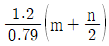
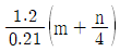
CmHn 1 Nm3를 공기비 1.2로 연소시킬 때 필요한 실제 공기량은 약 몇 Nm3 인가?
지금 시작하기 →

・・・ 문제은행 에너지관리기사(2022년 1회) 9번

에너지관리기사 2022년 03월 9번

CmHn 1 Nm3를 공기비 1.2로 연소시킬 때 필요한 실제 공기량은 약 몇 Nm3 인가?

1
2
3
4
단축키
이전 문제로 이동은 키를 누르고, 다음 문제로 이동은 키를 누르세요
이전 문제 , 다음 문제
문제(100)
25 400K, 1MPa 의 이상기체 1 kmol이 700K, 1MPa으로 정압팽창할 때 엔트로피 변화는 약 몇 kJ/K 인가? (단, 정압비열은 28 kJ/kmol·K 이다.) 26 체적이 일정한 용기에 400kPa 의 공기 1kg이 들어있다. 용기에 달린 밸브를 열고 압력이 300kPa이 될 때까지 대기 속으로 공기를 방출하였다. 용기 내의 공기가 가역단열 변화라면 용기에 남아있는 공기의 질량은 약 몇 kg 인가? (단, 공기의 비열비는 1.4 이다.) 27 다음 중 이상기체에 대한 식으로 옳은 것은? (단, 각 기호에 대한 설명은 아래와 같다.) 28 밀폐된 피스톤-실린더 장치 안에 들어 있는 기체가 팽창을 하면서 일을 한다. 압력 P[MPa]와 부피 V[L]의 관계가 아래와 같을 때, 내부에 있는 기체의 부피가 5L에서 두배로 팽창하는 경우 이 장치가 외부에 한 일은 약 몇 kJ 인가? (단, a = 3 MPa/L2,b = 2 MPa/L, c = 1 MPa) 29 다음 중 열역학 제2법칙에 대한 설명으로 틀린 것은? 30 이상기체의 단위 질량당 내부에너지 u, 비엔탈피 h, 비엔트로피 s에 관한 다음의 관계식 중에서 모두 옳은 것은? (단, T는 온도, p는 압력, v는 비체적을 나타낸다.) 31 폴리트로픽 과정에서의 지수(polytripic index)가 비열비와 같을 때의 변화는? 32 체적 0.4m3인 단단한 용기 안에 100℃의 물 2kg이 들어있다. 이 물의 건도는 얼마인가? (단, 100℃의 물에 대해 포화수 비체적 vf=0.00104 m3/kg, 건포화증기 비체적 vg=1.672 m3/kg 이다.) 33 그림과 같은 브레이튼 사이클에서 열효율(η)은? (단, P는 압력, v는 비체적이며, T1, T2, T3, T4는 각각의 지점에서의 온도이다. 또한, qin과 qout은 사이클에서 열이 들어오고 나감을 의미한다.) 34 역카르노 사이클로 작동하는 냉동사이클이 있다. 저온부가 –10℃, 고온부가 40℃로 유지되는 상태를 A상태라고 하고, 저온부가 0℃, 고온부가 50℃로 유지되는 상태를 B상태라 할 때, 성능계수는 어느 상태의 냉동사이클이 얼마나 더 높은가? 35 가솔린 기관의 이상 표준사이클인 오토 사이클(Otto cycle)에 대한 설명 중 옳은 것을 모두 고른 것은? 36 다음과 같은 특징이 있는 냉매의 특징은?
37 압축기에서 냉매의 단위 질량당 압축하는데 요구되는 에너지가 200 kJ/kg 일 때, 냉동기에서 냉동능력 1kW당 냉매의 순환량은 약 몇 kg/h 인가? (단, 냉동기의 성능계수는 5.0 이다.) 38 40m3의 실내에 있는 공기의 질량은 약 몇 kg 인가? (단, 공기의 압력은 100kPa, 온도는 27℃ 이며, 공기의 기체상수는 0.287 kJ/kg·K 이다.) 39 동일한 최고 온도, 최저 온도 사이에 작동하는 사이클 중 최대의 효율을 나타내는 사이클은? 40 랭킨(Rankine) 사이클에서 응축기의 압력을 낮출 때 나타나는 현상으로 옳은 것은? 41 다음 가스 분석법 중 흡수식인 것은? 42 상온, 1기압에서 공기유속을 피토관으로 측정할 때 동압이 100mmAq 이면 유속은 약 몇 m/s 인가? (단, 공기의 밀도는 1.3 kg/m3 이다.) 43 유량 측정에 쓰이는 탭(tap)방식이 아닌 것은? 44 보일러의 자동제어에서 제어장치의 명칭과 제어량의 연결이 잘못된 것은? 45 측정하고자 하는 상태량과 독립적 크기를 조정할 수 있는 기준량과 비교하여 측정, 계측하는 방법은? 46 다음 비례-적분동작에 대한 설명에서 ( ) 안에 들어갈 알맞은 용어는? 47 안지름 1000mm의 원통형 물탱크에서 안지름 150mm인 파이프로 물을 수송할 때 파이프의 평균 유속이 3m/s 이었다. 이 때 유량(Q)과 물탱크 속의 수면이 내려가는 속도(V)는 약 얼마인가? 48 램 실린더, 기름탱크, 가압펌프 등으로 구성되어 있으며 탄성식 압력계의 일반교정용으로 주로 사용되는 압력계는?
85 보일러 설치·시공기준상 대형보일러를 옥내에 설치할 때 보일러 동체 최상부에서 보일러실 상부에 있는 구조물까지의 거리는 얼마 이상이어야 하는가? (단, 주철제보일러는 제외한다.) 86 보일러에 설치된 과열기의 역할로 틀린 것은? 87 지름이 d(cm), 두께가 t(cm)인 얇은 두께의 밀폐된 원통 안에 압력 P(MPa)가 작용할 때 원통에 발생하는 원주방향의 인장응력(MPa)을 구하는 식은? 88 일반적으로 리벳이음과 비교할 때 용접이음의 장점으로 옳은 것은? 89 보일러 설치검사기준에 대한 사항 중 틀린 것은? 90 열사용기자재의 검사 및 검사면제에 관한 기준상 보일러 동체의 최소 두께로 틀린 것은? 91 노통보일러 중 원통형의 노통이 2개 설치된 보일러를 무엇이라고 하는가? 92 급수온도 20℃인 보일러에서 증기압력이 1MPa 이며 이 때 온도 300℃의 증기가 1 t/h씩 발생될 때 상당증발량은 약 몇 kg/h 인가? (단, 증기압력 1MPa에 대한 300℃의 증기엔탈피는 3052 kJ/kg, 20℃에 대한 급수엔탈피는 83kJ/kg 이다.) 93 전열면에 비등 기포가 생겨 열유속이 급격하게 증대하며, 가열면상에 서로 다른 기포의 발생이 나타나는 비등과정을 무엇이라고 하는가? 94 고압 증기터빈에서 팽창되어 압력이 저하된 증기를 가열하는 보일러의 부속장치는? 95 보일러 슬러지 중에 염화마그네슘이 용존되어 있을 경우 180℃ 이상에서 강의 부식을 방지하기 위한 적정 pH는? 96 다음 중 보일러 내처리에 사용하는 pH 조정제가 아닌 것은?
App Store Google Play
오늘학습 예시 이미지

시험에 합격하려면
복습을 제대로 해야 합니다.

오늘학습은 스스로 기억을 떠올리고 계획적으로 복습할 수 있도록 설계돼 있어요.
그것도, 가장 과학적인 방식으로요!

능동적 회상

능동적 회상
(Active Recall)

배운 내용을 단순 읽으며 반복하는 것이 아니라,
능동적으로 기억하고 있는지를
스스로 테스트하며
공부할 수 있는
학습 환경을 제공해 학습 효과를 높여요

간격 반복 학습

간격 반복 학습
(Spaced Repetition)

에빙하우스 망각곡선을 바탕으로
가장 최적의 시점에 복습을 제공하여
배운 내용이 잊히지 않도록 장기 기억화해요

Data 기반의
뇌과학적 복습 시스템

학습 결과 Data를 분석해, 문제별 최적화된
반복 학습량을
자동으로 분배해요.
학습에 소요되는 시간을 최소화하는
동시에
단기 기억을 장기 기억으로 전환해줘요.

36만 개 이상의
기출문제 무료 제공

공무원 및 약 300여종의 자격증 시험 기출문제
36만개
이상을 무료로 이용할 수 있어요.
여러 앱을 설치할 필요
없이, 오늘학습 하나로
모든 시험을 준비할 수 있어요.

다양한 문제 유형으로 만드는
나만의 단어장&문제집

기출 외에도 외워야 하는 내용은
객관식, 주관식, 카드, 빈칸
등 다양한 형식으로
직접 만들어 보세요. 내 학습 스타일에
맞게
나만의 단어장과 문제집을 만들 수 있어요.

시험별 체계적인
문제 관리

시험에 문제를 추가해 체계적으로
관리할 수 있어요.
주제나 단원별로
분류하고 싶다면,
시험에 챕터를 만들어
문제를 추가할 수도 있어요.

수십만 명이
오늘학습을 사랑합니다

앱 스토어 평점 4.9
구글 플레이 평점 4.8
누적 회원수 100,000+
지금 오늘학습을
시작해보세요
지금 시작하기
문제 선택