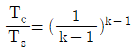
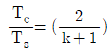
정체온도 Ts, 임계온도 Tc, 비열비를 k라 할 때 이들의 관계를 옳게 나타낸 것은?
지금 시작하기 →

・・・ 문제은행 가스기사(2020년 3회) 12번

가스기사 2020년 09월 12번

정체온도 Ts, 임계온도 Tc, 비열비를 k라 할 때 이들의 관계를 옳게 나타낸 것은?

1
2
3
4
단축키
이전 문제로 이동은 키를 누르고, 다음 문제로 이동은 키를 누르세요
이전 문제 , 다음 문제
문제(100)
1 레이놀즈구사 106이고 상대조도가 0.005인 원관의 마찰계수 f는 0.03이다. 이원관에 부차손실계수가 6.6인 글로브 밸브를 설치하였을 때, 이 밸브의 등가길이(또는 상당길이)는 관 지름의 몇 배인가? 2 압축성 유체의 기계적 에너지 수지식에서 고려하지 않는 것은? 3 압축성 이상기체(compressible ideal)의 운동을 지배하는 기본 방정식이 아닌 것은? 4 LPG 이송 시 탱크로리 상부를 가압하여 액을 저장탱크로 이송시킬 때 사용되는 동력장치는 무엇인가? 5 마하수는 어느 힘의 비를 사용하여 정의되는가? 6 수은 - 물 마노메타로 압력차를 측정하였더니 50cmHg였다. 이 압력차를 mH2O로 표시하면 약 멀마인가? 7 산소와 질소의 채적비가 1 : 4인 조성의 공기가 있다. 표준상태(0℃, 1기압)에서의 밀도는 약 몇 kg/m3 인가? 8 다음 단위 간의 관계가 옳은 것은?(오류 신고가 접수된 문제입니다. 반드시 정답과 해설을 확인하시기 바랍니다.) 9 송풍기의 공기 유량이 3m3/s 일 때, 흡입 쪽의 전압이 110kPa, 출구 쪽의 정압이 115kPa이고 속도가 30m/s이다. 송풍기에 공급하여야 하는 축동력은 얼마인가? (단, 공기의 밀도는 1.2kg/m3이고, 송풍기의 전효율은 0.8이다.) 10 평판에서 발생하는 층류 경계층의 두께는 평판선단으로부터의 거리 x 와 어떤 관계가 있는가? 11 관 내의 압축성 유체의 경우 단면적 A와 마하수 M, 속도 V 사이에 다음과 같은 관계가 성립한다고 한다. 마하수가 2 일 때 속도를 0.2% 감소시키기 위해서는 단면적을 몇 % 변화시켜야 하는가? 12 정체온도 Ts, 임계온도 Tc, 비열비를 k라 할 때 이들의 관계를 옳게 나타낸 것은?
25 프로판과 부탄이 혼합된 경우로서 부탄의 함유량이 많아지면 발열량은? 26 가연물의 구비조건이 아닌 것은? 27 액체연료의 연소용 공기 공급방식에서 2차 공기란 어떤 공기를 말하는가? 28 TNT당량은 어떤 물질이 폭발할 때 방출하는 에너지와 동일한 에너지를방출하는 TNT의 질량을 말한다. LPG 1톤이 폭발할 때 방출하는 에너지는 TNT당량으로 약 몇 kg인가? (단, 폭발한 LPG의 발열량은 15000kcal/kg이며, LPG의 폭발계수는 0.1, TNT가 폭발 시 방풀하는 당량에너지는 1125kcal.kg이다.) 29 질소 10kg이 일정 압력상태에서 체적이 1.5m3에서 0.3m3으로 감소될 때까지 냉각되었을 때 질서의 엔트로피 변화량의 크기는 약 몇 kJ/K인가? (단, Cp는 14kJ/KgㆍK로 한다.) 30 Van der waals식 에 대한 설명으로 틀린 것은? 31 연료와 공기 혼합물에서 최대 연소속도가 되기 위한 조건은? 32 다음은 간단한 수증기사이클을 나타낸 그림이다. 여기서 랭킨(Rankine)사이클의 경로를 옳게 나타낸 것은? 33 충격파가 반응 매질 속으로 음속보다 느린 속도로 이동할 때를 무엇이라 하는가? 34 방폭에 대한 설명으로 틀린 것은? 35 프로판가스 1Sm3을 완전연소시켰을 때의 건조연소가스량은 약 몇 Sm3인가? (단, 공기 중의 산소는 21v%이다.) 36 공기가 산소 20v%, 질소 80v%의 혼합기체라고 가정할 때 표준상태(0℃, 101.325kPa)에서 공기의 기체상수는 약 몇 kJ/kgㆍK인가?
61 가스사고를 원인별로 분류했을 때 가장 많은 비율을 차지하는 사고 원인은? 62 산업재해 발생 및 그 위험요인에 대하여 짝지어진 것 중 틀린 것은? 63 고압가스용 안전밸브 중 공칭 밸브의 크기가 80A일 때 최소 내압시험 유지시간은? 64 고압가스용 저장탱크 및 압력용기(설계압력 20.6MPa 이하)제조에 대한 내압시험압력 계산식{}에서 계수 μ의 값은? 65 차량에 고정된 탱크의 안전운행기준으로 운행을 완료하고 점검하여야 할 사항이 아닌 것은? 66 고압가스를 차량에 적재ㆍ운반할 때 몇 km 이상의 거리를 운행하는 경우에 중간에 충분한 휴식을 취한 후 운행하여야 하는가? 67 다음 [보기]에서 임계온도가 0℃에서 40℃ 사이인 것으로만 나열된 것은? 68 독성가스 냉매를 사용하는 압축기 설치장소에는 냉매누출 시 체류하지 않도록 환기구를 설치하여야 한다. 냉동능력 1ton당 환기구 설치면적 기준은? 69 시안화수소의 안전성에 대한 설명으로 틀린 것은? 70 고압가스 제조설비의 기밀시험이나 시운전 시 가압용 고압가스로 부적당한 것은? 71 도시가스 사용시설에 설치되는 정압기의 분해점검 주기는? 72 차량에 고정돤 후부취출식 저장탱크에 의하여 고압가스를 이송하려 한다. 저장탱크 주 밸브 및 긴급차단장치에 속하는밸브와 차량의 뒷범퍼와의 수평거리가 몇 cm 이상 떨어지도록 차량에 고정시켜야 하는가?
App Store Google Play
오늘학습 예시 이미지

시험에 합격하려면
복습을 제대로 해야 합니다.

오늘학습은 스스로 기억을 떠올리고 계획적으로 복습할 수 있도록 설계돼 있어요.
그것도, 가장 과학적인 방식으로요!

능동적 회상

능동적 회상
(Active Recall)

배운 내용을 단순 읽으며 반복하는 것이 아니라,
능동적으로 기억하고 있는지를
스스로 테스트하며
공부할 수 있는
학습 환경을 제공해 학습 효과를 높여요

간격 반복 학습

간격 반복 학습
(Spaced Repetition)

에빙하우스 망각곡선을 바탕으로
가장 최적의 시점에 복습을 제공하여
배운 내용이 잊히지 않도록 장기 기억화해요

Data 기반의
뇌과학적 복습 시스템

학습 결과 Data를 분석해, 문제별 최적화된
반복 학습량을
자동으로 분배해요.
학습에 소요되는 시간을 최소화하는
동시에
단기 기억을 장기 기억으로 전환해줘요.

36만 개 이상의
기출문제 무료 제공

공무원 및 약 300여종의 자격증 시험 기출문제
36만개
이상을 무료로 이용할 수 있어요.
여러 앱을 설치할 필요
없이, 오늘학습 하나로
모든 시험을 준비할 수 있어요.

다양한 문제 유형으로 만드는
나만의 단어장&문제집

기출 외에도 외워야 하는 내용은
객관식, 주관식, 카드, 빈칸
등 다양한 형식으로
직접 만들어 보세요. 내 학습 스타일에
맞게
나만의 단어장과 문제집을 만들 수 있어요.

시험별 체계적인
문제 관리

시험에 문제를 추가해 체계적으로
관리할 수 있어요.
주제나 단원별로
분류하고 싶다면,
시험에 챕터를 만들어
문제를 추가할 수도 있어요.

수십만 명이
오늘학습을 사랑합니다

앱 스토어 평점 4.9
구글 플레이 평점 4.8
누적 회원수 100,000+
지금 오늘학습을
시작해보세요
지금 시작하기
문제 선택