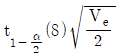
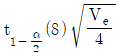
단일 요인의 3수준에서 각각 4번의 관측치를 얻었다. 최소유의차(Least Significant Difference)의 식으로 맞는 것은?
지금 시작하기 →

・・・ 문제은행 품질경영산업기사(2020년 1회) 7번

품질경영산업기사 2020년 06월 7번

단일 요인의 3수준에서 각각 4번의 관측치를 얻었다. 최소유의차(Least Significant Difference)의 식으로 맞는 것은?

1
2
3
4
단축키
이전 문제로 이동은 키를 누르고, 다음 문제로 이동은 키를 누르세요
이전 문제 , 다음 문제
문제(80)
1 단순회귀분석에서 회귀선에 의해 설명되지 않는 잔차(residual)에 관한 설명으로 틀린 것은? 2 다음은 반복 없는 2요인 실험의 분산분석표이다. 오차항의 자유도(ve)는? 3 변량요인 A로 반복수가 같은 1요인 실험에 대한 설명으로 맞는 것은? 4 1요인 실험(모수모형)의 데이터 구조식으로 맞는 것은? 5 반복이 있는 2요인 실험의 조합조건마다의 모평균인 μ+ai+bj+(ab)ij의 추정치로 맞는 것은? 6 특성치의 산포를 요인별로 분해하여 오차에 비해 특히 큰 영향을 주는 요인이 무엇인가를 찾아내는 분석방법을 무엇이라고 하는가? 7 단일 요인의 3수준에서 각각 4번의 관측치를 얻었다. 최소유의차(Least Significant Difference)의 식으로 맞는 것은? 8 요인 A가 모수인 1요인 실험의 분산분석표에서 수준 수 4, 반복수 5, ST=14.16, SA=10.10, Se=4.06일 때, F0값은 약 얼마인가? 9 플라스틱제품의 강도에 미치는 영향을 알기 위하여 랜덤하게 실험일(B)을 2개의 블록으로 층별하여 난괴법으로 배치하였다. 다음은 가열온도(A) 3수준에서 제품강도를 측정한 결과이다. 블록별(B) 제곱할 SB는 약 얼마인가요? 10 2수준계 직교배열표에서 선점도를 이용한 배치에 대한 설명으로 틀린 것은? 11 L8(27)형 직교배열표에서 SA×C는? 12 모수요인인 온도의 각 수준은 실험자의 경험에 따라, 100, 120, 140℃ 3수준으로 실험하려고 한다. i 번째 수준에서 j 번째 반복 실험 결과인 xij에 대해 다음과 같은 모형을 설정하였다. 모형의 가정으로 맞는 것은?
13 요인 A가 4수준, 요인 B가 3수준으로 2요인 실험을 하다가 실험이 잘못되어 하나의 결측치가 생겼다. 결측치를 추정한 후 분산분석을 한 결과 Ve=0.041이었고, 이라면 μ(B3)값을신뢰율 99%로 구간 추정하면 약 얼마인가? (단, t0.995(6)=3.707, t0.995(5)=4.032, t0.99(6)=3.143, t0.99(5)=3.365이다.) 14 반복이 일정하지 않은 1요인 실험의 모수모형의 데이터는 다음과 같다. 요인 A의 두 수준간의 모평균차 μ(A2)-μ(A3)의 95% 신뢰구간을 구하면? 15 난괴법에 관한 설명으로 틀린 것은? 16 1요인 실험에서 총 제곱합 ST=1.01이고, A요인의 순제곱합 S′A=0.40일 때, 기여율 ρA는 약 얼마인가? 17 계수치 데이터를 설명한 것으로 틀린 것은? 18 각각 ℓ, m(ℓ,m >2)의 수준 수를 갖는 모수요인 A, B의 각 수준조합에서 r회 반복하여 실험하였고 결측치는 발생하지 않았다. A요인의 I번째 수준, B요인의 j번째 수준, 그리고 k번째 반복하여 측정한 특성치를 xijk이라 할 때, 교호작용의 제곱합 SA×B를 계산하는 식으로 맞은 것은? 19 교호작용을 무시하고, 실험횟수를 감소시키고자 할 경우 사용되는 실험계획법은? 20 3×3 라틴방격법에서 각 요인의 모평균을 추정하는 식에 관한 내용으로 맞는 것은? 21 확률분포에 대한 설명으로 맞는 것은? (단, N은 로트의 크기, n은 시료의 크기, p는 부적합품률이다.) 22 산포를 검정할 때 χ2검정에 사용되는 통계량을 구하는 식은? 23 두 변수간의 관계가 다음 그림과 같을 때를 의미하는 것은? 24 1주일 동안 어떤 기계에 의하여 생산된 200개 베어링의 반지름을 측정한 결과 표본평균 0.824㎝, 표본표준편차 0.042㎝를 얻었을 때, 베어링의 반지름 평균에 대한 99% 양측 신뢰구간은 약 얼마인가? (단, u0.975=1.96, u0.99=2.326, uu0.995=2.576이다.)
37 일정면적의 부적합수를 관리하는 c관리도의 중심선(CL)이 16일 때, UCL과 LCL은? 38 한 문제당 보기가 5개 있고, 그 중 정답은 하나뿐일 때, 10개의 문제 중 3개 문제의 정답을 맞힐 확률은 약 얼마인가? 39 R관리도는 안정되어 있고, 관리도에서 관리한계를 벗어나는 점이 많아지고 있을 때의 설명으로 맞는 것은? (단, 군내변동 : , 군간변동 : , 의 변동 : 이다.) 40 계수형 샘플링검사 절차 - 제1부 : 로트별 합격품질한계(AQL) 지표현 샘플링검사 방식(KS Q ISO 2859-1:2014)을 설명한 것으로 틀린 것은? 41 4가지 부품을 1대의 기계에서 가공하고자 한다. 가공시간과 납기일은 다음과 같이 주어져 있다. 평균처리시간을 최소화하는 최단작업시간 규칙을 사용할 때 작업 순서로 맞는 것은? 42 단속공정의 일정계획은 일반적으로 3단계를 거친다. 3단계의 순서로 맞는 것은? 43 1일 부하시간이 460분 1일 가동시간이 400분 1일 생산량을 300개이라 할 때, 설비종합효율은 약 얼마인가? (단, 이론주기시간 : 0.5분/개, 양품률 98%, 실제주기시간 : 0.8분/개이다.) 44 일정계획의 주요 통제기능으로, 일정계획에 따라 작업이 순조롭게 진행되는가를 체크하는 것을 무엇이라고 하는가? 45 주 공정선(Critical Path)에 대한 설명으로 맞는 것은? 46 표의 데이터를 참조하여 5개월 이동평균에 의한 8월의 판매 예측치는 약 얼마인가? 47 공정을 계획하여 통제하는 기능을 함으로써 생산성과 효율을 향상시키는 공정관리에 관한 설명으로 틀린 것은? 48 다음의 내용은 무엇에 대한 설명인가?
49 라인밸런스 효율(Eb)를 구하는 공식은? (단, n: 작업장(공정) 수, tmax : cycle time, ∑ti : 공정시간의 합계이다.) 50 감도가 높은 계측장치를 사용하여 기계나 설비의 트러블을 예측해서 이에 따른 예방보전 활동을 하는 것으로 기계설비가 자동화되어 있는 정치산업에서 특히 중요한 보전은? 51 Y자재의 단가는 200원, 연간소요량은 200개, 1회 발주비는 1000원, 재고유지비율이 20% 일 때, 연간 경제적 발주회수는? 52 학습효과(learning effect)애 관한 설명으로 틀린 것은?(오류 신고가 접수된 문제입니다. 반드시 정답과 해설을 확인하시기 바랍니다.) 53 스톱워치법에서 관측방법 중 요소작업이 너무 짧아 개별적으로 측정할 수 없을 때, 몇 개의 다른 요소작업과 조합한 시간치를 산출하는 방법은? 54 표준시간을 설정하는 과정에서 레이팅(정상화)작업을 필요로 하는 것은? 55 소품종 대량생산의 특징으로 틀린 것은? 56 다음의 내용은 무엇에 대한 정의인가? 57 ABC 재고관리의 설명으로 틀린 것은? 58 테일러(F. W. Taylor)는 ‘하루의 공정한 작업량’을 시간연구를 통해 과학적으로 설정하고 관리하는 과학적 관리를 주장하였다. 하루의 공정한 작업량을 지칭하는 용어는? 59 JIT 생산시스템을 도입함으로써 기대되는 이익이 아닌 것은? 60 서블릭 기호 중 빈손의 이동(Transport Empty)을 나타내는 것은?
App Store Google Play
오늘학습 예시 이미지

시험에 합격하려면
복습을 제대로 해야 합니다.

오늘학습은 스스로 기억을 떠올리고 계획적으로 복습할 수 있도록 설계돼 있어요.
그것도, 가장 과학적인 방식으로요!

능동적 회상

능동적 회상
(Active Recall)

배운 내용을 단순 읽으며 반복하는 것이 아니라,
능동적으로 기억하고 있는지를
스스로 테스트하며
공부할 수 있는
학습 환경을 제공해 학습 효과를 높여요

간격 반복 학습

간격 반복 학습
(Spaced Repetition)

에빙하우스 망각곡선을 바탕으로
가장 최적의 시점에 복습을 제공하여
배운 내용이 잊히지 않도록 장기 기억화해요

Data 기반의
뇌과학적 복습 시스템

학습 결과 Data를 분석해, 문제별 최적화된
반복 학습량을
자동으로 분배해요.
학습에 소요되는 시간을 최소화하는
동시에
단기 기억을 장기 기억으로 전환해줘요.

36만 개 이상의
기출문제 무료 제공

공무원 및 약 300여종의 자격증 시험 기출문제
36만개
이상을 무료로 이용할 수 있어요.
여러 앱을 설치할 필요
없이, 오늘학습 하나로
모든 시험을 준비할 수 있어요.

다양한 문제 유형으로 만드는
나만의 단어장&문제집

기출 외에도 외워야 하는 내용은
객관식, 주관식, 카드, 빈칸
등 다양한 형식으로
직접 만들어 보세요. 내 학습 스타일에
맞게
나만의 단어장과 문제집을 만들 수 있어요.

시험별 체계적인
문제 관리

시험에 문제를 추가해 체계적으로
관리할 수 있어요.
주제나 단원별로
분류하고 싶다면,
시험에 챕터를 만들어
문제를 추가할 수도 있어요.

수십만 명이
오늘학습을 사랑합니다

앱 스토어 평점 4.9
구글 플레이 평점 4.8
누적 회원수 100,000+
지금 오늘학습을
시작해보세요
지금 시작하기
문제 선택