 장소이다.) 53 소방용품의 형식승인을 받지 아니하고 소방용품을 제조하거나 수입한 자에 대한 벌칙 기준으로 옳은 것은? 54 화재예방, 소방시설 설치 유지 및 안전관리에 관한 법령상 임시소방시설을 설치하여야 하는 공사의 종류와 규모 기준 중 틀린 것은? 55 소방청장, 소방본부장 또는 소방서장은 소방특별조사를 하려면 관계인에게 조사대상, 조사기간 및 조사사유 등을 며칠 전에 서면으로 알려야 하는가? (단, 긴급하게 조사할 필요가 있는 경우와 사전에 통지하면 조사목적을 달성할 수 없다고 인정되는 경우는 제외한다.) 56 위험물안전관리법령상 다수의 제조소등을 설치한 자가 1인의 안전관리자를 중복하여 선임할 수 있는 경우 중 다음 ( ) 안에 알맞은 것은? 57 소방기본법령상 소방업무 상호 응원협정 체결 시 포함되도록 하여야 하는 사항이 아닌 것은? 58 소방시설공사업법령상 완공검사를 위한 현장 확인 대상 특정소방대상물의 범위 기준 중 틀린 것은?(관련 규정 개정전 문제로 여기서는 기존 정답인 4번을 누르면 정답 처리됩니다. 자세한 내용은 해설을 참고하세요.) 59 소방용수시설 및 지리조사레 대한 기준으로 다음 ( ) 안에 알맞은것은? 60 화재예방, 소방시설 설치∙유지 및 안전관리에 관한 법령상 소방특별조사의 항목이 아닌 것은?
App Store Google Play
오늘학습 예시 이미지

시험에 합격하려면
복습을 제대로 해야 합니다.

오늘학습은 스스로 기억을 떠올리고 계획적으로 복습할 수 있도록 설계돼 있어요.
그것도, 가장 과학적인 방식으로요!

능동적 회상

능동적 회상
(Active Recall)

배운 내용을 단순 읽으며 반복하는 것이 아니라,
능동적으로 기억하고 있는지를
스스로 테스트하며
공부할 수 있는
학습 환경을 제공해 학습 효과를 높여요

간격 반복 학습

간격 반복 학습
(Spaced Repetition)

에빙하우스 망각곡선을 바탕으로
가장 최적의 시점에 복습을 제공하여
배운 내용이 잊히지 않도록 장기 기억화해요

Data 기반의
뇌과학적 복습 시스템

학습 결과 Data를 분석해, 문제별 최적화된
반복 학습량을
자동으로 분배해요.
학습에 소요되는 시간을 최소화하는
동시에
단기 기억을 장기 기억으로 전환해줘요.

36만 개 이상의
기출문제 무료 제공

공무원 및 약 300여종의 자격증 시험 기출문제
36만개
이상을 무료로 이용할 수 있어요.
여러 앱을 설치할 필요
없이, 오늘학습 하나로
모든 시험을 준비할 수 있어요.

다양한 문제 유형으로 만드는
나만의 단어장&문제집

기출 외에도 외워야 하는 내용은
객관식, 주관식, 카드, 빈칸
등 다양한 형식으로
직접 만들어 보세요. 내 학습 스타일에
맞게
나만의 단어장과 문제집을 만들 수 있어요.

시험별 체계적인
문제 관리

시험에 문제를 추가해 체계적으로
관리할 수 있어요.
주제나 단원별로
분류하고 싶다면,
시험에 챕터를 만들어
문제를 추가할 수도 있어요.

수십만 명이
오늘학습을 사랑합니다

앱 스토어 평점 4.9
구글 플레이 평점 4.8
누적 회원수 100,000+
지금 오늘학습을
시작해보세요
지금 시작하기
문제 선택