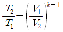
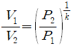
다음 식 중에 이상기체 상태에서의 가역 단열과정을 나타내는 식으로 옳지 않은 것은? (단, P, T, V, k는 각각 압력, 온도, 부피, 비열비이고, 아래 첨자 1, 2는 과정 전ㆍ후를 나타낸다.
지금 시작하기 →

・・・ 문제은행 에너지관리기사(2022년 2회) 40번

에너지관리기사 2022년 04월 40번

다음 식 중에 이상기체 상태에서의 가역 단열과정을 나타내는 식으로 옳지 않은 것은? (단, P, T, V, k는 각각 압력, 온도, 부피, 비열비이고, 아래 첨자 1, 2는 과정 전ㆍ후를 나타낸다.

1
2
3
4
단축키
이전 문제로 이동은 키를 누르고, 다음 문제로 이동은 키를 누르세요
이전 문제 , 다음 문제
문제(100)
1 세정 집진장치의 입자 포집원리에 대한 설명으로 틀린 것은? 2 저위발열량 93766kI/Nm3의 C3H8을 공기비 1.2로 연소시킬 때 이론 연소온도는 약 몇 K인가? (단, 배기가스의 평균비열은 1.653kJ/Nm3ㆍK이고 다른 조건은 무시한다.) 3 탄소(C) 84w%, 수소(H) 12w%, 수분 4w의 중량조성을 갖는 액체연료에서 수분을 완전히 제거한 다음 1시간당 5kg을 완전연소시키는데 필요한 이론공기량은 약 몇 Nm3/h인가? 4 다음 체적비(%)의 코크스로 가스 1Nm3를 완전연소시키기 위하여 필요한 이론공기량은 약 몇 Nm3인가? 5 표준 상태에서 메탄 1mol이 연소할 때 고위발열량과 저위발열량의 차이는 약 몇 kJ인가? (단, 물의 증발잠열은 44kJ/mol이다.) 6 가연성 혼합 가스의 폭발한계 측정에 영향을 주는 요소로 가장 거리가 먼 것은? 7 가스폭발 위험 장소의 분류에 속하지 않은 것은? 8 기계분(스토커) 화격자 중 연소하고 있는 석탄의 화층 위에 석탄을 기계적으로 산포하는 방식은? 9 중유를 연소하여 발생된 가스를 분석하였더니 체적비로 CO2는 14%, O2는 7%, N2는 79%이었다. 이 때 공기비는 약 얼마인가? (단, 연료에 질소는 포함하지 않는다.) 10 일반적인 천연가스에 대한 설명으로 가장 거리가 먼 것은? 11 다음 중 일반적으로 연료가 갖추어야 할 구비조건이 아닌 것은? 12 코크스의 적정 고온 건류온도(℃)는?
13 수소 4kg을 과잉공기계수 1.4의 공기로 완전 연소시킬 때 발생하는 연소가스 중의 산소량은 약 몇 kg인가? 14 액화석유가스(LPG)의 성질에 대한 설명으로 틀린 것은? 15 다음 대기오염 방지를 위한 집진장치 중 습식집진장치에 해당하지 않는 것은? 16 황(S) 1kg을 이론공기량으로 완전연소시켰을 때 발생하는 연소가스량은 약 몇 Nm3인가? 17 대도시의 광화학 스모그(smog) 발생의 원인 물질로 문제가 되는 것은? 18 기체연료의 일반적인 특징으로 틀린 것은? 19 다음 반응식으로부터 프로판 1kg의 발열량은 약 몇 Mj인가? 20 석탄, 코크스, 목재 등을 직열상태로 가열하고, 공기로 불완전 연소시켜 얻는 연료는? 21 다음 중 물의 임계압력에 가장 가까운 값은? 22 27℃, 100kPa에 있는 이상기체 1kg을 700 kPa까지 가역 단열압축 하였다. 이 때 소요된 일의 크기는 몇 kJ인가? (단, 이 기체의 비열비는 1.4, 기체상수는 0.287 kJ/kgㆍK이다.) 23 “PVn=일정”인 과정에서 밀폐계가 하는 일을 나타낸 것은? (단, P는 압력, V는 부피, n은 상수이며, 첨자 1, 2는 각각 과정 전ㆍ후 상태를 나타낸다.) 24 압력 1MPa인 포화액의 비체적 및 비엔탈피는 각각 0.0012m3/kg, 762.8kJ/kg이고, 포화증기의 비체적 및 비엔탈피는 각각 0.1944m3/kg, 2778.1kJ/kg이다. 이 압력에서 건도가 0.7인 습증기의 단위 질량당 내부에너지는 약 몇 kJ/kg인가?
25 냉동능력을 나타내는 단위로 0℃의 물 1000kg을 24시간 동안에 0℃의 얼음으로 만드는 능력을 무엇이라 하는가? 26 압축비가 5인 오토 사이클기관이 있다. 이 기관이 15~1500℃의 온도범위에서 작동할 때 최고압력은 약 몇 kPa인가? (단, 최저압력은 100kPa, 비열비는 1.4이다.) 27 온도 30℃, 압력 350kPa에서 비체적이 0.449m3/kg인 이상기체의 기체상수는 약 몇 kJ/kgㆍK인가? 28 브레이튼 사이클의 이론 열효율을 높일 수 있는 방법으로 틀린 것은? 29 다음 중 이상적인 랭킨 사이클의 과정으로 옳은 것은? 30 열역학 제1법칙을 설명한 것으로 옳은 것은? 31 냉매가 구비해야 할 조건 중 틀린 것은? 32 성능계수가 4.3인 냉동기가 1시간 동안 30MJ의 열을 흡수한다. 이 냉동기를 작동하기 위한 동력은 약 몇 kW인가? 33 단열 밀폐되어 있는 탱크 A, B가 밸브로 연결되어 있다. 두 탱크에 들어있는 공기(이상기체)의 질량은 같고, A탱크의 체적은 B탱크 체적의 2배, A탱크의 압력은 200kPa, B탱크의 압력은 100kPa이다. 밸브를 열어서 평형이 이루어진 후 최종 압력은 약 몇 kPa인가? 34 한 과학자가 자기가 만든 열기관이 80℃와 10℃ 사이에서 작동하면서 100kJ의 열을 받아 20kJ의 유용한 일을 할 수 있다고 주장한다. 이 주장에 위배되는 열역학 법칙은? 35 랭킨 사이클로 작동하는 증기 동력 사이클에서 효율을 높이기 위한 방법으로 거리가 먼 것은? 36 CH4의 기체상수는 약 몇 kJ/kgㆍㆍ인가?
37 압력 300kPa인 이상기체 150kg이 있다. 온도를 일정하게 유지하면서 압력을 100kPa로 변화시킬 때 엔트로피 변화는 약 몇 kJ/K인가? (단, 기체의 정적비열은 1.735kJ/kgㆍK, 비열비는 1.299이다.) 38 밀폐계가 300kPa의 압력을 유지하면서 체적이 0.2m3에서 0.4m3로 증가하였고 이 과정에서 내부에너지는 20kJ 증가하였다. 이 때 계가 받은 열량은 약 몇 kJ인가? 39 그림에서 이상기체를 A에서 가역적으로 단열압축시킨 후 정적과정으로 C까지 냉각시키는 과정에 해당되는 것은? 40 다음 식 중에 이상기체 상태에서의 가역 단열과정을 나타내는 식으로 옳지 않은 것은? (단, P, T, V, k는 각각 압력, 온도, 부피, 비열비이고, 아래 첨자 1, 2는 과정 전ㆍ후를 나타낸다. 41 링밸런스식 압력계에 대한 설명으로 옳은 것은? 42 다음과 같이 자동제어에서 응답속도를 빠르게하고 외란에 대해 안정적으로 제어하려 한다. 이 때 추가해야할 제어 동작은? 43 가스 온도를 열전대 온도계를 사용하여 측정할 때 주의해야 할 사항이 아닌 것은? 44 다음 중에서 측온저항체로 사용되지 않는 것은? 45 다음 중 용적식 유량계에 해당하는 것은? 46 측정온도범위가 약 0~700℃정도이며, (-)측이 콘스탄탄으로 구성된 열전대는? 47 측온 저항체에 큰 전류가 흐를 때 중열에 의해 측정하고자 하는 온도보다 높아지는 현상인 자기가열(自己加熱) 현상이 있는 온도계는? 48 중유를 사용하는 보일러의 배기가스를 오르자트 가스분석계의 가스뷰렛에 시료 가스량을 50mL채취하였다. CO2 흡수피펫을 통과한 후 가스뷰렛에 남은 시료는 44mL이었고, O2 흡수피펫에 통과한 후에는 41.8mL, CO2 흡수피펫에 통과한 후 남은 시료량은 41.4mL이었다. 배기가스 중에 CO2, O2, CO는 각각 몇 vol%인가?
73 에너지이용 합리화법령에 따라 에너지사용계획에 대한 검토결과 공공사업주관자가 조치 요철을 받은 경우, 이를 이행하기 위하여 제출하는 이행계획에 포함되어야 할 내용이 아닌 것은? (단, 산업통상자원부장관으로부터 요청 받은 조치의 내용은 제외한다.) 74 도염식요는 조업방법에 의해 분류할 경우 어떤 형식인가? 75 에너지이용 합리화법에 따라 산업통상자원부장관이 국내외 에너지 사정의 변동으로 에너지 수급에 중대한 차질이 발생될 결루 수급안정을 위해 취할 수 있는 조치 사항이 아닌 것은? 76 에너지이용 합리화법령에 따라 효율관리기자재의 제조업자는 효율관리시험기관으로부터 측정 결과를 통보받은 날부터 며칠 이내에 그 측정 결과를 한국에너지공단에 신고하여야 하는가? 77 에너지이용 합리화법령에 따라 산업통상자원부장관이 위생 접객업소 등에 에너지사용의 제한 조치를 할 때에는 며칠 이전에 제한 내용을 예고하여야 하는가? 78 에너지이용 합리화법상 에너지다소비사업자의 신고와 관련하여 다음 ()에 들어갈 수 없는 것은? (단, 대통령령은 제외한다.) 79 다음 보온재 중 재질이 유기질 보온재에 속하는 것은? 80 다음 중 제강로가 아닌 것은? 81 급수처리 방법 중 화학적 처리방법은? 82 서로 다른 고체 물질 A, B, C인 3개의 평판이 서로 밀착되어 복합체를 이루고 있다. 젖상 상태에서의 온도 분포가 [그림]과 같을 때, 어느 물질의 열전도도가 가장 적은가? (단, 온도 T1=1000℃, T2=800℃, T3=550℃, T4=250℃ 이다.) 83 다음 중 사이폰관이 직접 부착된 장치는? 84 파이프 내경 D(mm)를 유량 Q(m3/s)와 평균속도 C(m/s)로 표시한 식으로 옳은 것은?
App Store Google Play
오늘학습 예시 이미지

시험에 합격하려면
복습을 제대로 해야 합니다.

오늘학습은 스스로 기억을 떠올리고 계획적으로 복습할 수 있도록 설계돼 있어요.
그것도, 가장 과학적인 방식으로요!

능동적 회상

능동적 회상
(Active Recall)

배운 내용을 단순 읽으며 반복하는 것이 아니라,
능동적으로 기억하고 있는지를
스스로 테스트하며
공부할 수 있는
학습 환경을 제공해 학습 효과를 높여요

간격 반복 학습

간격 반복 학습
(Spaced Repetition)

에빙하우스 망각곡선을 바탕으로
가장 최적의 시점에 복습을 제공하여
배운 내용이 잊히지 않도록 장기 기억화해요

Data 기반의
뇌과학적 복습 시스템

학습 결과 Data를 분석해, 문제별 최적화된
반복 학습량을
자동으로 분배해요.
학습에 소요되는 시간을 최소화하는
동시에
단기 기억을 장기 기억으로 전환해줘요.

36만 개 이상의
기출문제 무료 제공

공무원 및 약 300여종의 자격증 시험 기출문제
36만개
이상을 무료로 이용할 수 있어요.
여러 앱을 설치할 필요
없이, 오늘학습 하나로
모든 시험을 준비할 수 있어요.

다양한 문제 유형으로 만드는
나만의 단어장&문제집

기출 외에도 외워야 하는 내용은
객관식, 주관식, 카드, 빈칸
등 다양한 형식으로
직접 만들어 보세요. 내 학습 스타일에
맞게
나만의 단어장과 문제집을 만들 수 있어요.

시험별 체계적인
문제 관리

시험에 문제를 추가해 체계적으로
관리할 수 있어요.
주제나 단원별로
분류하고 싶다면,
시험에 챕터를 만들어
문제를 추가할 수도 있어요.

수십만 명이
오늘학습을 사랑합니다

앱 스토어 평점 4.9
구글 플레이 평점 4.8
누적 회원수 100,000+
지금 오늘학습을
시작해보세요
지금 시작하기
문제 선택