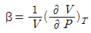
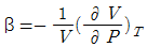
압축성 계수 β를 온도 T, 압력 P, 부피 V의 함수로 옳게 나타낸 것은?
지금 시작하기 →

・・・ 문제은행 가스기사(2018년 3회) 17번

가스기사 2018년 08월 17번

압축성 계수 β를 온도 T, 압력 P, 부피 V의 함수로 옳게 나타낸 것은?

1
2
3
4
단축키
이전 문제로 이동은 키를 누르고, 다음 문제로 이동은 키를 누르세요
이전 문제 , 다음 문제
문제(100)
1 매끄러운 원관에서 유량 Q, 관의 길이 L, 직경 D, 동점성계수 v가 주어졌을 때 손실수두 hf를 구하는 순서로 옳은 것은? (단, f는 마찰계수, Re는 Reynolds 수, V는 속도이다.) 2 베르누이 방정식에 관한 일반적인 설명으로 옳은 것은? 3 수직충격파가 발생될 때 나타나는 현상은? 4 어떤 비행체의 마하각을 측정하였더니 45°를 얻었다. 이 비행체가 날고 있는 대기 중에서 음파의 전파속도가 310m/s일 때 비행체의 속도는 얼마인가? 5 음속을 C, 물체의 속도를 V라고 할 때, Mach 수는? 6 펌프작용이 단속적이라서 맥동이 일어나기 쉬우므로 이를 완화하기 위하여 공기실을 필요로 하는 펌프는? 7 충격파와 에너지선에 대한 설명으로 옳은 것은? 8 유체가 흐르는 배관 내에서 갑자기 밸브를 닫았더니 급격한 압력변화가 일어났다. 이때 발생할 수 있는 현상은? 9 내경 25㎜인 원관 속을 평균유속 29.4m/min로 물이 흐르고 있다면 원관의 길이 20m에 대한 손실 수두는 약 몇 m가 되겠는가? (단, 관 마찰계수는 0.0125이다.) 10 그림과 같은 물딱총 피스톤을 미는 단위 면적당 힘의 세기가 P[N/m2]일 때 물이 분출되는 속도 V는 몇 m/s인가? (단, 물의 밀도는 p[㎏/m3]이고, 피스톤의 속도와 손실은 무시한다.) 11 점도 6cP를 Pa·s로 환산하면 얼마인가? 12 유선(stream line)에 대한 설명 중 잘못된 내용은?
13 U자관 마노미터를 사용하여 오리피스 유량계에 걸리는 압력차를 측정하였다. 오리피스를 통하여 흐르는 유체는 비중이 1인 물이고, 마노미터 속의 액체는 비중 13.6인 수은이다. 마노미터 읽음이 4㎝일 때 오리피스에 걸리는 압력차는 약 몇 Pa인가? 14 2차원 직각좌표계 (x, y)상에서 속도 포텐셜 (ø, velocity potential)이 ø=Ux로 주어지는 유동장이 있다. 이 유동장의 흐름함수(ψ, stream function)에 대한 표현식으로 옳은 것은? (단, U는 상수이다.) 15 큰 탱크에 정지하고 있던 압축성 유체가 등엔트로피 과정으로 수축-확대 노즐을 지나면서 노즐의 출구에서 초음속으로 흐른다. 다음 중 옳은 것을 모두 고른 것은? 16 온도 200°C, 압력 5㎏f/cm2인 이상기체 l0cm2를 등온 조건에서 5cm2 까지 압축시키면 압력은 약 몇 kgf/cm2인가?(오류 신고가 접수된 문제입니다. 반드시 정답과 해설을 확인하시기 바랍니다.) 17 압축성 계수 β를 온도 T, 압력 P, 부피 V의 함수로 옳게 나타낸 것은? 18 다음 무차원수의 물리적인 의미로 옳은 것은? 19 지름이 10㎝인 파이프 안으로 비중이 0.8인 기름을 40㎏/min의 질량유속으로 수송하면 파이프 안에서 기름이 흐르는 평균속도는 약 몇 m/min인가? 20 지름이 0.1m인 관에 유체가 흐르고 있다. 임계 레이놀즈수가 2100이고, 이에 대응하는 임계유속이 0.25m/s이다. 이 유체의 동점성계수는 약 몇 얼마인가? 21 기체상태의 평형이동에 영향을 미치는 변수와 가장 거리가 먼 것은? 22 다음 보기에서 비등액체팽창증기폭발(BLEVE) 발생의 단계를 순서에 맞게 나열한 것은? 23 이상기체에 대한 설명으로 틀린 것은? 24 엔탈피에 대한 설명 중 옳지 않은 것은?
App Store Google Play
오늘학습 예시 이미지

시험에 합격하려면
복습을 제대로 해야 합니다.

오늘학습은 스스로 기억을 떠올리고 계획적으로 복습할 수 있도록 설계돼 있어요.
그것도, 가장 과학적인 방식으로요!

능동적 회상

능동적 회상
(Active Recall)

배운 내용을 단순 읽으며 반복하는 것이 아니라,
능동적으로 기억하고 있는지를
스스로 테스트하며
공부할 수 있는
학습 환경을 제공해 학습 효과를 높여요

간격 반복 학습

간격 반복 학습
(Spaced Repetition)

에빙하우스 망각곡선을 바탕으로
가장 최적의 시점에 복습을 제공하여
배운 내용이 잊히지 않도록 장기 기억화해요

Data 기반의
뇌과학적 복습 시스템

학습 결과 Data를 분석해, 문제별 최적화된
반복 학습량을
자동으로 분배해요.
학습에 소요되는 시간을 최소화하는
동시에
단기 기억을 장기 기억으로 전환해줘요.

36만 개 이상의
기출문제 무료 제공

공무원 및 약 300여종의 자격증 시험 기출문제
36만개
이상을 무료로 이용할 수 있어요.
여러 앱을 설치할 필요
없이, 오늘학습 하나로
모든 시험을 준비할 수 있어요.

다양한 문제 유형으로 만드는
나만의 단어장&문제집

기출 외에도 외워야 하는 내용은
객관식, 주관식, 카드, 빈칸
등 다양한 형식으로
직접 만들어 보세요. 내 학습 스타일에
맞게
나만의 단어장과 문제집을 만들 수 있어요.

시험별 체계적인
문제 관리

시험에 문제를 추가해 체계적으로
관리할 수 있어요.
주제나 단원별로
분류하고 싶다면,
시험에 챕터를 만들어
문제를 추가할 수도 있어요.

수십만 명이
오늘학습을 사랑합니다

앱 스토어 평점 4.9
구글 플레이 평점 4.8
누적 회원수 100,000+
지금 오늘학습을
시작해보세요
지금 시작하기
문제 선택