관수로에서 레이놀즈수(Reynolds number)에 관한 설명으로 옳은 것은?
지금 시작하기 →

・・・ 문제은행 정수시설운영관리사 1급 1차(2022년 1회) 62번

정수시설운영관리사 1급 1차 2022년 05월 62번

관수로에서 레이놀즈수(Reynolds number)에 관한 설명으로 옳은 것은?

1
관성력과 중력의 비로 나타낸다.
2
상류와 사류를 구분할 때 이용된다.
3
한계 레이놀즈수는 관입구의 모양에 영향을 받지 않는다.
4
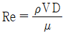
레이놀즈수의 정의는 이다. 여기서, μ=점성계수, ρ=유체의 밀도, V=단면 평균유속, D=관경이다.
단축키
이전 문제로 이동은 키를 누르고, 다음 문제로 이동은 키를 누르세요
이전 문제 , 다음 문제
문제(80)
25 먹는물수질공정시험기준상 탁도 표준용액에 관한 설명이다. ( )에 들어갈 내용으로 옳은 것은? 26 상수원관리규칙상 원수의 수질검사방법에 관한 설명으로 옳은 것은? 27 먹는물 수질감시항목 운영 등에 관한 고시상 먹는물 수질감시항목에 관한 설명으로 옳지 않은 것은? 28 물환경보전법령상 수질오염경보제 대상 남조류로 옳지 않은 것은? 29 8,000m3 용량의 정수장에서 최대통과유량이 8,000m3/h이고, 장폭비(L/W)에 따른 환산계수가 0.2이다. 이때 CT계산값은? (단, 연속측정장치로 측정된 잔류소독제 농도는 최솟값 0.2mg/L, 평균값 0.8mg/L, 최댓값 1.2mg/L 이다.) 30 수도법령상 일반수도사업자가 준수해야 할 정수처리된 물의 탁도 등의 기준에 관한 설명이다. ( )에 들어갈 내용으로 옳은 것은? 31 막여과 정수시설의 설치기준상 용어로, 정밀여과막의 공경을 직접 측정하는 것이 곤란하여 버블포인트법, 수은압입법, 지표군 등을 이용한 간접법으로 분리성능을 마이크로미터(μm) 단위로 나타낸 것은? 32 수처리제의 기준과 규격 및 표시기준상 활성탄의 pH 측정법으로 옳지 않은 것은? 33 고도정수처리공정에서 오존이용률(또는 흡수율) 산출 공식으로 옳은 것은? 34 먹는믈관리법상 환경부장관이 지정한 검사기관 준수사항이다. ( )에 들어갈 내용으로 옳은 것은? 35 지하수법상 명시된 용어의 정의이다. ( )에 공통으로 들어갈 내용으로 옳은 것은? 36 물환경보전법상 수실오염사고 대응에 관한 설명이다. ( )에 들어갈 내용으로 모두 옳은 것은?
61 개수로 흐름에 관한 설명으로 옳지 않은 것은? 62 관수로에서 레이놀즈수(Reynolds number)에 관한 설명으로 옳은 것은? 63 관수로 흐름에서 손실수두에 관한 설명으로 옳은 것은? 64 관로길이 500m, 지름이 100mm인 매끈한 원형관에 40℃의 물이 유량 8.64m3/d로 흐르고 있다. 이 때 마찰손실수두(m)는 약 얼마인가? (단, 중력가속도 9.8m/s2, 40℃ 물의 동점성계수는 0.7×10-6 m2/s 이다.) 65 침전지 바닥 중앙에 위치한 유입부의 반경이 1m, 침전지의 반경이 10m인 원형 침전지의 표면부하율이 200m/d 일 때, 이 침전지의 유입유량(m3/h)은 약 얼마인가? 66 직경이 5m이고, 일 여과량이 1,000m3/d인 여과지에서 매일 10L/m2/s로 10분씩 역세를 실시할 때, 역세척 수량(m3/d)은 약 얼마인가? 67 상수도설계기준상 막여과유속(flux)을 설정할 때 고려할 항목으로 명시된 것을 모두 고른 것은? 68 펌프의 양수량이 0.2m3/s, 전양정이 40m, 회전속도가 1,000rpm 일 때, 펌프의 비속도는 약 얼마인가? 69 관경 30cm, 길이 100m인 관을 통해 실양정 35m 위로 유량 0.2m3/s의 물을 송수하는데 필요한 펌프의 동력(kW)은 약 얼마인가? (단, 관의 마찰손실계수는 0.03, 유입손실계수는 0.5, 유출손실계수는 1.0, 펌프 효율은 80%, 중력가속도는 9.8m/s3이고, 그 외 미소손실은 무시한다.) 70 캐비테이션(공동현상)에 관한 설명으로 옳지 않은 것은? 71 부압(수주분리) 발생 방지법에 관한 설명으로 옳지 않은 것은? 72 펌프를 규정 회전속도 이외의 회전속도를 운전하는 경우, 토출량(Q)과 회전속도(N)의 관계식으로 옳은 것은? (단, N1은 규정 회전속도, N2는 규정 이외의 회전속도, Q1은 규정 회전 시 토츌량, Q2는 규정 이외의 회전 시 토출량이다.)
App Store Google Play
오늘학습 예시 이미지

시험에 합격하려면
복습을 제대로 해야 합니다.

오늘학습은 스스로 기억을 떠올리고 계획적으로 복습할 수 있도록 설계돼 있어요.
그것도, 가장 과학적인 방식으로요!

능동적 회상

능동적 회상
(Active Recall)

배운 내용을 단순 읽으며 반복하는 것이 아니라,
능동적으로 기억하고 있는지를
스스로 테스트하며
공부할 수 있는
학습 환경을 제공해 학습 효과를 높여요

간격 반복 학습

간격 반복 학습
(Spaced Repetition)

에빙하우스 망각곡선을 바탕으로
가장 최적의 시점에 복습을 제공하여
배운 내용이 잊히지 않도록 장기 기억화해요

Data 기반의
뇌과학적 복습 시스템

학습 결과 Data를 분석해, 문제별 최적화된
반복 학습량을
자동으로 분배해요.
학습에 소요되는 시간을 최소화하는
동시에
단기 기억을 장기 기억으로 전환해줘요.

36만 개 이상의
기출문제 무료 제공

공무원 및 약 300여종의 자격증 시험 기출문제
36만개
이상을 무료로 이용할 수 있어요.
여러 앱을 설치할 필요
없이, 오늘학습 하나로
모든 시험을 준비할 수 있어요.

다양한 문제 유형으로 만드는
나만의 단어장&문제집

기출 외에도 외워야 하는 내용은
객관식, 주관식, 카드, 빈칸
등 다양한 형식으로
직접 만들어 보세요. 내 학습 스타일에
맞게
나만의 단어장과 문제집을 만들 수 있어요.

시험별 체계적인
문제 관리

시험에 문제를 추가해 체계적으로
관리할 수 있어요.
주제나 단원별로
분류하고 싶다면,
시험에 챕터를 만들어
문제를 추가할 수도 있어요.

수십만 명이
오늘학습을 사랑합니다

앱 스토어 평점 4.9
구글 플레이 평점 4.8
누적 회원수 100,000+
지금 오늘학습을
시작해보세요
지금 시작하기
문제 선택