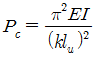
중심 축하중을 받는 장주의 좌굴 하중(Pc)은? (단, EI : 압축부재의 휨감성, Klu : 유효길이)
지금 시작하기 →

・・・ 문제은행 전산응용토목제도기능사(2013년 2회) 21번

전산응용토목제도기능사 2013년 07월 21번

중심 축하중을 받는 장주의 좌굴 하중(Pc)은? (단, EI : 압축부재의 휨감성, Klu : 유효길이)

1
2
3
4
단축키
이전 문제로 이동은 키를 누르고, 다음 문제로 이동은 키를 누르세요
이전 문제 , 다음 문제
문제(60)
1 굵은 골재의 최대치수는 질량비로 몇 % 이상을 통과시키는 체 가운데에서 가장 작은 치수의 체눈을 체의 호칭치수로 나타낸 것인가? 2 단철근 직사각형보에서 b=300㎜, a=150㎜, ƒck=28MPa일 때 콘크리트의 전압축력은? (단, 강도 설계법임) 3 단면의 폭 b=400㎜, 유효깊이 d=600㎜ 인 단철근 직사각형 보에 D22의 정철근을 2단으로 배치할 경우 그 연직 순간격은 얼마 이상으로 하여야 하는가? 4 철근 D29 ~ D35의 경우에 180℃ 표준갈고리의 구부림 최소내면 반지름은? (단, db : 철근의 공칭지름) 5 휨 또는 휨과 압축을 동시에 받는 부재의 콘크리트 압축연단의 극한변형률은 얼마로 가정하는가? 6 폭 b=300㎜, 유효깊이 d=40㎜, 철근의 단면적 As=3.000mm2인 단철근 직사각형 보의 철근비는? 7 토목 재료로서 콘크리트의 일반적인 특징으로 옳지 않은 것은? 8 콘크리트의 배합설계에서 실제 시험에 의한 설계기준강도(ƒck)와 압축강도의 표준편차(s)를 구했을 때 배합강도 (ƒcr)를 구하는 방법으로 옳은 것은? (단, ƒck ≤ 35Mpa 인 경우) 9 인장 이형철근 및 이형철선의 정착길이는 기본정착 길이에 보정계수(α, β, λ)를 곱하여 구할 수 있다. 이때 보정계수에 영향을 주는 인자가 아닌 것은? 10 콘크리트를 친 후 시멘트와 골재알이 가라앉으면서 물이 올라와 콘크리트의 표면에 떠오르는 현상은? 11 콘크리트의 워커빌리티에 영향을 미치는 요소에 대한 설명으로 옳지 않은 것은? 12 프리스트레스하지 않는 부재의 현장치기콘크리트 중 수중에서 치는 콘크리트의 최소 피복두께는?
13 폭이 500mm인 철근 콘크리트보가 있다. 콘크리트의 압축강도가 27MPa, 철근의 항복강도가 400MPa, 사용된 철근량이 2295mm2일 때, 이보의 등각 응력사각형의 깊이(a)는? 14 6kN/m의 등분포하중을 받는 지가 4m의 철근콘크리트 단순보가 있다. 이 보의 최대휨모멘트는? (단, 하중계수는 적용하지 않는다.) 15 수밀 콘크리트의 배합에서 물-결합재(시멘트)비는 얼마 이하를 표준으로 하는가? 16 토목 구조물 설계에서 일반적으로 주하중으로 분류되지 않는 것은? 17 다음 보기의 내용중 괄호에 알맞은 수치는? 18 인장력을 받는 이형철근의 A급 겹침이음길이로 옳은 것은? (단, ℓd : 정착길이) 19 혼화제의 일종으로, 시멘트 분말을 분산시켜서 콘크리트의 워커빌리티를 얻기에 필요한 단위수량을 감소시키는 것을 주목적으로 한 재료는? 20 컴플셔 혹은 펌프를 이용하여 노즐 위치까지 호스 속으로 운반한 콘크리트를 압축공기에 의해 시공면에 뿜어서 만든 콘크리트는? 21 중심 축하중을 받는 장주의 좌굴 하중(Pc)은? (단, EI : 압축부재의 휨감성, Klu : 유효길이) 22 부재의 길이에 비하여 단면이 작은 부재를 삼각형으로이어서 만든 뼈대로서, 보의 작용을 하도록 한 구조로 된 교량 형식은? 23 사용 재료에 따른 토목 구조물의 종류가 아닌 것은? 24 보의 해석에서 회전이 자유롭고 1방향으로만 이동되는 이동 지점에 나타나는 반력수는?
App Store Google Play
오늘학습 예시 이미지

시험에 합격하려면
복습을 제대로 해야 합니다.

오늘학습은 스스로 기억을 떠올리고 계획적으로 복습할 수 있도록 설계돼 있어요.
그것도, 가장 과학적인 방식으로요!

능동적 회상

능동적 회상
(Active Recall)

배운 내용을 단순 읽으며 반복하는 것이 아니라,
능동적으로 기억하고 있는지를
스스로 테스트하며
공부할 수 있는
학습 환경을 제공해 학습 효과를 높여요

간격 반복 학습

간격 반복 학습
(Spaced Repetition)

에빙하우스 망각곡선을 바탕으로
가장 최적의 시점에 복습을 제공하여
배운 내용이 잊히지 않도록 장기 기억화해요

Data 기반의
뇌과학적 복습 시스템

학습 결과 Data를 분석해, 문제별 최적화된
반복 학습량을
자동으로 분배해요.
학습에 소요되는 시간을 최소화하는
동시에
단기 기억을 장기 기억으로 전환해줘요.

36만 개 이상의
기출문제 무료 제공

공무원 및 약 300여종의 자격증 시험 기출문제
36만개
이상을 무료로 이용할 수 있어요.
여러 앱을 설치할 필요
없이, 오늘학습 하나로
모든 시험을 준비할 수 있어요.

다양한 문제 유형으로 만드는
나만의 단어장&문제집

기출 외에도 외워야 하는 내용은
객관식, 주관식, 카드, 빈칸
등 다양한 형식으로
직접 만들어 보세요. 내 학습 스타일에
맞게
나만의 단어장과 문제집을 만들 수 있어요.

시험별 체계적인
문제 관리

시험에 문제를 추가해 체계적으로
관리할 수 있어요.
주제나 단원별로
분류하고 싶다면,
시험에 챕터를 만들어
문제를 추가할 수도 있어요.

수십만 명이
오늘학습을 사랑합니다

앱 스토어 평점 4.9
구글 플레이 평점 4.8
누적 회원수 100,000+
지금 오늘학습을
시작해보세요
지금 시작하기
문제 선택