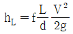
지름 50cm, 길이 1,000m인 원형관에 평균유량 0.1m3/s로 물이 흐르고 있을 때, 관의 마찰손실수두(m)는 약 얼마인가? (단, 관의 마찰손실계수는 0.02이고, 이다.)
지금 시작하기 →

・・・ 문제은행 정수시설운영관리사 1급 1차(2021년 1회) 65번

정수시설운영관리사 1급 1차 2021년 05월 65번

지름 50cm, 길이 1,000m인 원형관에 평균유량 0.1m3/s로 물이 흐르고 있을 때, 관의 마찰손실수두(m)는 약 얼마인가? (단, 관의 마찰손실계수는 0.02이고, 이다.)

1
0.53
2
0.83
3
1.53
4
1.83
단축키
이전 문제로 이동은 키를 누르고, 다음 문제로 이동은 키를 누르세요
이전 문제 , 다음 문제
문제(80)
61 [MLT]계로 표현되는 유속의 차원에 해당하는 것은? (단, [M]은 질량, [L]은 길이, [T]는 시간을 표시하는 차원이다.) 62 물에 관한 설명으로 옳지 않은 것은? 63 베르누이 정리를 응용한 것을 모두 고른 것은? 64 베르누이 정리에서 위치수두와 압력수두의 합을 연결한 선에 해당하는 것은? 65 지름 50cm, 길이 1,000m인 원형관에 평균유량 0.1m3/s로 물이 흐르고 있을 때, 관의 마찰손실수두(m)는 약 얼마인가? (단, 관의 마찰손실계수는 0.02이고, 이다.) 66 관수로에서 흐름이 층류일 때 마찰손실계수에 관한 설명으로 옳지 않은 것은? (단, 마찰손실계수 이다.) 67 다음 중 무차원인 것은? 68 급속여과지에 관한 설명으로 옳지 않은 것은? 69 하루에 3,500m3의 물을 침전처리하기 위 하여 직사각형 침전지를 설계하였다. 이 침전지의 표면부하율(m/d)은 약 얼마인가? (단, 침전지 규모는 폭 6m, 길이 24m, 유효깊이 3.5m 이다.) 70 하천의 평균유속을 1점법으로 계산하는 방법은? (단, Vm은 평균유속이고, V0.2, V0.6, V0.8에서 아래첨자는 수심이 1일 때 수면으로부터 유속을 측정한 지점을 나타낸다.) 71 정수중에 침강하는 입자의 속도를 계산하는 법칙에 해당하는 것은? 72 지름이 40cm인 원형관에 물이 가득차서 흐르고 있다. 관로의 유속이 2.5m/s 일 때, 유량(m3/s)은 약 얼마인가?
App Store Google Play
오늘학습 예시 이미지

시험에 합격하려면
복습을 제대로 해야 합니다.

오늘학습은 스스로 기억을 떠올리고 계획적으로 복습할 수 있도록 설계돼 있어요.
그것도, 가장 과학적인 방식으로요!

능동적 회상

능동적 회상
(Active Recall)

배운 내용을 단순 읽으며 반복하는 것이 아니라,
능동적으로 기억하고 있는지를
스스로 테스트하며
공부할 수 있는
학습 환경을 제공해 학습 효과를 높여요

간격 반복 학습

간격 반복 학습
(Spaced Repetition)

에빙하우스 망각곡선을 바탕으로
가장 최적의 시점에 복습을 제공하여
배운 내용이 잊히지 않도록 장기 기억화해요

Data 기반의
뇌과학적 복습 시스템

학습 결과 Data를 분석해, 문제별 최적화된
반복 학습량을
자동으로 분배해요.
학습에 소요되는 시간을 최소화하는
동시에
단기 기억을 장기 기억으로 전환해줘요.

36만 개 이상의
기출문제 무료 제공

공무원 및 약 300여종의 자격증 시험 기출문제
36만개
이상을 무료로 이용할 수 있어요.
여러 앱을 설치할 필요
없이, 오늘학습 하나로
모든 시험을 준비할 수 있어요.

다양한 문제 유형으로 만드는
나만의 단어장&문제집

기출 외에도 외워야 하는 내용은
객관식, 주관식, 카드, 빈칸
등 다양한 형식으로
직접 만들어 보세요. 내 학습 스타일에
맞게
나만의 단어장과 문제집을 만들 수 있어요.

시험별 체계적인
문제 관리

시험에 문제를 추가해 체계적으로
관리할 수 있어요.
주제나 단원별로
분류하고 싶다면,
시험에 챕터를 만들어
문제를 추가할 수도 있어요.

수십만 명이
오늘학습을 사랑합니다

앱 스토어 평점 4.9
구글 플레이 평점 4.8
누적 회원수 100,000+
지금 오늘학습을
시작해보세요
지금 시작하기
문제 선택