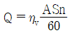
체적효율은 ηv, 피스톤 단면적을 A[m2], 행정을 S[m], 회전수를 n[rpm] 이라 할 때 실제 송출량 Q[m3/s]를 구하는 식은?
지금 시작하기 →

・・・ 문제은행 가스기사(2020년 1회) 9번

가스기사 2020년 06월 9번

체적효율은 ηv, 피스톤 단면적을 A[m2], 행정을 S[m], 회전수를 n[rpm] 이라 할 때 실제 송출량 Q[m3/s]를 구하는 식은?

1
2
3
4
단축키
이전 문제로 이동은 키를 누르고, 다음 문제로 이동은 키를 누르세요
이전 문제 , 다음 문제
문제(100)
13 압축률이 5×10-5 cm2/kgf인 물 속에서의 음속은 몇 m/s 인가? 14 다음 중 기체수송에 사용되는 기계로 가장 거리가 먼 것은? 15 원관 중의 흐름이 층류일 경우 유량이 반경의 4제곱과 압력기울기 (P1-P2)/L에 비례하고 점도에 반비례한다는 법칙은? 16 프란틀의 혼합길이(Prandtl mixing length)에 대한 설명으로 옳지 않은 것은? 17 그림과 같이 물이 흐르는 관에 U자 수은관을 설치하고, A지점과 B지점 사이의 수은 높이 차(h)를 측정하였더니 0.7m 이었다. 이때 A점과 B점 사이의 압력차는 약 몇 kPa 인가? (단, 수은의 비중은 13.6 이다.)(오류 신고가 접수된 문제입니다. 반드시 정답과 해설을 확인하시기 바랍니다.) 18 실험실의 풍동에서 20℃의 공기로 실험을 할 때 마하각이 30° 이면 풍속은 몇 m/s가 되는가? (단, 공기의 비열비는 1.4 이다.) 19 SI 기본 단위에 해당하지 않는 것은? 20 안지름이 20cm의 관에 평균속도 20m/s 로 물이 흐르고 있다. 이때 유량은 얼마인가? 21 기체연료를 미리 공기와 혼합시켜 놓고, 점화해서 연소하는 것으로 연소실 부하율을 높게 얻을 수 있는 연소방식은? 22 기체연료의 연소형태에 해당하는 것은? 23 저위발열량 93766 kJ/Sm3의 C3H8을 공기비 1.2로 연소시킬 때의 이론연소온도는 약 몇 K 인가? (단, 배기가스의 평균비열은 1.653 kJ/Sm3·K 이고 다른 조건은 무시한다.) 24 확산연소에 대한 설명으로 옳지 않은 것은?
61 가연성이면서 독성가스가 아닌 것은? 62 독성가스인 염소 500kg을 운반할 때 보호구를 차량의 승무원수에 상당한 수량을 휴대하여야 한다. 다음 중 휴대하지 않아도 되는 보호구는? 63 액화석유가스 저장탱크 지하 설치시의 시설기준으로 틀린 것은? 64 가스난방기는 상용압력의 1.5배 이상의 압력으로 실시하는 기밀시험에서 가스차단밸브를 통한 누출량이 얼마 이하가 되어야 하는가? 65 고압가스특정제조시설의 내부반응 감시장치에 속하지 않는 것은? 66 액화석유가스 저장탱크에 설치하는 폭발방지장치와 관련이 없는 것은? 67 가스도매사업자의 공급관에 대한 설명으로 맞는 것은? 68 액화석유가스용 강제용기 스커트의 재료를 고압가스용기용 강판 및 강대 SG 295 이상의 재료로 제조하는 경우에는 내용적이 25L 이상, 50L 미만인 용기는 스커트의 두께를 얼마 이상으로 할 수 있는가? 69 가연성가스가 폭발할 위험이 있는 농도에 도달할 우려가 있는 장소로서 “2종 장소”에 해당되지 않는 것은? 70 고정식 압축도시가스 자동차 충전시설에서 가스누출검지경보장치의 검지경보장치 설치수량의 기준으로 틀린 것은? 71 가연성 가스의 제조설비 중 전기설비가 방폭성능 구조를 갖추지 아니하여도 되는 가연성 가스는? 72 특정설비에 설치하는 플랜지이음매로 허브플랜지를 사용하지 않아도 되는 것은?
App Store Google Play
오늘학습 예시 이미지

시험에 합격하려면
복습을 제대로 해야 합니다.

오늘학습은 스스로 기억을 떠올리고 계획적으로 복습할 수 있도록 설계돼 있어요.
그것도, 가장 과학적인 방식으로요!

능동적 회상

능동적 회상
(Active Recall)

배운 내용을 단순 읽으며 반복하는 것이 아니라,
능동적으로 기억하고 있는지를
스스로 테스트하며
공부할 수 있는
학습 환경을 제공해 학습 효과를 높여요

간격 반복 학습

간격 반복 학습
(Spaced Repetition)

에빙하우스 망각곡선을 바탕으로
가장 최적의 시점에 복습을 제공하여
배운 내용이 잊히지 않도록 장기 기억화해요

Data 기반의
뇌과학적 복습 시스템

학습 결과 Data를 분석해, 문제별 최적화된
반복 학습량을
자동으로 분배해요.
학습에 소요되는 시간을 최소화하는
동시에
단기 기억을 장기 기억으로 전환해줘요.

36만 개 이상의
기출문제 무료 제공

공무원 및 약 300여종의 자격증 시험 기출문제
36만개
이상을 무료로 이용할 수 있어요.
여러 앱을 설치할 필요
없이, 오늘학습 하나로
모든 시험을 준비할 수 있어요.

다양한 문제 유형으로 만드는
나만의 단어장&문제집

기출 외에도 외워야 하는 내용은
객관식, 주관식, 카드, 빈칸
등 다양한 형식으로
직접 만들어 보세요. 내 학습 스타일에
맞게
나만의 단어장과 문제집을 만들 수 있어요.

시험별 체계적인
문제 관리

시험에 문제를 추가해 체계적으로
관리할 수 있어요.
주제나 단원별로
분류하고 싶다면,
시험에 챕터를 만들어
문제를 추가할 수도 있어요.

수십만 명이
오늘학습을 사랑합니다

앱 스토어 평점 4.9
구글 플레이 평점 4.8
누적 회원수 100,000+
지금 오늘학습을
시작해보세요
지금 시작하기
문제 선택