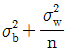
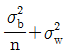
관리도에서 플로트(Plot)된 점의 변동을 표현하는 식으로 맞는 것은? (단, 은 군내변동, 은 구간변동, n은 표본의 크기이다.)
지금 시작하기 →

・・・ 문제은행 품질경영산업기사(2016년 1회) 23번

품질경영산업기사 2016년 03월 23번

관리도에서 플로트(Plot)된 점의 변동을 표현하는 식으로 맞는 것은? (단, 은 군내변동, 은 구간변동, n은 표본의 크기이다.)

1
2
3
4
단축키
이전 문제로 이동은 키를 누르고, 다음 문제로 이동은 키를 누르세요
이전 문제 , 다음 문제
문제(80)
1 분산분석의 결과가 표와 같을 대 오차의 기여울(ρe)은 약 얼마인가? 2 벼의 품종을 n개 블록으로 층별한 논에 따라 수확량의 차이가 있는가를 알아보기 위하여 서로 다른 4개 볍씨를 n개 블록의 논에 랜덤하게 심어서 실험을 하고자 하는 경우 가장 적절한 실험법은? 3 인자가 A, B인 2원배치 실험에서 교호작용을 분리하려고 반복 2회 실험을 하였다. A의 자유도가 4이고, 교호작용의 자유도가 20이면 B의 수준수는? 4 실험계획의 기본원리 중 오차항의 자유도가 커져 오차의 평균제곱(Ve)의 정도가 좋게 추정됨으로써 실험결과의 신뢰성을 높일 수 있는 것은? 5 반복이 없는 2원배치 실험에서 결측치가 생겼을 때 결측치를 추정하는 데 사용하는 방법은? 6 어떤 화학반응 실험에서 농도를 4수준으로 반복수가 일정하지 않은 실험을 하여 표와 같은 데이터를 얻었다. 분산분석 결과 오차의 평균제곱 Ve=167.253이다. A4와 A2의 평균치 차를 유의수준 0.01로 검정하고자 한다. 평균치 차가 약 얼마 이상일 때 평균치 차가 있다고 할 수 있는가? (단, t0.995(15)=2.947, t0.99(15)=2.602이다.) 7 변량인자 A로 반복수가 같은 1원 배치 실험에 대한 설명으로 맞는 것은? 8 인자 A의 수준수가 3인 1원 배치 실험에서 반복수가 일정하지 않은 경우, 인자 A의 제곱합(SA)을 구하는 식으로 맞는 것은? (단, 각 i 수준에서 합계는 Tiㆍ, 반복수는 ni이며, 수정항은 CT이다.) 9 A는 4수준, B는 5수준 반복이 없는 2원 배치 실험의 분산분석 결과가 [표]와 같을 때, ㉠과 ㉡에 들어갈 값은 약 얼마인가? (단, 인자 A, B는 모두 모수인자이다.) 10 라틴방격법에 관한 설명으로 맞는 것은? 11 다음의 데이터는 기계 종류별로 생산된 제품들 중 각각 100개씩 샘플을 뽑아 적합품과 부적합품으로 구분한 것이다. 오차의 자유도 ve는? 12 인자 A가 4수준, 인자 B가 3수준인 반복 없는 2원 배치 실험에서 유효반복수(ne)는? (단, A, B는 모두 모수인자이며, 분산분석 후 두 인자 모두 유의하였다.)
13 다음은 모수인자 A, B에 대한 반복 없는 2원 배치 실험 데이터 및 분산분석표이다. 이 실험에 관한 내용으로 틀린 것은? (단, 실험의 품질 특성은 망대특성이다.) 14 2준수계 직교배열표에서 L8(27)의 경우 실험횟수는 몇 회인가? 15 모수인자 A가 4수준, 변량인자 B 3수준으로, 반복 없는 2원 배치 실험을 행하였을 때 인자 A의 기대평균제곱 E(VA)는? 16 인자 A의 수준수를 4로 하여 각 수준마다 반복 4회의 실험을 랜덤한 순서로 행한 후, 분산 분석표를 작성하여 총 제곱합(ST)=7.35, 인자 A의 제곱합(SA)=3.87을 얻었다. 오차의 제곱합(Se)의 값은? 17 윤활유 정제공장에서 온도(A), 원료(B), 부원료(C)에 대하여 각각 3수준의 라틴방격 실험 한 후 Xijk=xijk-40으로 수치변환한 결과가 다음 표와 같았다. 이때 인자 A의 제곱합(SA)은? 18 인자 A는 3수준, 인자 B 4수준, 반복 2회의 2원 배치(모수모형) 실험을 행했을 때 수준조합 AiBj의 모평균의 추정에 관한 내용으로 맞는 것은? (단, A, B는 모수이다.) 19 기본표시가 [표]와 같은 LS(27)형 직교배열표에서 요인 A, B, C, D 를 순서대로 1, 3, 5, 7열에 배치한 경우 A×C 와 별명관계에 있는 요인은? 20 1원배치 실험에 대한 단순회기 분산분석표가 표와 같을 때, 결정계수는 약 얼마인가? 21 대응되는 두 변수 X, Y에 대한 자료가 다음과 같을 때 공분산은 약 얼마인가? 22 검사특성곡선에 관한 설명으로 틀린 것은? (단, N은 로트의 크기, n은 표본의 크기, c는 합격판정 개수, N>10n이다.) 23 관리도에서 플로트(Plot)된 점의 변동을 표현하는 식으로 맞는 것은? (단, 은 군내변동, 은 구간변동, n은 표본의 크기이다.) 24 KS Q ISO 8422 : 2009 규격에서 hA=1.445, hR=1.855, g=0.1103인 100항목당 부적합수 검사를 위한 축차 샘플링 방식에서 누계 샘플 크기 중지 값은 얼마인가? (단, 대응하는 1회 샘플링 방식은 모른다.)
37 학생 100명을 무작위로 추출하여 조사한 결과 80명이 현장근무를 원하였다. 현장근무의 선호율에 대한 95% 신뢰구간을 구하면 약 얼마인가? 38 이항분포에서 정규분포로 근사시킬 수 있는 조건으로서 맞는 것은? 39 헤드라이트를 생산하는 제조회사에서 1개월 동안 매일 상이한 개수의 표본을 수집하여 부적합품률을 조사하였다. 이 공정을 관리하는 데 적합한 관리도는? 40 KS Q 0001 : 2013 규격에서, 계량 규준형 1회 샘플링 검사방식 표준편차(σ) 기지일 경우, 로트의 평균치를 보증하는 경우에 G0 값은 약 얼마인가?(단, 표본의 크기 n=8, α=0.05, β=0.10,Kα=1.645 이다.) 41 작업분석 시 작업조건에 대한 개선사항으로 고려해야 될 사항 중 틀린 것은? 42 설비보전사상의 발전과정으로 맞는 것은? 43 자주보전 7스템 활동에 해당되지 않는 것은? 44 ABC 분석기법에서 A급 품목은 비용이 크고, 품목수가 적기 때문에 중점관리하여 재고비용을 단축시켜야 한다. A급의 품목의 재고비용을 감소시키는 방법이 아닌 것은? 45 요소작업에 대한 시간을 관측하고자 할 때의 관측방법 중 비교적 긴 요소작업으로 구성된 작업측정에 가장 적합한 것은? 46 한 공정에 한 사람이 작업하는 5개 공정의 작업시간이 각각 17분, 12분, 15분, 13분, 10분일 경우, 이 공정 전체의 라인밸런스 효율은 약 몇 %인가?(오류 신고가 접수된 문제입니다. 반드시 정답과 해설을 확인하시기 바랍니다.) 47 PERT의 각 활동에 있어서 시간추정치에 사용되는 분포는 무엇인가? 48 재고 관련 비용 중 재고유지비(Holding Cost)에 해당되지 않는 것은?
61 국가적 표준의 대상이 아닌 것은? 62 전사적 품질관리 활동의 일환으로 전원참여를 통하여 자기계발 및 상호개발을 행하고, QC수법을 활용하여 직장의 관리, 개선을 지속적으로 행하는 것은? 63 일반적으로 과학기술계 표준은 크게 3가지로 구분할 수 있다. 3가지 구분에 포함되지 않는 것은? 64 카노(Kano) 박사는 고객이 기대하는 품질관점에서 시장품질을 여러 가지 요소로 고찰하였다. 그 중 충족되면 만족을 주지만 충족되지 않으면 불만을 일으키는 품질요소는? 65 규격이 75±3.5인 품질특성에 대한 공정의 모표준편차가 1.046으로 관리되고 있다. 이 공정의 공정능력지수(Cp)를 평가하면 몇 등급인가? 66 다음 중 품질보증을 하기 위한 제품기획단계에서 제일 먼저 해야 할 것은? 67 품질경영시스템-기본사항과 용어(KS Q ISO 9000 : 2015) 규격에서 제품에 해당하는 것이 아닌 것은? 68 데이터를 간단히 수집할 수 있고, 계수치 데이터가 분류항목별로 어디에 집중되어 있는가를 알아보기 쉽게 나타낸 그림이나 표를 무엇이라 하는가? 69 품질경영시스템-요구사항(KS Q ISO 9001 : 2015) 규격에 명시된 품질경영원칙이 아닌 것은? 70 품질특성의 평균이 36.10mm이고, 표준편차가 0.03mm였다. 이 제품의 규격상한(U)이 36.20mm일 때 공정능력지수(CpkU)는 약 얼마인가? (단, 이 제품은 규격상한만 있다.) 71 표준수 및 표준수 수열 사용 지침(KS Q ISO 17 : 2012) 규격에 관한 설명으로 틀린 것은? 72 우리나라의 시험기관, 교정기관 검사기관 및 표준물질 생산기관 등 인정업무를 수행하고 있는 조직은?
App Store Google Play
오늘학습 예시 이미지

시험에 합격하려면
복습을 제대로 해야 합니다.

오늘학습은 스스로 기억을 떠올리고 계획적으로 복습할 수 있도록 설계돼 있어요.
그것도, 가장 과학적인 방식으로요!

능동적 회상

능동적 회상
(Active Recall)

배운 내용을 단순 읽으며 반복하는 것이 아니라,
능동적으로 기억하고 있는지를
스스로 테스트하며
공부할 수 있는
학습 환경을 제공해 학습 효과를 높여요

간격 반복 학습

간격 반복 학습
(Spaced Repetition)

에빙하우스 망각곡선을 바탕으로
가장 최적의 시점에 복습을 제공하여
배운 내용이 잊히지 않도록 장기 기억화해요

Data 기반의
뇌과학적 복습 시스템

학습 결과 Data를 분석해, 문제별 최적화된
반복 학습량을
자동으로 분배해요.
학습에 소요되는 시간을 최소화하는
동시에
단기 기억을 장기 기억으로 전환해줘요.

36만 개 이상의
기출문제 무료 제공

공무원 및 약 300여종의 자격증 시험 기출문제
36만개
이상을 무료로 이용할 수 있어요.
여러 앱을 설치할 필요
없이, 오늘학습 하나로
모든 시험을 준비할 수 있어요.

다양한 문제 유형으로 만드는
나만의 단어장&문제집

기출 외에도 외워야 하는 내용은
객관식, 주관식, 카드, 빈칸
등 다양한 형식으로
직접 만들어 보세요. 내 학습 스타일에
맞게
나만의 단어장과 문제집을 만들 수 있어요.

시험별 체계적인
문제 관리

시험에 문제를 추가해 체계적으로
관리할 수 있어요.
주제나 단원별로
분류하고 싶다면,
시험에 챕터를 만들어
문제를 추가할 수도 있어요.

수십만 명이
오늘학습을 사랑합니다

앱 스토어 평점 4.9
구글 플레이 평점 4.8
누적 회원수 100,000+
지금 오늘학습을
시작해보세요
지금 시작하기
문제 선택