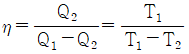
카르노 사이클에서 열효율과 열량, 온도와의 관계가 옳은 것은? (단, Q1>Q2, T1>T2)
지금 시작하기 →

・・・ 문제은행 가스기사(2022년 2회) 21번

가스기사 2022년 04월 21번

카르노 사이클에서 열효율과 열량, 온도와의 관계가 옳은 것은? (단, Q1>Q2, T1>T2)

1
2
3
4
단축키
이전 문제로 이동은 키를 누르고, 다음 문제로 이동은 키를 누르세요
이전 문제 , 다음 문제
문제(100)
1 관로의 유동에서 여러 가지 손실수두를 나타낸 것으로 틀린 것은? (단, f : 마찰계수, d : 관의 지름, : 속도 수두, : 입구관 속도 수두, : 출구관 속도 수두, Rh : 수력반지름, L : 관의 길이, A : 관의 단면적, Cc : 단면적 축소계수이다.) 2 980cSt 의 동점도(kinematic viscosity)는 몇 m2/s 인가? 3 다음 중 실제유체와 이상유체에 모두 적용되는 것은? 4 진공압력이 0.10 kgf/cm2이고, 온도가 20℃ 인 기체가 계기압력 7kgf/cm2로 등온압축되었다. 이때 압축 전 체적(V1)에 대한 압축 후의 체적(V2)의 비는 얼마인가? (단, 대기압은 720mmHg 이다.) 5 안지름 100mm인 관속을 압력 5kgf/cm2, 온도 15℃인 공기가 2kg/s 로 흐를 때 평균 유속은? (단, 공기의 기체상수는 29.27 kgf·m/kg·K 이다.) 6 표면장력계수의 차원을 옳게 나타낸 것은? (단, M은 질량, L은 길이, T는 시간의 차원이다.) 7 초음속 흐름이 갑자기 아음속 흐름으로 변할 때 얇은 불연속 면의 충격파가 생긴다. 이 불연속 면에서의 변화로 옳은 것은? 8 비중이 0.887인 원유가 관의 단면적이 0.0022m2인 관에서 체적 유량이 10.0m3/h 일 때 관의 단위 면적당 질량유량(kg/m2·s)은? 9 온도 27℃의 이산화탄소 3kg이 체적 0.30m3의 용기에 가득 차 있을 때 용기 내의 압력(kgf/cm2)은? (단, 일반기체상수는 848 kgf·m/kmol·K 이고, 이산화탄소의 분자량은 44 이다.) 10 물이나 다른 액체를 넣은 타원형 용기를 회전하고 그 용적변화를 이용하여 기체를 수송하는 장치로 유독성 가스를 수송하는 데 적합한 것은? 11 내경이 0.0526m인 철관에 비압축성 유체가 9.085 m3/h 로 흐를 때의 평균유속은 약 몇 m/s 인가? (단, 유체의 밀도는 1200 kg/m3 이다.) 12 어떤 유체의 액면아래 10m인 지점의 계기압력이 2.16 kgf/cm2 일 때 이 액체의 비중량은 몇 kgf/m3 인가?
37 이상기체와 실제기체에 대한 설명으로 틀린 것은? 38 고체연료의 고정층을 만들고 공기를 통하여 연소시키는 방법은? 39 연소범위는 다음 중 무엇에 의해 주로 결정되는가? 40 부탄(C4H10) 2Sm3를 완전 연소시키기 위하여 약 몇 Sm3의 산소가 필요한가? 41 브롬화메틸 30톤(T=110℃), 펩탄 50톤(T=120℃), 시안화수소 20톤(T=100℃)이 저장되어있는 고압가스 특정제조시설의 안전구역 내 고압가스 설비의 연소열량은 약 몇 kcal 인가? (단, T는 상용온도를 말한다.) 42 왕복식 압축기에서 체적효율에 영향을 주는 요소로서 가장 거리가 먼 것은? 43 온도 T2 저온체에서 흡수한 열량을 q2, 온도 T1 인 고온체에서 버린 열량을 q1이라할 때 냉동기의 성능계수는? 44 액화석유가스충전사업자는 액화석유가스를 자동차에 고정된 용기에 충전하는 경우에 허용오차를 벗어나 정량을 미달되게 공급해서는 아니 된다. 이 때, 허용오차의 기준은? 45 매몰 용접형 가스용 볼밸브 중 퍼지관을 부착하지 아니한 구조의 볼밸브는? 46 아세틸렌 제조설비에서 제조공정 순서로서 옳은 것은? 47 차량에 고정된 탱크의 저장능력을 구하는 식은? (단, V : 내용적, P : 최고 충전압력, C : 가스종류에 따른 정수, d : 상용온도에서의 액비중이다.) 48 수소를 공업적으로 제조하는 방법이 아닌 것은?
73 고압가스 저장시설에서 사업소 밖의 지역에 고압의 독성가스 배관을 노출하여 설치하는 경우 학교와 안전 확보를 위하여 필요한 유지거리의 기준은? 74 납붙임 용기 또는 접합 용기에 고압가스를 충전하여 차량에 적재할 때에는 용기의 이탈을 막을 수 있도록 어떠한 조치를 취하여야 하는가? 75 액화석유가스 용기용 밸브의 기밀시험에 사용되는 기체로서 가장 부적당한 것은? 76 내용적이 50L인 아세틸렌 용기의 다공도가 75% 이상, 80% 미만일 때 디메틸포름아미드의 최대 충전량은? 77 액화석유가스 저장탱크를 지상에 설치하는 경우 저장능력이 몇 톤 이상일 때 방류둑을 설치해야 하는가? 78 고압가스 제조시설에서 초고압이란? 79 고압가스 충전시설에서 2개 이상의 저장탱크에 설치하는 집합 방류둑의 용량이 보기와 같을 때 칸막이로 분리된 방류둑의 용량(m3)은? 80 액화석유가스 사용시설에 설치되는 조정압력 3.3kPa 이하인 조정기의 안전장치 작동정지 압력의 기준은? 81 물이 흐르고 있는 관 속에 피토관(pitot tube)을 수은이 든 U자 관에 연결하여 전압과 정압을 측정하였더니 75mm의 액면차이가 생겼다. 피토관 위치에서의 유속은 약 몇 m/s 인가? 82 램버트-비어의 법칙을 이용한 것으로 미량분석에 유용한 화학분석법은? 83 오르자트 가스분석 장치로 가스를 측정할때의 순서로 옳은 것은? 84 가스계량기의 설치에 대한 설명으로 옳은 것은?
85 연소기기에 대한 배기가스 분석의 목적으로 가장 거리가 먼 것은? 86 액체의 정압과 공기 압력을 비교하여 액면의 높이를 측정하는 액면계는? 87 압력 계측기기 중 직접 압력을 측정하는 1차 압력계에 해당하는 것은? 88 루트(Roots) 가스미터의 특징에 해당되지 않는 것은? 89 가스미터의 구비조건으로 거리가 먼 것은? 90 온도가 21℃에서 상대습도 60%의 공기를 압력은 변화하지 않고 온도를 22.5℃로 할 때, 공기의 상대습도는 약 얼마인가? 91 잔류편차(off-set)가 없고 응답상태가 빠른 조절 동작을 위하여 사용하는 제어방식은? 92 NOx를 분석하기 위한 화학발광검지기는 Carrier가스가 고온으로 유지된 반응관 내에 시료를 주입시키면, 시료 중의 질소화합물은 열분해된 후 O2가스에 의해 산화되어 NO상태로 된다. 생성된 NO Gas를 무슨 가스와 반응시켜 화학발광을 일으키는가? 93 액체산소, 액체질소 등과 같이 초저온 저장탱크에 주로 사용되는 액면계는? 94 1차 제어장치가 제어량을 측정하고 2차 조절계의 목표값을 설정하는 것으로서 외란의 영향이나 낭비시간 지연이 큰 프로세서에 적용되는 제어방식은? 95 광고온계의 특징에 대한 설명으로 틀린 것은? 96 0℃에서 저항이 120Ω이고 저항온도계수가 0.0025인 저항온도계를 어떤 로 안에 삽입하였을 때 저항이 216Ω이 되었다면 로 안의 온도는 약 몇 ℃ 인가?
App Store Google Play
오늘학습 예시 이미지

시험에 합격하려면
복습을 제대로 해야 합니다.

오늘학습은 스스로 기억을 떠올리고 계획적으로 복습할 수 있도록 설계돼 있어요.
그것도, 가장 과학적인 방식으로요!

능동적 회상

능동적 회상
(Active Recall)

배운 내용을 단순 읽으며 반복하는 것이 아니라,
능동적으로 기억하고 있는지를
스스로 테스트하며
공부할 수 있는
학습 환경을 제공해 학습 효과를 높여요

간격 반복 학습

간격 반복 학습
(Spaced Repetition)

에빙하우스 망각곡선을 바탕으로
가장 최적의 시점에 복습을 제공하여
배운 내용이 잊히지 않도록 장기 기억화해요

Data 기반의
뇌과학적 복습 시스템

학습 결과 Data를 분석해, 문제별 최적화된
반복 학습량을
자동으로 분배해요.
학습에 소요되는 시간을 최소화하는
동시에
단기 기억을 장기 기억으로 전환해줘요.

36만 개 이상의
기출문제 무료 제공

공무원 및 약 300여종의 자격증 시험 기출문제
36만개
이상을 무료로 이용할 수 있어요.
여러 앱을 설치할 필요
없이, 오늘학습 하나로
모든 시험을 준비할 수 있어요.

다양한 문제 유형으로 만드는
나만의 단어장&문제집

기출 외에도 외워야 하는 내용은
객관식, 주관식, 카드, 빈칸
등 다양한 형식으로
직접 만들어 보세요. 내 학습 스타일에
맞게
나만의 단어장과 문제집을 만들 수 있어요.

시험별 체계적인
문제 관리

시험에 문제를 추가해 체계적으로
관리할 수 있어요.
주제나 단원별로
분류하고 싶다면,
시험에 챕터를 만들어
문제를 추가할 수도 있어요.

수십만 명이
오늘학습을 사랑합니다

앱 스토어 평점 4.9
구글 플레이 평점 4.8
누적 회원수 100,000+
지금 오늘학습을
시작해보세요
지금 시작하기
문제 선택