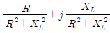
저항 R과 유도리액턴스 XL의 직렬회로에서 서셉턴스 B를 표현한 것으로 옳은 것은?
지금 시작하기 →

・・・ 문제은행 전자산업기사(2016년 2회) 39번

전자산업기사 2016년 05월 39번

저항 R과 유도리액턴스 XL의 직렬회로에서 서셉턴스 B를 표현한 것으로 옳은 것은?

1
2
3
4
단축키
이전 문제로 이동은 키를 누르고, 다음 문제로 이동은 키를 누르세요
이전 문제 , 다음 문제
문제(80)
13 주파수 대역폭을 넓히기 위한 방법으로 적합하지 않은 것은? 14 정류기의 직류 출력전압이 전부하일 때 200(V), 무부하인 경우 225(V)이라면 전압변동률은 몇 % 인가? 15 이상적인 구형파 입력 파형에 대한 출력 파형의 응답 시에 진폭과 시간 관계가 그림과 같을 때 하강 시간(fall time)은 몇 μs 인가? (단, 수치의 모든 단위는 μs 이다.) 16 TV 수상기나 레이더 등과 같이 광대역 증폭을 요구하는 회로에 응용되는 증폭기는? 17 트랜지스터의 콜렉터 손실이 최대 정격 150(W)인 두 개의 트랜지스터를 B급 푸시풀(push-pull)로 동작하려할 때, 콜렉터 손실의 최대 정격이 허용하는 범위에서의 최대 출력은 약 몇 W 인가? 18 전압 직렬귀환 증폭 회로의 입력 및 출력 저항은 귀환이 없을 때와 비교하면 어떻게 변화하는가? 19 다음 회로에서 전압이득 은? 단 20 다음 같은 증폭기에 관한 설명으로 틀린 것은? 21 벡터에 대한 계산식에서 틀린 것은? 22 20×10-6(C)의 양전하와 -8×10-8 (C)의 음전하를 갖는 대전체가 유전율 2.5의 기름 속에서 5[cm] 거리에 있을 때 이 사이에 작용하는 힘(N)은? 23 길이 l(m)의 도체로 원형코일을 만들어 일정 전류를 흘릴 때 M회 감았을 때의 중심 자계는 N회 감았을 때의 중심 자계의 몇 배인가? 24 비투자율이 μs이고 감자율이 N인 자성체를 외부 자계 H 중에 놓았을 때 자성체의 자화의 세기는 몇 Wb/m2 인가?
App Store Google Play
오늘학습 예시 이미지

시험에 합격하려면
복습을 제대로 해야 합니다.

오늘학습은 스스로 기억을 떠올리고 계획적으로 복습할 수 있도록 설계돼 있어요.
그것도, 가장 과학적인 방식으로요!

능동적 회상

능동적 회상
(Active Recall)

배운 내용을 단순 읽으며 반복하는 것이 아니라,
능동적으로 기억하고 있는지를
스스로 테스트하며
공부할 수 있는
학습 환경을 제공해 학습 효과를 높여요

간격 반복 학습

간격 반복 학습
(Spaced Repetition)

에빙하우스 망각곡선을 바탕으로
가장 최적의 시점에 복습을 제공하여
배운 내용이 잊히지 않도록 장기 기억화해요

Data 기반의
뇌과학적 복습 시스템

학습 결과 Data를 분석해, 문제별 최적화된
반복 학습량을
자동으로 분배해요.
학습에 소요되는 시간을 최소화하는
동시에
단기 기억을 장기 기억으로 전환해줘요.

36만 개 이상의
기출문제 무료 제공

공무원 및 약 300여종의 자격증 시험 기출문제
36만개
이상을 무료로 이용할 수 있어요.
여러 앱을 설치할 필요
없이, 오늘학습 하나로
모든 시험을 준비할 수 있어요.

다양한 문제 유형으로 만드는
나만의 단어장&문제집

기출 외에도 외워야 하는 내용은
객관식, 주관식, 카드, 빈칸
등 다양한 형식으로
직접 만들어 보세요. 내 학습 스타일에
맞게
나만의 단어장과 문제집을 만들 수 있어요.

시험별 체계적인
문제 관리

시험에 문제를 추가해 체계적으로
관리할 수 있어요.
주제나 단원별로
분류하고 싶다면,
시험에 챕터를 만들어
문제를 추가할 수도 있어요.

수십만 명이
오늘학습을 사랑합니다

앱 스토어 평점 4.9
구글 플레이 평점 4.8
누적 회원수 100,000+
지금 오늘학습을
시작해보세요
지금 시작하기
문제 선택