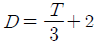
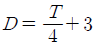
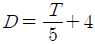
산소-아세틸렌가스 용접에서 판 두께와 토치의 용량에 따라 용접봉 지름을 결정하는데, 모재의 두께가 1[mm]이상일 때 가스용접봉을 결정하는 식은? (단, D : 용접봉의 지름[mm], T : 판 두께[mm])
지금 시작하기 →

・・・ 문제은행 초음파비파괴검사기사(구)(2010년 2회) 96번

초음파비파괴검사기사(구) 2010년 07월 96번

산소-아세틸렌가스 용접에서 판 두께와 토치의 용량에 따라 용접봉 지름을 결정하는데, 모재의 두께가 1[mm]이상일 때 가스용접봉을 결정하는 식은? (단, D : 용접봉의 지름[mm], T : 판 두께[mm])

1
2
3
4
단축키
이전 문제로 이동은 키를 누르고, 다음 문제로 이동은 키를 누르세요
이전 문제 , 다음 문제
문제(100)
1 초음파탐상시험시 미세한 불연속을 찾기 위한 조건으로 가장 적합한 것은? 2 초음파탐상시험시 주의해야 할 사항 중 틀린 것은? 3 경사각 탐촉자를 사용할 때 매질1 에서 매질2 로 초음파가 입사할 때 입사각이 2차 임계각보다 크게 되면 매질2 내에는 어떤 파가 존재하는가? 4 알루미늄과 강의 계면에서 음압반사율은 약 몇 %인가? (단, 알루미늄 : VL = 6320m/s, 밀도 = 2700kg/m3, 강: VL= 5920m/s, 밀도 = 7850kg/m3 이다.) 5 수직탐상시험 할 때 탐촉자의 선정으로 잘못된 것은? 6 두께 25mm인 강판을 굴절각이 70º 인 탐촉자로 탐상한 결과 결함에 대한 빔행정 (beam path distance)이 58.5mm이었다면 이 결함의 깊이는 약 몇 mm 인가? 7 다른 비파괴검사법과 비교한 침투탐상시험의 장점에 대한 설명으로 틀린 것은? 8 전기 회로에 교류를 흘렸을 경우 전류의 흐름을 방해하는 정도를 나타내는 용어는? 9 광학적 성질을 이용한 스트레인 측정법만의 조합으로 옳은 것은? 10 적절한 자화가 이루어지지 않기 때문에 자분탐상시험으로 검사가 곤란하며, 투자율이 공기보다 다소 높은 재질을 무엇이라 하는가? 11 방사선투과시험과 비교하여 초음파탐상시험의 장점을 설명한 것으로 옳은 것은? 12 강자성체가 외부의 자화력에 의해 더 이상 자화되지 않는 온도를 무엇이라 하는가?
25 탐촉자를 이동한 바로 밑의 단면도를 얻는 초음파 탐상의 단면표시 방법은? 26 펄스반사법 탐상장치를 사용하여 평판 맞대기 강용접부를 경사각 탐촉자로 탐상할 때 측정범위를 조정하기 위하여 STB-A7963(Miniature Block) 표준시험편을 사용했다. 초음파 빔의 방향이 곡률반경 25mm 쪽 곡면을 향하였을 때 나타나는 에코가 아닌 것은? 27 펄스반사법에 의한 탐상장치를 사용하여 두께 150mm 의 봉강을 수직탐촉자로 탐상할 때 어떤 부분에서 저면 에코의 높이가 낮아졌다. 그 원인이 아닌 것은? 28 초음파탐상용 시험편에서 가로 드릴구멍을 인공결함으로 가공할 때 가공 정밀도가 반사 에코높이에 가장 큰 영향을 주는 것은? 29 후판의 라미네이션 결함 검출에 가장 효과적인 검사법은? 30 같은 크기의 결함 중 초음파탐상검사로 가장 발견하기 쉬운 결함은? 31 방해 에코로서 결정입계에 주로 발생되며 오스테나이트계 스테인리스강 용접부를 고감도로 탐상할 때 많이 나타나는 에코는? 32 초음파 탐상기의 송신기에 대한 기능으로 옳은 것은? 33 결정입자가 조대한 조직의 금속재료를 초음파탐상검사 할 때 초음파의 감쇠를 줄이기 위한 방법으로 적합한 것은? 34 초음파 탐촉자에서 사용되는 압전재료 중 송신효율이 가장 우수한 것은? 35 초음파탐상시험법의 용도에 관한 설명으로 틀린것은? 36 주강품과 단강품을 초음파탐상검사 하였을 때 감쇠 현상을 설명한 것으로 옳은 것은?
37 배관의 원주 용접부를 경사각탐상으로 0.5 스킵 범위내에서 검사하였을 때 검출하기 어려운 결함은? (단, 배관 내면에서는 검사하기 어려운 경우이다.) 38 두께 25mm인 용접부위를 굴절각 45°의 탐촉자로 2스킵까지 경사각탐상 할 때 2스킵 거리 (Y2.0s)는 몇 mm인가? 39 어떤 시험체를 탐상해 보니 CRT 스크린의 100% FSH 를 초과하는 아주 큰 에코를 가진 결함을 발견하였다. 이 에코높이가 몇 % FSH 인지 알아보기 위하여 게인을 조절하니 7dB 를 내려야 100% FSH 에 만남을 알 수 있었다. 이 에코 높이는 약 몇 % FSH 인가?(단, FSH 는 full screen height 의 약어이다.) 40 초음파 탐상기가 갖추어야 할 주요 3대 성능은? 41 보일러 및 압력용기에 대한 표준초음파탐상검사(ASME Sec.V Art.23 SA-435)에는 강판의 수직빔 탐상의 표준을 규정하고 있다. 규격에서 정한 적용 재료로 옳은 것은? 42 초음파탐상 시험용 표준시험편(KS B 0831)에서 STB-N1표준시험편은 어떤 경우에 사용하는가? 43 건축용 강판 및 평강의 초음파탐상시험에 따른 등급분류와 판정 기준(KS D 0040)에 따라 두께 40mm 일때 수직탐촉자로 탐상감도를 설정할 경우 STB-N1에서 에코높이를 몇 % 에 맞추는가? 44 강용접부의 초음파탐상 시험방법(KS B 0896)에 따른 경사각탐상의 에코높이 구분선 작성시 사용되는 시험편으로 옳은 것은? 45 보일러 및 압력용기의 재료에 대한 초음파탐상검사(ASME Sec.V Art.5)에서 접촉법인 경우, 교정시험편과 시험체 표면간의 온도차는 얼마까지 허용되는가? 46 보일러 및 압력용기에 대한 초음파탐상검사(ASME Sec.V Art.4)에 따른 탐상장비 중 스크린높이 직선성에 대한 설명으로 옳은 것은? 47 강용접부의 초음파탐상 시험방법(KS B 0896)에 따라, 판두께 100mm를 초과하는 평판 이음 용접부를 1탐촉자 경사각 탐상법을 적용하는 경우의 설명으로 옳은 것은? 48 강용접부의 초음파탐상 시험방법(KS B 0896)에 따른 경사각용 에코높이 구분선에 관한 설명 중 틀린것은?
49 강용접부의 초음파탐상 시험방법(KS B 0896)에서 인접한 구분선 작성의 감도차는? 50 강용접부의 초음파탐상 시험방법(KS B 0896)에 사용되는 대비시험편은 어느 때 사용하는가? 51 보일러 및 압력용기에 대한 초음파탐상검사(ASME Sec. V Art.4)에 의한 경사각빔 사용을 위한 두께 75mm(3인치)인 기본 교정시험편에 가공되는 드릴 구멍의 깊이(검사 표면에서부터의 깊이)가 아닌 것은?(단, 검사체와 시험편 재질은 동일하며, T는 시험편의 두께이다.) 52 보일러 및 압력용기에 대한 초음파탐상검사(ASME Sec. V Art.4)에서 대비시혐편의 재질 구성에 대한 설명으로 옳은 것은? 53 보일러 및 압력용기의 재료에 대한 초음파탐상검사(ASME Sec.V Art.5)에서 니켈합금에 사용되는 접촉 매질은 몇 ppm 이상의 황을 포함하지 않아야 하는가? 54 초음파탐상시험용 표준시험편(KS B 0831)에서 G형 표준 시험편 중 인접한 시험편 V15-2 와 V15-2.8 을 5MHz, Φ 20mm 탐촉자로 측정할 때 반사원 에코 높이의 dB 차는 얼마 이내이어야 하는가? 55 강용접부의 초음파탐상 시험방법(KS B 0896)에 따른 시험결과의 분류 방법에서 동일하다고 간주되는 깊이에서 흠과 흠의 간격이 큰쪽의 흠의 지시길이와 같거나 그것보다 짧은 경우는 어떻게 분류하는가? 56 컴퓨터에서 사용되는 소프트웨어는 응용 소프트웨어와 시스템 소프트웨어로 구분된다. 다음 중 시스템 소프트웨어에 해당하지 않는 것은? 57 컴퓨터 바이러스를 예방하는 방법으로 볼 수 없는 것은? 58 사용자로 하여금 모아놓은 여러 개의 검색엔진 중원하는 검색엔진 하나를 선택해서 검색할 수 있는 것은? 59 다음이 설명하고 있는 것은? 60 OSI-7계층 중 데이터 링크 계층에 대한 설명으로 옳은 것은?
73 소성변형의 가공방법을 설명한 것 중 틀린 것은? 74 마그네슘(Mg)에 대한 설명으로 틀린 것은? 75 10g의 Au-Ag 합금에 Ag가 5% 함유되어 있을 때, Au의 순도(K, carat)는? (단, 기타 원소는 무시한다.) 76 다음 중 가단주철의 특징으로 옳은 것은? 77 다음 중 경화능을 향상시키는 원소의 영향이 큰 순서에서 작은 순서로 나열된 것은? 78 초경합금 구를 사용한 경도 보고서에 600HBW 1/30/20 이라고 적혀 있을 때 각각의 의미를 설명한 것 중 틀린 것은? 79 섬유강화금속의 2차 가공에 대한 설명으로 틀린것은? 80 고상석출과정이 아닌 다른 과정에 의해 형선된 산화물 등의 제2상이 전위의 장해물로 모상을 강화시키거나, 회복, 재결정과 같은 연화과정을 방해하여 고온에서의 재료의 강도를 유지하게 하는 강화방법은? 81 수동용접에 비해 능률이 높고 열에너지의 손실이 적으며 용입이 대단히 깊고 잠호용접 이라고도 하는 용접은? 82 그림의 수평자세 V형 홈이음 용접에서 용입 불량은 어느 부분인가? 83 용해 아세틸린을 충전하였을 때 용기 전체의 무게가 61 kgf이었는데, 다 쓰고 난 후 빈 용기를 달아보았더니 59 kgf 이었다. 소비한 아세틸렌가스 량으로 가변압식 가스 용접토치 300번 팁으로 용접하였다면, 용접한 시간은 약 몇 시간인가? 84 아크 용접에서의 극성 설명으로 올바른 것은?
85 다음 용접종류 중 압접에 속하는 것은? 86 불활성가스 금속 아크용접기로 알루미늄 및 알루미늄합금을 용접할 때 용적이행에 따라 분류되는데, 임계전류 이하의 저전류에서도 안정된 아크 상태에서 용적이 이행되며, 스패터가 극히 적어 비드가 깨끗하고 작업성이 매우 우수한 용접법은? 87 용접 시 발생하는 회전변형의 방지대책 설명으로 틀린 것은? 88 서브머지드 아크 용접에서 2개의 와이어에 전류를 직렬로 흐르게 하여 아크를 발생시켜 아크 복사열에 의해 모재를 가열 용융시켜 용접하는 방식이며 스테인리스 강 등의 덧붙이 용접에 잘 쓰이는 방식은? 89 피복 아크 용접 회로에 아크전류가 흐르는 순서의 표시로 가장 적합한 것은? 90 독일식 용접 토치로 20mm 연강 판을 용접하려 할때 필요한 팁(tip) 의 번호는? 91 다음 중 가장 얇은 판 이음에 적용되는 용접 홈은? 92 피복 아크 용접에서 아크 전압이 30V, 아크 전류가 150A, 용접속도는 15cm/min 일때 용접부에 주어지는 용접 입열량은 Joule/cm 인가? 93 다음 용접재료 중 이산화탄소 아크 용접에 가장 적합한 것은? 94 산소 - 아세틸렌 불꽃과는 달리 백심(flame cone)이 있는 뚜렷한 불꽃을 얻을 수가 없고, 청색의 겉불꽃에 싸인 무광의 불꽃으로 육안으로 불꽃을 조절하기 어렵고, 납(Pb)의 용접이나 수중절단용 예열불꽃으로 사용되는 불꽃은? 95 용접결합 중 치수상의 결함이 아닌 것은? 96 산소-아세틸렌가스 용접에서 판 두께와 토치의 용량에 따라 용접봉 지름을 결정하는데, 모재의 두께가 1[mm]이상일 때 가스용접봉을 결정하는 식은? (단, D : 용접봉의 지름[mm], T : 판 두께[mm])
App Store Google Play
오늘학습 예시 이미지

시험에 합격하려면
복습을 제대로 해야 합니다.

오늘학습은 스스로 기억을 떠올리고 계획적으로 복습할 수 있도록 설계돼 있어요.
그것도, 가장 과학적인 방식으로요!

능동적 회상

능동적 회상
(Active Recall)

배운 내용을 단순 읽으며 반복하는 것이 아니라,
능동적으로 기억하고 있는지를
스스로 테스트하며
공부할 수 있는
학습 환경을 제공해 학습 효과를 높여요

간격 반복 학습

간격 반복 학습
(Spaced Repetition)

에빙하우스 망각곡선을 바탕으로
가장 최적의 시점에 복습을 제공하여
배운 내용이 잊히지 않도록 장기 기억화해요

Data 기반의
뇌과학적 복습 시스템

학습 결과 Data를 분석해, 문제별 최적화된
반복 학습량을
자동으로 분배해요.
학습에 소요되는 시간을 최소화하는
동시에
단기 기억을 장기 기억으로 전환해줘요.

36만 개 이상의
기출문제 무료 제공

공무원 및 약 300여종의 자격증 시험 기출문제
36만개
이상을 무료로 이용할 수 있어요.
여러 앱을 설치할 필요
없이, 오늘학습 하나로
모든 시험을 준비할 수 있어요.

다양한 문제 유형으로 만드는
나만의 단어장&문제집

기출 외에도 외워야 하는 내용은
객관식, 주관식, 카드, 빈칸
등 다양한 형식으로
직접 만들어 보세요. 내 학습 스타일에
맞게
나만의 단어장과 문제집을 만들 수 있어요.

시험별 체계적인
문제 관리

시험에 문제를 추가해 체계적으로
관리할 수 있어요.
주제나 단원별로
분류하고 싶다면,
시험에 챕터를 만들어
문제를 추가할 수도 있어요.

수십만 명이
오늘학습을 사랑합니다

앱 스토어 평점 4.9
구글 플레이 평점 4.8
누적 회원수 100,000+
지금 오늘학습을
시작해보세요
지금 시작하기
문제 선택