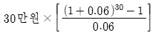
A는 향후 30년간 매월 말 30만원의 연금을 받을 예정이다. 시중 금리가 연 6% 일 때 , 이 연금의 현재가치를 구하는 식으로 옳은 것은? (단, 주어진 조건에 한함)

기출문제

지금 시작하기 →

・・・ 문제은행 감정평가사 1차 1교시(2022년) 102번

감정평가사 1차 1교시 2022년 04월 102번

A는 향후 30년간 매월 말 30만원의 연금을 받을 예정이다. 시중 금리가 연 6% 일 때 , 이 연금의 현재가치를 구하는 식으로 옳은 것은? (단, 주어진 조건에 한함)

1
2
3
4
5
단축키
이전 문제로 이동은 키를 누르고, 다음 문제로 이동은 키를 누르세요
이전 문제 , 다음 문제
문제(120)
13 상대방 있는 의사표시의 효력발생에 관한 설명으로 옳은 것은? (다툼이 있으면 판례에 따름) 14 복대리에 관한 설명으로 옳지 않은 것은? (다툼이 있으면 판례에 따름) 15 甲으로부터 대리권을 수여받지 않은 甲의 처(妻) 乙은, 자신의 오빠 A가 丙에게 부담하는 고가의 외제자동차 할부대금채무에 대하여 甲의 대리인이라고 하면서 甲을 연대보증인으로 하는 계약을 丙과 체결하였다. 이에 관한 설명으로 옳은 것은? (다툼이 있으면 판례에 따름) 16 법률행위의 무효에 관한 설명으로 옳지 않은 것은? (다툼이 있으면 판례에 따름) 17 법률행위의 취소에 관한 설명으로 옳지 않은 것은? (다툼이 있으면 판례에 따름) 18 법률행위의 조건에 관한 설명으로 옳지 않은 것은? 19 소멸시효의 기산점이 옳게 연결되지 않은 것은? (다툼이 있으면 판례에 따름) 20 소멸시효의 중단과 정지에 관한 설명으로 옳지 않은 것은? 21 부동산등기에 관한 설명으로 옳지 않은 것은? (다툼이 있으면 판례에 따름) 22 물권적 청구권에 관한 설명으로 옳지 않은 것은? (다툼이 있으면 판례에 따름) 23 甲이 20년간 소유의 의사로 평온, 공연하게 乙소유의 X토지를 점유한 경우에 관한 설명으로 옳은 것을 모두 고른 것은? (다툼이 있으면 판례에 따름) 24 첨부에 관한 설명으로 옳지 않은 것은? (다툼이 있으면 판례에 따름)
37 민법 제365조의 일괄경매청구권에 관한 설명으로 옳은 것을 모두 고른 것은? (다툼이 있으면 판례에 따름) 38 민법 제366조의 법정지상권에 관한 설명으로 옳은 것을 모두 고른 것은? (다툼이 있으면 판례에 따름) 39 근저당권에 관한 설명으로 옳지 않은 것은? (다툼이 있으면 판례에 따름) 40 저당권에 관한 설명으로 옳지 않은 것은? (다툼이 있으면 판례에 따름) 41 재화 X의 시장수요곡선(D)과 시장공급곡선(S)이 아래 그림과 같을 때, 균형가격(P*)과 균형거래량(Q*)은? (단, 시장수요곡선과 시장공급곡선은 선형이며, 시장공급곡선은 수평이다.) 42 기업 A의 생산함수는 Q=min{L, 2K}이다. 노동가격은 3이고, 자본가격은 5 일 때, 최소 비용으로 110을 생산하기 위한 생산요소 묶음은? (단, Q는 생산량, L은 노동, K는 자본이다.) 43 ( )에 들 어갈 내용으로 옳은 것은? 44 기업 A의 생산함수는 Q = √L 이며, 생산물의 가격은 5, 임금률은 0.5이다. 이윤을 극대화하는 노동투입량(L*)과 산출량(Q*)은? (단, Q는 산출량, L은 노동투입량이며, 생산물시장과 노동시장은 완전경쟁시장이다.) 45 ( )에 들어갈 내용으로 옳지 않은 것은? (단, 수요곡선은 우하향, 공급곡선은 우상향한다.) 46 완전경쟁시장에서 이윤극대화를 추구하는 기업 A의 한계비용(MC), 평균총비용(AC), 평균가변비용(AVC)은 아래 그림과 같다. 시장가격이 P1, P2, P3, P4, P5로 주어질 때, 이에 관한 설명으로 옳지 않은 것은? 47 기술혁신으로 노동의 한계생산이 증가한다면, ( ㄱ )균형 노동량의 변화와 ( ㄴ )균형임금률의 변화는? (단, 생산물시장과 노동시장은 완전경쟁적이며, 노동공급곡선은 우상향, 노동수요곡선은 우하향하고 있다.) 48 시장 구조를 비교하여 요약·정리한 표이다. ( ㄱ ) ~ ( ㅁ ) 중 옳지 않은 것은? (단, MR은 한계수입, MC는 한계비용, P는 가격이다.)
49 ( )에 들어갈 내용으로 옳은 것은? 50 단일 가격을 부과하던 독점기업이 제1급(first-degree) 가격차별 또는 완전(perfect) 가격차별을 실행하는 경우에 나타나는 변화로 옳은 것을 모두 고른 것은? 51 소비자 갑의 효용함수는 U=3X2+Y2 이며 X재 가격은 6, Y재 가격은 2, 소득은 120이다. 효용을 극대화하는 갑의 최적소비조합(X, Y)은? 52 ( )에 들어갈 내용으로 옳은 것은? (단, P는 가격, Q는 수요량이다.) 53 X재 가격이 하락할 때 아래의 설명 중 옳은 것을 모두 고른 것은? (단, X재와 Y재만 존재하며 주어진 소득을 두 재화에 모두 소비한다.) 54 두 재화 X, Y를 소비하는 갑의 효용함수가 U(X, Y) = X0.3Y0.7이다. 이에 관한 설명으로 옳지 않은 것은? 55 두 재화 X재와 Y재를 소비하는 갑은 가격이 (PX, PY) = (1, 4) 일 때 소비조합 (X, Y) = (6, 3), 가격 이 (PX, PY) = (2, 3)으로 변화했을 때 소비조합 (X, Y) = (7, 2), 그리고 가격이 (PX, PY) = (4, 2) 으로 변화했을 때 소비조합 (X, Y) = (6, 4)을 선택하였다. 이에 관한 설명으로 옳은 것을 모두 고른 것은? 56 두 재화 X와 Y만을 소비하는 두 명의 소비자 갑과 을이 존재하는 순수교환경제에서 갑의 효용함수는 U갑(X갑, Y갑) = min{X갑, Y갑}, 을의 효용함수는 U을(X을, Y을) = X을 × Y을 이다. 갑과 을의 초기 부존자원(X, Y)이 각각 (30, 60), (60, 30)이고 X재의 가격이 1이다. 일반균형(general equilibrium)에서 Y재의 가격은? 57 꾸르노(Cournot) 복점모형에서 시장수요곡선이 이고 두 기업 A, B의 비용함수가 각각 CA = 40QA + 10, CB = 20QB + 50 일 때, 꾸르노 균형에서 총생산량(Q*)과 가격(P*)은? (단, Q는 총생산량, P는 가격, QA는 기업 A의 생산량, QB는 기업 B의 생산량이다.) 58 A국에서는 교역 이전 X재의 국내가격이 국제가격보다 더 높다. 교역 이후 국제가격으로 A국이 X재의 초과수요분을 수입한다면, 이로 인해 A국에 나타나는 효과로 옳은 것은? (단, 공급곡선은 우상향, 수요곡선은 우하향한다.) 59 노동시장이 수요독점일 때 이에 관한 설명으로 옳은 것을 모두 고른 것은? (단, 생산물 시장은 완전경쟁시장이며, 노동수요곡선은 우하향, 노동공급곡선은 우상향한다.) 60 독점기업이 공급하는 X재의 시장수요곡선은 Q = 200 – P이고, 기업의 사적 비용함수는 C = Q2 + 20Q + 10이고, 환경오염에 의한 추가적 비용을 포함한 사회적 비용함수는 SC = 2Q2 + 20Q + 20이다. 이 경우 사회적으로 바람직한 최적생산량은? (단, Q는 생산량, P는 시장가격이다.)
61 개방경제하에서 국민소득의 구성 항목이 아래와 같을 때 경상수지는? (단, C는 소비, I는 투자, G는 정부지출, T는 조세, SP는 민간저축이다.) 62 물가지수에 관한 설명으로 옳은 것을 모두 고른 것은? 63 A국의 생산가능인구는 100만명, 경제활동인구는 60만명, 실업자는 6만 명이다. 실망실업자(구직단념자)에 속했던 10만 명이 구직활동을 재개하여, 그 중 9만 명이 일자리를 구했다. 그 결과 실업률과 고용률은 각각 얼마인가? 64 A국의 단기 필립스 곡선이 아래와 같을 때 이에 관한 설명으로 옳지 않은 것은? (단, π, πe, u, un은 각각 인플레이션율, 기대 인플레이션율, 실업률, 자연 실업률이다.) 65 A국 중앙은행은 아래의 테일러 규칙(Taylor rule)에 따라 명목정책금리를 조정한다. 이에 관한 설명으로 옳지 않은 것은? {단, 총생산 캡 = (실질GDP – 완전고용실질GDP) / 완전고용 실질GDP 이다.} 66 아래의 개방경제 균형국민소득 결정모형에서 수출이 100만큼 늘어나는 경우 ( ㄱ )균형소득의 변화분과 ( ㄴ )경상수지의 변화분은? (단, C는 소비, Y는 국민소득, T는 세금, I는 투자, G는 정부지출, X는 수출, M은 수입이며, 수출 증가 이전의 경제상태는 균형이다.) 67 폐쇄경제 IS-LM과 AD-AS의 동시균형 모형에서 투자를 증가시키되 물가는 원래 수준으로 유지시킬 가능성이 있는 것은? (단, IS곡선은 우하향, LM곡선은 우상향, AD곡선은 우하향, AS곡선은 우상향한다.) 68 투자가 실질 이자율에 의해 결정되는 폐쇄경제 IS-LM 모형에서 기대 인플레이션이 상승할 때 나타나는 결과로 옳은 것은? (단, IS 곡선은 우하향, LM곡선은 우상향한다.) 69 폐쇄경제 IS-LM 모형에서 재정정책과 통화정책이 생산량에 미치는 효과의 크기에 관한 설명으로 옳은 것을 모두 고른 것은? (단, IS는 우하향, LM은 우상향하는 직선이다.) 70 자본이동이 완전한 소규모 개방경제의 먼텔-플레밍(Mundell-Fleming)모형에서 변동환율제도인 경우, 긴축 통화정책을 시행할 때 나타나는 경제적 효과를 모두 고른 것은? (단, 물가수준은 고정이다.) 71 연구 증가와 기술진보가 없는 솔로우(Solow) 경제성장모형에서 1인당 생산함수는 y = 5k0.4, 자본의 감가상각률은 0.2일 때, 황금률 (Golden rule)을 달성하게 하는 저축률은? (단, y는 1인당 생산량, k는 1인당 자본량이다.) 72 경기변동이론에 관한 설명으로 옳은 것은?
73 경제성장모형인 Y=AK 모형에서 A는 0.5이고 저축률은 s, 감가상각률은 δ일 때 이에 관한 설명으로 옳은 것은? (단, Y는 생산량, K는 자본량, 0<s<1, 0<δ<1 이다.) 74 소비이론에 관한 설명으로 옳은 것은? 75 토빈 q(Tobin's q)에 관한 설명으로 옳지 않은 것은? 76 아래의 폐쇄경제 IS-LM 모형에서 도출된 총수요곡선으로 옳은 것은? (단, r은 이자율, Y는 국민소득, Md는 명목화폐수요량, P는 물가수준, MS는 명목화폐공급량이고, Y>20 이다.) 77 경제활동인구가 6,000만 명으로 불변인 A국에서 매가 취업자 중 직업을 잃는 비율인 실직률이 0.05이고, 매기 실업자 중 새로이 작업을 얻는 비율인 구직률이 0.2 이다. 균제상태(steady-state)에서의 실업자의 수는? 78 ( )에 들어갈 내용으로 옳은 것은? (단, 전염병이 발생하기 전의 경제는 균형상태이고, 총공급곡선은 우상향하고 총수요곡선은 우하향한다.) 79 갑국의 생산함수는 Y = AL0.6K0.4이다. 총요소생산성 증가율은 5% 이고, 노동량과 자본량 증가율은 각각 -2%와 5% 일 경우, 성장회계에 따른 노동량 1단위당 생산량 증가율은? (단, Y는 총생산량, A는 총요소생산성, L은 노동량, K는 자본량이다.) 80 아래의 IS-LM 모형에서 균형민간저축(private saving)은? (단, C는 소비, Y는 국민소득, T는 조세, I는 투자, r은 이자율, G는 정부지출, MS는 명목화폐공급량, P는 물가수준, Md는 명목화폐수요량이다.) 81 토지에 관한 설명으로 옳지 않은 것은? 82 부동산활동에 관련된 설명으로 옳은 것을 모두 고른 것은? 83 토지의 특성에 관한 설명이다. ( )에 들어갈 내용으로 옳게 연결된 것은? 84 부동산의 특성에 관한 설명으로 옳은 것의 개수는?
109 부동산 중개계약에 관한 설명으로 옳지 않은 것은? 110 공인중개사법령상 개업공인중개사가 주택을 중개하는 경우 확인·설명해야 할 사항이 아닌 것은?(문제 오류로 확정답안 발표시 모두 정답처리 되었습니다. 여기서는 1번을 누르면 정답 처리 됩니다.) 111 A지역 주택시장의 시장수요함수는 QD = -2P+ 2,400 이고 시장공급함수는 QS = 3P - 1,200 이다. 정부가 부동산거래세를 공급측면에 단위당 세액 20만원의 종량세 형태로 부과하는 경우에 A지역 주택시장의 경제적 순손실은? (단, QD: 수요량, QS: 공급량, P: 가격, 단위는 만호, 만원이며, 다른 조건은 동일함) 112 다음 설명에 모두 해당하는 부동산조세는? 113 부동산 권리분석에 관한 설명으로 옳지 않은 것은? 114 부동산 권리분석 시 등기능력이 없는 것으로 묶인 것은? 115 감정평가에 관한 규칙상 원가방식에 관한 설명으로 옳지 않은 것은? 116 할인현금흐름분석법에 의한 수익가액은? (단, 주어진 자료에 한함, 모든 현금흐름은 연말에 발생함) 117 수익환원법에 관한 설명으로 옳지 않은 것은? 118 감정평가사 A는 B토지의 감정평가를 의뢰받고 인근지역 나지 거래사례인 C토지를 활용해 2억원으로 평가했다. A가 C토지 거래금액에 대해 판단한 사항은? (단, 주어진 자료에 한함) 119 감정평가에 관한 규칙에서 규정하고 있는 내용으로 옳지 않은 것은? 120 수익환원법(직접환원볍)에 의한 대상부동산의 가액이 8억원얼 때, 건물의 연간 감가율(회수율)은? (단, 주어진 자료에 한함)
App Store Google Play
오늘학습 예시 이미지

시험에 합격하려면
복습을 제대로 해야 합니다.

오늘학습은 스스로 기억을 떠올리고 계획적으로 복습할 수 있도록 설계돼 있어요.
그것도, 가장 과학적인 방식으로요!

능동적 회상

능동적 회상
(Active Recall)

배운 내용을 단순 읽으며 반복하는 것이 아니라,
능동적으로 기억하고 있는지를
스스로 테스트하며
공부할 수 있는
학습 환경을 제공해 학습 효과를 높여요

간격 반복 학습

간격 반복 학습
(Spaced Repetition)

에빙하우스 망각곡선을 바탕으로
가장 최적의 시점에 복습을 제공하여
배운 내용이 잊히지 않도록 장기 기억화해요

Data 기반의
뇌과학적 복습 시스템

학습 결과 Data를 분석해, 문제별 최적화된
반복 학습량을
자동으로 분배해요.
학습에 소요되는 시간을 최소화하는
동시에
단기 기억을 장기 기억으로 전환해줘요.

36만 개 이상의
기출문제 무료 제공

공무원 및 약 300여종의 자격증 시험 기출문제
36만개
이상을 무료로 이용할 수 있어요.
여러 앱을 설치할 필요
없이, 오늘학습 하나로
모든 시험을 준비할 수 있어요.

다양한 문제 유형으로 만드는
나만의 단어장&문제집

기출 외에도 외워야 하는 내용은
객관식, 주관식, 카드, 빈칸
등 다양한 형식으로
직접 만들어 보세요. 내 학습 스타일에
맞게
나만의 단어장과 문제집을 만들 수 있어요.

시험별 체계적인
문제 관리

시험에 문제를 추가해 체계적으로
관리할 수 있어요.
주제나 단원별로
분류하고 싶다면,
시험에 챕터를 만들어
문제를 추가할 수도 있어요.

수십만 명이
오늘학습을 사랑합니다

앱 스토어 평점 4.9
구글 플레이 평점 4.8
누적 회원수 100,000+
지금 오늘학습을
시작해보세요
지금 시작하기
문제 선택