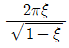
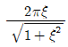
2차 지연형 계측기에서 제동비를 로 나타낼 때 대수감쇄율을 구하는 식은?
지금 시작하기 →

・・・ 문제은행 가스기사(2019년 1회) 90번

가스기사 2019년 03월 90번

2차 지연형 계측기에서 제동비를 로 나타낼 때 대수감쇄율을 구하는 식은?

1
2
3
4
단축키
이전 문제로 이동은 키를 누르고, 다음 문제로 이동은 키를 누르세요
이전 문제 , 다음 문제
문제(100)
13 수직으로 세워진 노즐에서 물이 10m/s 의 속도로 뿜어 올려진다. 마찰손실을 포함한 모든 손실이 무시된다면 물은 약 몇 m 높이까지 올라갈 수 있는가? 14 그림과 같이 60° 기울어진 4m×8m의 수문이 A지점에서 힌지(inge)로 연결되어 있을 때, 이 수문에 작용하는 물에 의한 정수력의 크기는 약 몇 kN 인가? 15 다음의 펌프 종류 중에서 터보형이 아닌 것은? 16 압력 1.4 kgf/cm2abs, 온도 96℃의 공기가 속도 90 m/s로 흐를 때, 정체온도(K)는 얼마인가? (단, 공기의 CP = 0.24 kcal/kg·K 이다.) 17 두 개의 무한히 큰 수평 평판 사이에 유체가 채워져 있다. 아래 평판을 고정하고 윗 평판을 V 의 일정한 속도로 움직일 때 평판에는 τ 의 전단응력이 발생한다. 평판 사이의 간격은 H 이고, 평판사이의 속도분포는 선형(Couette 유동)이라고 가정하여 유체의 점성계수 μ를 구하면? 18 온도 27℃의 이산화탄소 3kg이 체적 0.30m3의 용기에 가득 차 있을 때 용기 내의 압력(kgf/cm2)은? (단, 일반기체상수는 848kgf·m/kmol·K 이고, 이산화탄소의 분자량은 44 이다.) 19 다음 유량계 중 용적형 유량계가 아닌 것은? 20 내경이 0.0526 m 인 철관에 비압축성 유체가 9.085 m3/h 로 흐를 때의 평균유속은 약 몇 m/s 인가? (단, 유체의 밀도는 1200 kg/m3 이다.) 21 어느 온도에서 A(g) + B(g) ⇄ C(g) + D(g)와 같은 가역반응이 평형상태에 도달하여 D가 1/4mol 생성되었다. 이 반응의 평형상수는? (단, A와 B를 각각 1mol씩 반응시켰다.) 22 다음 중 폭발범위의 하한 값이 가장 낮은 것은? 23 가연성가스와 공기를 혼합하였을 때 폭굉범위는 일반적으로 어떻게 되는가? 24 발열량이 24000kcal/m3인 LPG 1m3에 공기 3m3을 혼합하여 희석하였을 때 혼합기체 1m3 당 발열량은 몇 kcal 인가?
49 가스 중에 포화수분이 있거나 가스배관의 부식구멍 등에서 지하수가 침입 또는 공사 중에 물이 침입하는 경우를 대비해 관로의 저부에 설치하는 것은? 50 도시가스설비에 대한 전기방식(防蝕)의 방법이 아닌 것은? 51 압력조정기를 설치하는 주된 목적은? 52 고무호스가 노후되어 직경 1mm의 구멍이 뚫려 280 mmH2O의 압력으로 LP가스가 대기 중으로 2시간 유출되었을 때 분출된 가스의 양은 약 몇 L 인가? (단, 가스의 비중은 1.6 이다.) 53 공기액화사이클 중 압축기에서 압축된 가스가 열교환기로 들어가 팽창기에서 일을 하면서 단열팽창하여 가스를 액화시키는 사이클은? 54 터보 압축기에서 누출이 주로 생기는 부분에 해당되지 않는 것은? 55 PE 배관의 매설 위치를 지상에서 탐지할 수 있는 로케팅와이어 전선의 굵기(mm2)로 맞는 것은? 56 분자량이 큰 탄화수소를 원료로 10000 kcal/Nm3 정도의 고열량 가스를 제조하는 방법은? 57 전기방식시설의 유지관리를 위해 배관을 따라 전위측정용 터미널을 설치할 때 얼마 이내의 간격으로 하는가? 58 고압가스 용접용기에 대한 내압검사 시 전증가량이 250 mL 일 때 이 용기가 내압시험에 합격하려면 영구증가량은 얼마 이하가 되어야 하는가? 59 용접결함 중 접합부의 일부분이 녹지 않아 간극이 생긴 현상은? 60 저압배관의 관경 결정(Pole 式)시 고려할 조건이 아닌 것은?
61 액화석유가스의 충전용기는 항상 몇 ℃ 이하로 유지하여야 하는가? 62 차량에 고정된 탱크 운반차량의 운반기준 중 다음 ( ) 에 옳은 것은? 63 고압가스 용기에 대한 설명으로 틀린 것은? 64 아세틸렌을 용기에 충전할 때에는 미리 용기에 다공물질을 고루 채워야 하는데 이때 다공도는 몇 % 이상이어야 하는가? 65 용기에 의한 액화석유가스 사용시설에서 용기집합설비의 설치기준으로 틀린 것은? 66 아세틸렌을 2.5MPa의 압력으로 압축할 때에는 희석제를 첨가하여야 한다. 희석제로 적당하지 않는 것은? 67 도시가스 배관용 볼밸브 제조의 시설 및 기술 기준으로 틀린 것은? 68 액화석유가스의 적절한 품질을 확보하기 위하여 정해진 품질기준에 맞도록 품질을 유지하여야 하는 자에 해당하지 않는 것은? 69 지름이 각각 5m와 7m인 LPG지상저장탱크 사이에 유지해야 하는 최소 거리는 얼마인가? (단, 탱크사이에는 물분무 장치를 하지 않고 있다.) 70 20kg(내용적 : 47L) 용기에 프로판이 2kg 들어 있을 때, 액체프로판의 중량은 약 얼마인가? (단, 프로픈의 온도는 15℃이며, 15℃에서 포화액체 프로판 및 포화가스 프로판의 비용적은 각각 1.976 cm3/g, 62cm3/g 이다.) 71 저장시설로부터 차량에 고정된 탱크에 가스를 주입하는 작업을 할 경우 차량운전자는 작업기준을 준수하여 작업하여야 한다. 다음 중 틀린 것은? 72 가스용 염화비닐 호스의 안지름 치수 규격이 옳은 것은?
73 가연성가스 제조소에서 화재의 원인이 될 수 있는 착화원이 모두 바르게 나열된 것은? 74 산소, 아세틸렌, 수소 제조 시 품질검사의 실시 횟수로 옳은 것은? 75 고압가스 냉동제조시설에서 냉동능력 2ton 이상의 냉동설비에 설치하는 압력계의 설치기준으로 틀린 것은? 76 고압가스일반제조의 시설에서 사업소 밖의 배관 매몰 설치 시 다른 매설물과의 최소 이격거리를 바르게 나타낸 것은? 77 1일간 저장능력이 35000m3 인 일산화탄소 저장설비의 외면과 학교와는 몇 m 이상의 안전거리를 유지하여야 하는가? 78 이동식 프로판 연소기용 용접용기에 액화석유가스를 충전하기 위한 압력 및 가스성분의 기준은? (단, 충전하는 가스의 압력은 40℃ 기준이다.) 79 가연성 가스의 폭발범위가 적절하게 표기된 것은? 80 충전질량 1000kg 이상인 LPG소형저장탱크 부근에 설치하여야 하는 분말소화기의 능력단위로 옳은 것은? 81 스프링식 저울의 경우 측정하고자 하는 물체의 무게가 작용하여 스프링의 변위가 생기고 이에 따라 바늘의 변위가 생겨 지시하는 양으로 물체의 무게를 알 수 있다. 이와 같은 측정방법은? 82 경사각이 30°인 경사관식 압력계의 눈금을 읽었더니 50cm 이었다. 이때 양단의 압력 차이는 약 몇 kgf/cm2 인가? (단, 비중이 0.8인 기름을 사용하였다.) 83 유체의 운동방정식(베르누이의 원리)을 적용하는 유량계는? 84 천연가스의 성분이 메탄(CH4) 85%, 에탄(C2H6) 13%, 프로판(C3H8) 2%일 때 이 천연가스의 총발열량은 약 몇 kcal/m3 인가? (단, 조성은 용량 백분율이며, 각 성분에 대한 총발열량은 다음과 같다.)
App Store Google Play
오늘학습 예시 이미지

시험에 합격하려면
복습을 제대로 해야 합니다.

오늘학습은 스스로 기억을 떠올리고 계획적으로 복습할 수 있도록 설계돼 있어요.
그것도, 가장 과학적인 방식으로요!

능동적 회상

능동적 회상
(Active Recall)

배운 내용을 단순 읽으며 반복하는 것이 아니라,
능동적으로 기억하고 있는지를
스스로 테스트하며
공부할 수 있는
학습 환경을 제공해 학습 효과를 높여요

간격 반복 학습

간격 반복 학습
(Spaced Repetition)

에빙하우스 망각곡선을 바탕으로
가장 최적의 시점에 복습을 제공하여
배운 내용이 잊히지 않도록 장기 기억화해요

Data 기반의
뇌과학적 복습 시스템

학습 결과 Data를 분석해, 문제별 최적화된
반복 학습량을
자동으로 분배해요.
학습에 소요되는 시간을 최소화하는
동시에
단기 기억을 장기 기억으로 전환해줘요.

36만 개 이상의
기출문제 무료 제공

공무원 및 약 300여종의 자격증 시험 기출문제
36만개
이상을 무료로 이용할 수 있어요.
여러 앱을 설치할 필요
없이, 오늘학습 하나로
모든 시험을 준비할 수 있어요.

다양한 문제 유형으로 만드는
나만의 단어장&문제집

기출 외에도 외워야 하는 내용은
객관식, 주관식, 카드, 빈칸
등 다양한 형식으로
직접 만들어 보세요. 내 학습 스타일에
맞게
나만의 단어장과 문제집을 만들 수 있어요.

시험별 체계적인
문제 관리

시험에 문제를 추가해 체계적으로
관리할 수 있어요.
주제나 단원별로
분류하고 싶다면,
시험에 챕터를 만들어
문제를 추가할 수도 있어요.

수십만 명이
오늘학습을 사랑합니다

앱 스토어 평점 4.9
구글 플레이 평점 4.8
누적 회원수 100,000+
지금 오늘학습을
시작해보세요
지금 시작하기
문제 선택