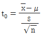
스프링 제조공장에서 인장강도의 평균에 관한 검정을 하고자 한다. 과거의 관리기록이 없다면, 이에 적절한 검정 통계량은? (단, 표본의 수는 적다라고 가정하며, 재곱합 이다.)
지금 시작하기 →

・・・ 문제은행 품질경영산업기사(2016년 2회) 35번

품질경영산업기사 2016년 05월 35번

스프링 제조공장에서 인장강도의 평균에 관한 검정을 하고자 한다. 과거의 관리기록이 없다면, 이에 적절한 검정 통계량은? (단, 표본의 수는 적다라고 가정하며, 재곱합 이다.)

1
2
3
4
단축키
이전 문제로 이동은 키를 누르고, 다음 문제로 이동은 키를 누르세요
이전 문제 , 다음 문제
문제(80)
1 2요인 실험(이원배치 실험)에 관한 설명으로 틀린 것은? 2 모수요인(모수인자)인 온도의 3수준을 실험에서 고려하고자 한다. 온도의 각 수준은 실험자의 경험에 따라, 100, 120, 140℃로 고려하였다. i번째 수준에서 j번째 반복 실험 결과인 xij에 대해 다음과 같은 모형을 설정하였다. 모형의 가정으로 맞는 것은? 3 반응시간 A, 반응온도 B, 촉매종류 C 의 3가지요인(인자)을 택해 다음과 같은 라틴방격을 사용하여 실험배치를 행하였을 경우 오차항의 자유도(ve)는 얼마인가? 4 반복수가 일정하지 않은 모수모형의 1요인 실험(일원배치 실험)에 관한 설명으로 틀린 것은? 5 난괴법 실험에서 요인(인자)A는 모수요인(모수인자)으로 3수준, 요인(인자) B는 변량요인(변량인자)으로 5수준일 때 B 의 산포를 구하기 위한 의 추정값은? 6 A는 모수요인(모수인자), B는 블록요인(블록인자)인 난괴법에서 인자 B의 제곱합 는 약 얼마인가? 7 실험계획법에 사용하는 오차항의 가정 중 등분산성에 대한 설명으로 옳은 것은? 8 반복 있는 2요인 실험(이원배치 실험)에 대한 설명으로 틀린 것은? 9 x는 예측변수, y는 반응변수이며, x의 제곱합 S(xx)=90, y의 제곱합 S(yy)=400, 회귀에 의하여 설명되는 제곱합 SR=360이었다. 이 때 결정계수(r2)는 얼마인가? 10 어떤 화학반응 실험에서 농도를 4수준으로 반복수가 일정하지 않은 실험을 하여 다음의 표와 같이 데이터를 얻었다. 분산분석결과 Vs=167.253이다. μ(A1)과 μ(A4)의 평균치차를 α=0.05로 검정하고자 한다. 평균치 차가 얼마 이상일 때 평균치 차가 있다고 할 수 있는가? (단, t0.975(15)=2.131, t0.97(15)=1.753이다.) 11 모수모형 2요인 실험(이원배치 실험)의 분산분석표에서 교호작용을 무시하였을 경우 요인 B의 분산비(F0)는 약 얼마인가? 12 다음 표는 라틴방격법에 의한 실험결과를 분산분석한 결과의 일부이다. 검정결과로 맞는 것은? (단, F0.95(2,2)=19.0, F0.99(2,2)=99.0이다.)
13 4대의 기계에 제품을 각 100개씩 만들어, 적합품이면 0, 부적합품이면 1의 값을 주기로 하였다. 그 결과가 다음 표와 같을 때 오차항의 제곱합(Se)은 얼마인가? 14 1요인 실험(일원배치 실험)에서 총제곱합 ST=1.01이고, A요인의 순제곱합 SA'=0.40 일 때 기여율 ρA는 약 얼마인가? 15 직교배열표를 사용한 실험의 장점이 아닌 것은? 16 강력 접착제의 응집력을 높이기 위해서 4요인 A,B,C,D가 중요한 작용을 한다는 것을 알고, 각각 2수준씩을 선택하여 Ls(27)직교배열표를 이용한 실험의 결과로 다음 표와 같은 결과를 얻었다. 총제곱합(ST)은 얼마인가? (단, 제곱합 이다.) 17 여러 명의 작업자 중 랜덤하게 5명을 선정해 어떤 화학약품을 동일 장치로 3회 반복하게 하여 분석시켰을 때, 분산분석표가 다음과 같다면 는 약 얼마인가? 18 어떤 공장에서 제품의 강도에 영향을 미칠 것으로 생각되는 온도(A) 3수준과 촉매량(B) 4수준으로 하여 반복이 없는 2요인 실험(이원배치 실험)을 실시하고 분산분석한 결과 오차항의 제곱합으로 108을 얻었다. 요인(인자) A의 각 수준에서 모평균의 95%신뢰구간은? 19 실험계획법의 기본원리가 아닌 것은? 20 요인(인자) A는 3수준, 요인(인자) B는 3수준인 반복 없는 2요인 실험(이원배치실험)에서 결측치가 2개 발생하였을 때 오차항의 자유도(vs)는 얼마인가? 21 계수 및 계량 규준형 1회 샘플링 검사(KS Q 0001:2013)에서 “계수 규준형 1회 샘플링검사”에 대한 설명으로 맞는 것은? 22 그림은 N 과 n이 일정하고, 합격판정개수의 변화에 따른 OC곡선의 변화를 나타낸 것이다. 각 OC곡선과 샘플링 검사 방식을 맞게 연결시킨 것은? 23 관리도에서 의 변동 는 군간변동()과 군내변동()으로 구성된다. 개개 데이터의 산포()를 히스토그램에서 구할 때 필요한 식은? (단, n은 부분군의 크기를 의미한다.) 24 어떤 회사에서 제조하는 제품 15개를 추출하여 중량에 대한 표본 분산을 계산한 결과 10g이 나왔다. 위험률 α=5%로 제품중량에 대한 분산이 8g을 넘을 것인지 검정을 하였을 때의 결과로 맞는 것은? (단, 제품 중량은 정규분포를 따른다고 가정하며, 이다.)
25 A공정에서 제조된 로트로부터 150개의 샘플을 취해서 검사해 본 결과 3개의 부적합품이 나왔다. 모부적합품률의 신뢰구간(confidence interval)은 약 얼마인가? (단, 신뢰율 95%이다.) 26 부적합품률이 0.05인 모집단에서 4개의 표본을 샘플링(sampling)할 때 부적합품이 하나도 없을 확률은 약 얼마인가? (단, 푸아송분포를 이용하여 구하시오.) 27 검사의 목적에 해당하지 않는 것은? 28 p 관리도에 대한 설명으로 틀린 것은? 29 합리적인 군으로 나눌 수 없는 경우 k=25, ∑X=389.59, ∑Rm=12.40일 때 X관리도의 관리상한(UCL)과 관리하한(LCL)은 약 얼마인가? 30 검정 및 추정에 관련된 설명 중 틀린 것은? 31 계수형 샘플링검사 절차-제1부 : 로트별 합격품질한계(AQL)지표형 샘플링검사 방안(KS Q ISO 2859-1 : 2014)에 따른 계수치 샘플링 검사 중 수월한 검사에서 보통 검사로 복귀되는 경우, 3가지 조건 중 하나만 해당되어 전환된다. 3가지 조건에 해당되지 않는 것은? 32 상관계수의 검정에서 r표를 활용하는 경우, r0>r1-α/2(v)또는 r0<-r1-α/2(v)일 때의 내용 중 맞는 것은? (단, v=n-2이다.) 33 계수 및 계량 규준형 1회 샘플링 검사(KS Q 0001:2013)의 계량 규전형 1회 샘플링 방식(표준편차 기지)에서 로트의 로트의 평균치를 보증할 때 특성치 높은편이 좋은 경우의 하한 합격 판정치()을 구하는 식으로 맞는 것은? 34 X 공장에서 생산하는 탁구공의 지름은 대략 평균 1.30인치, 표준편차 0.04인치인 정규분포를 따르는 것으로 알려져 있다. 탁구공의 지름이 1.28인치에서 1.30인치 사이일 확률은? (단, u~N(0, 12)일 때, P(0≤u≤0.5)0.1915, P(0≤u≤1.0)=0.3413이다.) 35 스프링 제조공장에서 인장강도의 평균에 관한 검정을 하고자 한다. 과거의 관리기록이 없다면, 이에 적절한 검정 통계량은? (단, 표본의 수는 적다라고 가정하며, 재곱합 이다.) 36 전선 1000m를 하나의 검사단위로 할 때, 이 전선의 검사단위당 편균부적합수 를 추정하여 보니 5.4이었다. 이 공정의 부적합수 관리를 위한 c 관리도의 3σ관리한계(control limit)로 맞는 것은? (단, 관리상한은 UCL, 관리하한은 LCL이다.)
37 부분군의 크기(n)가 4인 부분군의 수(k) 25개를 조사한 결과 을 얻었다. 이때 관리도의 관리상한(UCL)은 약 얼마인가? (단, n=4 일 때 d2=2.059이다.) 38 자료의 중심적 경향을 나타내는 척도가 아닌 것은? 39 관리도에 타점하는 통계량(statistic)은 정규분포를 한다고 가정한다. 공정(모집단)이 정규분포를 이룰 때에는 표본의 분포는 언제나 정규분포를 이루지만, 공정의 분포가 정규분포가 아니더라도 표본의 크기가 클수록 정규분포에 접근한다는 이론은? 40 상자 속에 12개의 제품이 들어있는데 그중에서 4개가 부적합품이다. 상자에서 임의로 1개씩 두 번 추출할 때 2개가 모두 합격품일 확률을 구하면? (단, 한 번 꺼낸 것은 되돌려 넣지 않는다.) 41 라인밸런스 효율(Eb)를 구하는 공식은? (단, n : 작업자 수, tmax:neck time, ∑ti : 공정시간의 합계) 42 일정계획에 따라 작업순서를 정하여 명령 또는 지시하는 것으로 실제의 생산활동을 집행하는 역할을 하는 것은 무엇인가? 43 내경법에서 여유율을 산출하는 공식으로 맞는 것은? 44 다음 자료를 이용하여 긴급률법에 의한 작업순서로 바르게 나열한 것은? 45 보전비용이 적게 들도록 재료를 개선하거나, 보다 용이한 부품 교체가 가능하도록 설비의 체질을 개선해서 수명연장, 열화방지 등의 효과를 높이는 보전 활동은? 46 자동차 조립공정의 소요시간이 낙관치(a)=4, 정상치(m)=6, 비관치(b)=8일 때 기대시간값(te)과, 분산(σ2)을 각각 구하면 얼마인가? 47 생산형태 중 생산량과 기간에 따른 분류에 해당되지 않는 것은? 48 자재구입 시 가치분석을 이용할 때 가치분석의 단계 중 맞는 것은?
61 목적하는 모집단의 참값과 측정 데이터와의 차를 무엇이라 하는가? 62 품질경영 교육방법으로 실시하는 교육 내용에 따른 분류가 아닌 것은? 63 게하니(Gehani)교수가 구상한 품질가치사슬에서 TQM의 전략목표인 고객만족품질을 얻는 데 융화되어야 할 3가지 품질로 제시된 사항이 아인 것은? 64 기업이 품질경영시스템 – 요구사항(KS Q ISO 9001:2015)을 도입할 때 주의사항으로 틀린 것은? 65 제품이나 서비스의 품질을 개선하고 유지∙관리에 소요되는 비용과 그럼에도 불구하고 발생되는 실패비용을 포함하여 품질코스트라 한다. 품질코스트의 종류 중 관리가 가능한 비용으로 독립변수에 해당되는 코스트는? 66 표와 같이 조립품의 구멍과 축의 치수가 주어졌을 때 0.0065가 의미하는 것은? 67 생산단계에서 설계품질에 적합하도록 제조품질을 확보하기 위한 품질관리 활동에 해당되지 않는 것은? 68 품질경영시스템인증과 제품인증의 차이점은? 69 제조업자가 합리적인 설명∙지시∙경고 또는 그밖의 표시를 하였더라면 해당 제조물에 의하여 발생할 수 있는 피해나 위험을 줄이거나 피할 수 있었음에도 이를 하지 아니한 경우의 결함은? 70 기업경영의 합리화 방법인 “3S”가 의미하는 것은 무엇인가? 71 표준의 서식과 작성방법(KS A 0001:2015)에서 그 앞에 있는 수치를 포함시키는 뜻을 가진 용어는? 72 어떤 품질특성의 규격이 12.0±2.0으로 주어져 있다. 평균이 11.5, 표준편차가 0.5라고 할 때 공정능력지수(CP)는 약 얼마인가?
App Store Google Play
오늘학습 예시 이미지

시험에 합격하려면
복습을 제대로 해야 합니다.

오늘학습은 스스로 기억을 떠올리고 계획적으로 복습할 수 있도록 설계돼 있어요.
그것도, 가장 과학적인 방식으로요!

능동적 회상

능동적 회상
(Active Recall)

배운 내용을 단순 읽으며 반복하는 것이 아니라,
능동적으로 기억하고 있는지를
스스로 테스트하며
공부할 수 있는
학습 환경을 제공해 학습 효과를 높여요

간격 반복 학습

간격 반복 학습
(Spaced Repetition)

에빙하우스 망각곡선을 바탕으로
가장 최적의 시점에 복습을 제공하여
배운 내용이 잊히지 않도록 장기 기억화해요

Data 기반의
뇌과학적 복습 시스템

학습 결과 Data를 분석해, 문제별 최적화된
반복 학습량을
자동으로 분배해요.
학습에 소요되는 시간을 최소화하는
동시에
단기 기억을 장기 기억으로 전환해줘요.

36만 개 이상의
기출문제 무료 제공

공무원 및 약 300여종의 자격증 시험 기출문제
36만개
이상을 무료로 이용할 수 있어요.
여러 앱을 설치할 필요
없이, 오늘학습 하나로
모든 시험을 준비할 수 있어요.

다양한 문제 유형으로 만드는
나만의 단어장&문제집

기출 외에도 외워야 하는 내용은
객관식, 주관식, 카드, 빈칸
등 다양한 형식으로
직접 만들어 보세요. 내 학습 스타일에
맞게
나만의 단어장과 문제집을 만들 수 있어요.

시험별 체계적인
문제 관리

시험에 문제를 추가해 체계적으로
관리할 수 있어요.
주제나 단원별로
분류하고 싶다면,
시험에 챕터를 만들어
문제를 추가할 수도 있어요.

수십만 명이
오늘학습을 사랑합니다

앱 스토어 평점 4.9
구글 플레이 평점 4.8
누적 회원수 100,000+
지금 오늘학습을
시작해보세요
지금 시작하기
문제 선택