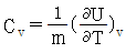
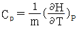
다음 관계식 중에 틀린 것은? (단, m은 질량, U는 내부에너지, H는 엔탈피, W는 일, Cp와 Cv는 각각 정압비열과 정적비열이다.)
지금 시작하기 →

・・・ 문제은행 에너지관리기사(2020년 2회) 29번

에너지관리기사 2020년 08월 29번

다음 관계식 중에 틀린 것은? (단, m은 질량, U는 내부에너지, H는 엔탈피, W는 일, Cp와 Cv는 각각 정압비열과 정적비열이다.)

1
dU=mCvdT
2
3
δW=mCpdT
4
단축키
이전 문제로 이동은 키를 누르고, 다음 문제로 이동은 키를 누르세요
이전 문제 , 다음 문제
문제(100)
25 열역학 제2법칙에 대한 설명이 아닌 것은? 26 좋은 냉매의 특성으로 틀린 것은? 27 다음 중에서 가장 높은 압력을 나타내는 것은? 28 랭킹 사이클에서 복수기 압력을 낮추면 어떤 현상이 나타나는가? 29 다음 관계식 중에 틀린 것은? (단, m은 질량, U는 내부에너지, H는 엔탈피, W는 일, Cp와 Cv는 각각 정압비열과 정적비열이다.) 30 유동하는 기체의 압력을 P, 속력을 V, 밀도를 ρ, 중력 가속도를 g, 높이를 z, 절대온도는 T, 정적비열을 Cv라고 할 때, 기체의 단위질량당 역학적 에너지에 포함되지 않는 것은? 31 1kg의 이상기체(Cp=1.0kJ/kg·K, Cv=0.71kJ/kg·K)가 가역단열과정으로 P1=1Mpa, V1=0.6[m3]에서 P2=100KPa으로 변한다. 가역단열과정 후 이 기체의 부피 V2와 온도 T2는 각각 얼마인가? 32 그림은 랭킨사이클의 온도, 엔트로피(T-S)선도이다. 상태 1~4의 비엔탈피 값이 h1=192kJ/kg, h2=194kJ/kg, h3=2802kJ/kg, h4=2010kJ/kg이라면 열효율(%)은? 33 그림에서 압력 P1, 온도ts의 과열증기의 비엔트로피는 6.16kJ/kg·K이다. 상태1로부터 2까지의 가역단열 팽창 후, 압력 P2에서 습증기로 되었으면 상태2인 습증기의 건도 X는 얼마인가? (단, 압력 P2에서 포화수, 건포화증기의 비엔트로피는 각각 1.30kJ/kg·K, 7.36kJ/kg·K이다.) 34 압력 500kPa, 온도 423K의 공기 1kg이 압력이 일정한 상태로 변하고 있다. 공기의 일이 122kJ이라면 공기에 전달된 열량(kJ)은 얼마인가? (단, 공기의 정적비열은 0.7165kJ·kgK, 기체상수는 0.287kJ/kg·K이다.) 35 압력이 1300kPa인 탱크에 저장된 건포화 증기가 노즐로부터 100kPa로 분출되고 있다. 입계압력 Pc는 몇 kPa인가? (단, 비열비는 1.135이다.) 36 압력이 일정한 용기 내에 이상기체를 외부에서 가열하였다. 온도가 T1에서 T2로 변화하였고, 기체의 부피가 V1에서 V2로 변화하였다. 공기의 정압비열 Cp에 대한 식으로 옳은 것은? (단, 이 이상기체의 압력은 p, 전달된 단위 질량당 열량은 q이다.)
85 지름이 d, 두께가 t인 얇은 살두께의 원통안에 압력 P가 작용할 때 원통에 발생하는 길이방향의 인장응력은? 86 스케일(scale)에 대한 설명으로 틀린 것은? 87 노통연관식 보일러에서 평형부의 길이가 230mm 미만인 파형노통의 최소 두께(mm)를 결정하는 식은? (단, P는 최고 사용압력(MPa), D는 노통의 파형부에서의 최대 내경과 최소 내경의 평균치(모리슨형 노통에서는 최소내경에 50mm를 더한 값)(mm), C는 노통의 종류에 따른 상수이다.) 88 가로 50cm, 세로 70cm인 300℃로 가열된 평판에 20℃의 공기를 불어주고 있다. 열전달계수가 25W/m2·℃때 열전달량은 몇 kW인가? 89 수질(水質)을 나타내는 ppm의 단위는? 90 유량 2200kg/h인 80℃의 벤젠을 40℃까지 냉각시키고자 한다. 냉각수 온도를 입구 30℃, 출구 45℃로 하여 대향류열교환기 형식의 이중관식 냉각기를 설계할 때 적당한 관의 길이(m)는? (단, 벤젠의 평균비열은 1884J/kg·℃, 관 내경 0.0427m, 총괄전열계수는 600W/m2·℃이다.) 91 가스용 보일러의 배기가스 중 이산화탄소에 대한 일산화탄소의 비는 얼마 이하여야 하는가? 92 오일 버너로서 유량 조절범위가 가장 넓은 버너는? 93 원통형 보일러의 내면이나 관벽 등 전열면에 스케일이 부착될 때 발생되는 현상이 아닌 것은? 94 배관용 탄소강관을 압력용기의 부분에 사용할 때에는 설계 압력이 몇 MPa이하일 때 가능한가? 95 보일러의 급수처리방법에 해당되지 않는 것은? 96 수관식 보일러에 속하지 않는 것은?
App Store Google Play
오늘학습 예시 이미지

시험에 합격하려면
복습을 제대로 해야 합니다.

오늘학습은 스스로 기억을 떠올리고 계획적으로 복습할 수 있도록 설계돼 있어요.
그것도, 가장 과학적인 방식으로요!

능동적 회상

능동적 회상
(Active Recall)

배운 내용을 단순 읽으며 반복하는 것이 아니라,
능동적으로 기억하고 있는지를
스스로 테스트하며
공부할 수 있는
학습 환경을 제공해 학습 효과를 높여요

간격 반복 학습

간격 반복 학습
(Spaced Repetition)

에빙하우스 망각곡선을 바탕으로
가장 최적의 시점에 복습을 제공하여
배운 내용이 잊히지 않도록 장기 기억화해요

Data 기반의
뇌과학적 복습 시스템

학습 결과 Data를 분석해, 문제별 최적화된
반복 학습량을
자동으로 분배해요.
학습에 소요되는 시간을 최소화하는
동시에
단기 기억을 장기 기억으로 전환해줘요.

36만 개 이상의
기출문제 무료 제공

공무원 및 약 300여종의 자격증 시험 기출문제
36만개
이상을 무료로 이용할 수 있어요.
여러 앱을 설치할 필요
없이, 오늘학습 하나로
모든 시험을 준비할 수 있어요.

다양한 문제 유형으로 만드는
나만의 단어장&문제집

기출 외에도 외워야 하는 내용은
객관식, 주관식, 카드, 빈칸
등 다양한 형식으로
직접 만들어 보세요. 내 학습 스타일에
맞게
나만의 단어장과 문제집을 만들 수 있어요.

시험별 체계적인
문제 관리

시험에 문제를 추가해 체계적으로
관리할 수 있어요.
주제나 단원별로
분류하고 싶다면,
시험에 챕터를 만들어
문제를 추가할 수도 있어요.

수십만 명이
오늘학습을 사랑합니다

앱 스토어 평점 4.9
구글 플레이 평점 4.8
누적 회원수 100,000+
지금 오늘학습을
시작해보세요
지금 시작하기
문제 선택