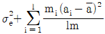
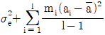
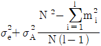
반복수가 일정하지 않은 1요인 실험 모수모형에서 E(VA)를 구하는 식으로 맞는 것은? (단, l은 요인의 수준수, m은 반복수이다.)
지금 시작하기 →

・・・ 문제은행 품질경영산업기사(2019년 1회) 10번

품질경영산업기사 2019년 04월 10번

반복수가 일정하지 않은 1요인 실험 모수모형에서 E(VA)를 구하는 식으로 맞는 것은? (단, l은 요인의 수준수, m은 반복수이다.)

1
2
3
4
단축키
이전 문제로 이동은 키를 누르고, 다음 문제로 이동은 키를 누르세요
이전 문제 , 다음 문제
문제(80)
1 모수요인에 대한 설명으로 틀린 것은? 2 콘크리트 공장에서 압축강도를 향상시키기 위해 배합비를 4일간 랜덤하게 실험한 데이터 값이 다음과 같다. 이때 ⓨ(결측치)값을 추정하면 약 얼마인가? 3 Y 반응공정의 수율을 올리려고 반응시간(A), 반응온도(B), 성분의 양(C)의 3요인에 대해 라틴방격법을 적용하여 실험하였다. 실험 결과에 대한 해석으로 맞는 것은? (단, F0.95(2, 2)=19.0 이다.) 4 화학공장에서 제품의 수율에 영향을 미칠 것으로 생각되는 반응온도(A)와 원료(B)를 요인으로 2요인 실험을 하였다. 실험은 12회로 완전 랜덤화하였고, 2요인 모두 모수이다. 검정결과에 관한 내용으로 맞는 것은? (단, F0.95(2, 6)=5.14, F0.95(3, 6)=4.76, F0.99(2, 6)=10.9, F0.99(3, 6)=9.78 이다. 5 요인 A, B가 모두 모수인 2요인 실험을 해서 다음과 같은 분산분석을 얻었다. 오차의 기여율(pe)은 얼마인가? 6 반복이 없는 2요인 실험에서 A, B 모두 모수요인인 경우, 요인 A의 불편분산의 기대값은? (단, A는 4수준, B는 5수준의 실험이다.) 7 동일한 물건을 생산하는 4대의 기계에서 부적합품 여부에 대한 동일성에 관한 실험을 하였다. 적합품이면 0, 부적합품이면 1의 값을 주기로 하고, 4대의 기계에서 나오는 100개씩의 제품을 만들어 부적합품 여부를 검사하여 다음과 같은 결과를 얻었다. 이 자료에서 기계 간의 제곱합 SA를 구하면 약 얼마인가? 8 어떤 제약회사에서 K성분의 함량을 실험한 데이터와 분산분석표이다. μ(A1)의 95% 신뢰구간을 추정하면 약 얼마인가? (단, t0.95(3)=2.353, t0.975(3)=3.182, t0.95(12)=1.782, t0.975(12)=2.179 이다.) 9 구조식이 xijk=μ+ai+bj+ck+eijk 인 라틴방격법에서 수준수가 4일 때, 데이터를 정리한 자료가 다음과 같다. 요인 C의 VC는? 10 반복수가 일정하지 않은 1요인 실험 모수모형에서 E(VA)를 구하는 식으로 맞는 것은? (단, l은 요인의 수준수, m은 반복수이다.) 11 L8(27)직교배열표에서 배치할 2수준의 요인수가 3개이고, 교호작용이 2개라면, 오차항의 자유도는? 12 다음은 모수요인 A와 변량요인 B인 난괴법의 데이터 구조식이다. 기본가정이 아닌 것은?
13 모수모형인 반복이 일정한 1요인 실험에서 다음과 같이 분산분석을 하였다. 일 때, 두 평균치 차를 신뢰율 95%로 구간추정하면 약 얼마인가? (단, t0.95(12)=1.782, t0.975(12)=2.179 이다.) 14 표와 같은 1요인 실험의 데이터에서 총 제곱합(ST)을 구하면 약 얼마인가? 15 A, B 2요인이 모두 모수인 반복 없는 2요인 실험에서 A, B가 모두 유의하고, 최적조건이 A2B1 일 때의 점추정식은? 16 어떤 합성섬유는 온도(x)가 증가함에 따라 수축률(y)이 직선적인 함수관계를 가지고 있다고 한다. 이를 확인하기 위하여 다음과 같은 데이터를 얻었다. 이를 이용하여 결정계수를 구하면 얼마인가? 17 다음 표와 같은 모수모형 반복 있는 2요인 실험의 분산분석에서 교호작용을 무시했을 때의 요인 B의 분산비(F0)는 약 얼마인가? 18 2 수준계 직교배열표의 설명으로 틀린 것은? 19 검사원들간의 측정값의 차이를 분석하기 위해 4명의 검사원을 랜덤으로 뽑아 표준시료를 동일한 계측기로 5회씩 반복하여 측정하도록 하였다. 측정 결과를 활용하여 작성한 분산분석표가 다음과 같을 때, 요인 A의 산포의 추정치()는 약 얼마인가? 20 실험계획법의 목적으로 가장 거리가 먼 것은? 21 n=4인 관리도에서 =25.22 이다. 이 공정의 군내변동()과 군간변동()은 각각 약 얼마인가? (단, 이다.) 22 석탄의 발열량을 측정하고자 적재량이 10톤인 트럭 10대에서 5대를 랜덤하게 취하고, 그 5대의 트력에서 30g씩 표본을 취하는 샘플링 방법을 무엇이라 하는가? 23 검사특성(OC) 곡선에서 부적합품률이 합격품질수준(P0, AQL)인 로트가 합격할 확률은? 24 관리도에 관한 설명으로 틀린 것은?
25 어떤 공정을 조사해 본 결과 다음과 같은 데이터를 얻었다. 이때 변동계수는 약 얼마인가? 26 제1종의 오류에 대한 내용으로 맞는 것은? 27 R 관리도 중 관리한계가 3σ법에 따라 유도될 때에 관리한계(UCL, LCL)를 표현한 것으로 틀린 것은? 28 계수형 샘플링검사 절차 - 제1부:로트별 합격품질한계(AQL) 지표형 샘플링검사방식(KS Q ISO 2859-1:2014)에 정의된 기호의 설명으로 틀린 것은? 29 샘플의 품질표시방법에 해당되지 않는 것은? 30 표본의 부적합수가 25일 때, 모부적합수에 대한 95% 양쪽 신뢰한계의 신뢰하한값은 얼마인가? (단, u0.95=1.645, u0.975=1.96, u0.99=2.326, u0.995=2.576 이다.) 31 M 부품의 기본치수가 20cm이고, 그 허용차가 ±0.05cm로 주어졌을 때, n=8, k=1.74가 되는 계수 및 계량 규준형 1회 샘플링 검사(KS Q 0001:2013) 중 계량 규준형 1회 샘플링 검사 방식에서 과 는 각각 약 얼마인가? (단, σ=0.015, α=0.05, β=0.10 이다.) 32 관리도 - 제2부:슈하트 관리도(KS Q ISO 7870-2:2014)에서 정의된 계수형 관리도가 아닌 것은? 33 합리적인 군구분이 안 될 때 사용하는 관리도는? 34 확률에 대한 설명으로 틀린 것은? 35 A제조회사가 제조하는 핀의 지름은 모표준편차가 0.12cm인 정규분포를 따른다. 제조법을 개량하여 제품에서 10개를 추출하여 조사한 결과 시료표준편차는 0.1cm이었다. 핀의 변동 폭이 작아졌다고 할 수 있는지 5%의 유의수준으로 검정할 때의 사항으로 맞는 것은? 36 모평균의 구간추정에 대한 설명으로 틀린 것은?
49 전사적 자원관리(Enterprise Resource Planning, ERP)의 특징으로 틀린 것은? 50 PERT에서 어떤 활동의 3점시간 견적 결과 (낙관치=4, 정상치=10, 비관치=10)를 얻었다. 이 활동시간의 기대치(te)와 분산(σ2)의 추정치는 각각 얼마인가? 51 작업공정도(Operation process chart)를 작성할 때 사용하는 공정 도시 기호는? 52 메모모션 분석을 적용하기에 적절하지 않은 것은? 53 단순지수평활법에서 특정 기간의 수요예측치를 구하기 위하여 반드시 필요한 자료가 아닌 것은? 54 어떤 작업자의 시간연구결과 단위당 정미시간이 20분 소요되었다. 여유율이 정미시간의 10%일 때 외경법으로 계산한 표준시간은? 55 자주보전활동 중 “설비의 기능구조를 알고 보전기능을 몸에 익힌다.”라는 내용은 어느 단계에 해당되는가? 56 새로운 설비를 계획하거나 건설할 때 보전정보나 새로운 기술을 고려하여 신뢰성, 보전성, 경제성, 조작성, 안전성 등이 높은 설계로 하여 설비의 열화손실을 적게 하는 활동을 무엇이라 하는가? 57 MRP 시스템에서 MRP의 구성 요소들의 조립순서를 나타내고, 각 조립순서의 단계별로 필요한 소요량과 조달기간을 결정하는 것은? 58 PTS 법의 종류 중 MTM(Method-Time Measurement)에 관한 설명으로 맞는 것은? 59 테일러 시스템과 가장 관계가 깊은 것은? 60 PERT/CPM 에 대한 설명으로 틀린 것은?
73 고객 요구 품질과 제품의 기능을 기본기능, 2차 기능, 3차 기능으로 전개하여 2원 매트릭스표로 상호 연관 관계를 분석 정리하여 고객에게 가장 중요한 제품기능을 추출하는 과정을 무엇이라 하는가? 74 어떤 조립품의 구멍과 축의 치수가 다음 표와 같이 주어질 때, 최소틈새는 얼마인가? 75 품질시스템이 제대로 구축되려면 회사에서 품질개념을 제일 우선시해야 한다. 품질개념을 중시하는 기업문화를 설명한 것으로 틀린 것은? 76 제품 사용 시 사고가 발생했을 때의 대책으로 피해자의 구제조치가 우선하는 것은? 77 품질경영시스템 - 요구사항(ISO 9001:2015)에서 제시하는 품질경영의 기본적인 원칙으로 볼 수 없는 것은? 78 제품이나 서비스의 품질을 개선하고 유지⋅관리에 소요되는 비용과, 그럼에도 불구하고 발생되는 실패비용을 포함하여 품질코스트라 한다. 품질코스트의 종류 중 관리가 가능한 비용으로 적합코스트에 해당하는 것은? 79 제품 또는 서비스가 소정의 품질요구사항을 지니고 있다는 타당한 신뢰감을 주기 위해 필요한 계획적이고 체계적인 활동을 의미하는 것은? 80 복잡한 요인이 얽힌 문제에 대하여 그 인과관계를 명확히 함으로써 적절한 해결책을 찾는 방법으로, 각 요인의 인과관계를 논리적으로 연결하여 적절한 문제해결을 이끌어 내는 데 유효한 수법을 무엇이라 하는가?
App Store Google Play
오늘학습 예시 이미지

시험에 합격하려면
복습을 제대로 해야 합니다.

오늘학습은 스스로 기억을 떠올리고 계획적으로 복습할 수 있도록 설계돼 있어요.
그것도, 가장 과학적인 방식으로요!

능동적 회상

능동적 회상
(Active Recall)

배운 내용을 단순 읽으며 반복하는 것이 아니라,
능동적으로 기억하고 있는지를
스스로 테스트하며
공부할 수 있는
학습 환경을 제공해 학습 효과를 높여요

간격 반복 학습

간격 반복 학습
(Spaced Repetition)

에빙하우스 망각곡선을 바탕으로
가장 최적의 시점에 복습을 제공하여
배운 내용이 잊히지 않도록 장기 기억화해요

Data 기반의
뇌과학적 복습 시스템

학습 결과 Data를 분석해, 문제별 최적화된
반복 학습량을
자동으로 분배해요.
학습에 소요되는 시간을 최소화하는
동시에
단기 기억을 장기 기억으로 전환해줘요.

36만 개 이상의
기출문제 무료 제공

공무원 및 약 300여종의 자격증 시험 기출문제
36만개
이상을 무료로 이용할 수 있어요.
여러 앱을 설치할 필요
없이, 오늘학습 하나로
모든 시험을 준비할 수 있어요.

다양한 문제 유형으로 만드는
나만의 단어장&문제집

기출 외에도 외워야 하는 내용은
객관식, 주관식, 카드, 빈칸
등 다양한 형식으로
직접 만들어 보세요. 내 학습 스타일에
맞게
나만의 단어장과 문제집을 만들 수 있어요.

시험별 체계적인
문제 관리

시험에 문제를 추가해 체계적으로
관리할 수 있어요.
주제나 단원별로
분류하고 싶다면,
시험에 챕터를 만들어
문제를 추가할 수도 있어요.

수십만 명이
오늘학습을 사랑합니다

앱 스토어 평점 4.9
구글 플레이 평점 4.8
누적 회원수 100,000+
지금 오늘학습을
시작해보세요
지금 시작하기
문제 선택