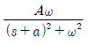
감쇄지수 함수 Ae-atsinωt의 라플라스 변환을 옳게 나타내는 것은?
지금 시작하기 →

・・・ 문제은행 전자산업기사(2018년 1회) 38번

전자산업기사 2018년 03월 38번

감쇄지수 함수 Ae-atsinωt의 라플라스 변환을 옳게 나타내는 것은?

1
2
3
4
단축키
이전 문제로 이동은 키를 누르고, 다음 문제로 이동은 키를 누르세요
이전 문제 , 다음 문제
문제(80)
25 자유공간을 통과하는 전자파의 전파속도 v는? (단, εo: 자유공간의 유전율, μo: 자유공간의 투자율이다.) 26 환상철심에 권수 20회의 A코일과 권수 80회의 B코일이 있을 때 A코일의 자기 인덕턴스가 5mH라면 두 코일의 상호 인덕턴스는 몇 mH인가? 27 권수가 200회이고, 자기 인덕턴스가 20mH인 코일에 2A의 전류를 흘릴 때 자속은 몇 Wb인가? (단, 누설자속은 없는 것으로 한다.) 28 공기 중에서 반지름 a(m)의 도체구에 Q(C)의 전하를 주었을 때 전위가 V(V)로 되었다. 이 도체구가 갖는 에너지(J)은? 29 길이 20cm, 단면의 반지름 10cm인 원통이 길이의 방향으로 균일하게 자화되어 자화의 세기가 200Wb/m2인 경우, 원통 양 단자에서의 전 자극의 세기는 몇 Wb 인가? 30 주파수가 1MHz인 전자파의 파장은 공기 중에서 몇 m 인가? 31 e=200√2 sin wt+100√2sin wt[V]인 전압을 RL 직렬회로에 가할 때 제 3고조파 전류의 실효값은 몇 A 인가? (단, R=8Ω, ωL=2Ω이다.) 32 RLC 직렬 회로에서 저항의 값이 어떤 조건을 가질 때 진동하는가? (단, t=0인 순간에 스위치를 닫아 정현파 교류기전력 e=Emsin(ωt+θ)를 인가한 경우라 가정한다.) 33 다음 필터에 관한 설명 중 틀린 것은? 34 다음 파형을 단위계단 함수로 표시할 때 S(t) 는? 35 인덕턴스 L1=L2=10mH이고, 상호 인덕턴스 M이 5mH일 때 결합계수(k)는? 36 그림과 같은 회로망 그래프에서 컷 세트(cut-set)를 나타내는 것은?
App Store Google Play
오늘학습 예시 이미지

시험에 합격하려면
복습을 제대로 해야 합니다.

오늘학습은 스스로 기억을 떠올리고 계획적으로 복습할 수 있도록 설계돼 있어요.
그것도, 가장 과학적인 방식으로요!

능동적 회상

능동적 회상
(Active Recall)

배운 내용을 단순 읽으며 반복하는 것이 아니라,
능동적으로 기억하고 있는지를
스스로 테스트하며
공부할 수 있는
학습 환경을 제공해 학습 효과를 높여요

간격 반복 학습

간격 반복 학습
(Spaced Repetition)

에빙하우스 망각곡선을 바탕으로
가장 최적의 시점에 복습을 제공하여
배운 내용이 잊히지 않도록 장기 기억화해요

Data 기반의
뇌과학적 복습 시스템

학습 결과 Data를 분석해, 문제별 최적화된
반복 학습량을
자동으로 분배해요.
학습에 소요되는 시간을 최소화하는
동시에
단기 기억을 장기 기억으로 전환해줘요.

36만 개 이상의
기출문제 무료 제공

공무원 및 약 300여종의 자격증 시험 기출문제
36만개
이상을 무료로 이용할 수 있어요.
여러 앱을 설치할 필요
없이, 오늘학습 하나로
모든 시험을 준비할 수 있어요.

다양한 문제 유형으로 만드는
나만의 단어장&문제집

기출 외에도 외워야 하는 내용은
객관식, 주관식, 카드, 빈칸
등 다양한 형식으로
직접 만들어 보세요. 내 학습 스타일에
맞게
나만의 단어장과 문제집을 만들 수 있어요.

시험별 체계적인
문제 관리

시험에 문제를 추가해 체계적으로
관리할 수 있어요.
주제나 단원별로
분류하고 싶다면,
시험에 챕터를 만들어
문제를 추가할 수도 있어요.

수십만 명이
오늘학습을 사랑합니다

앱 스토어 평점 4.9
구글 플레이 평점 4.8
누적 회원수 100,000+
지금 오늘학습을
시작해보세요
지금 시작하기
문제 선택