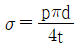
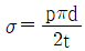
배관의 축 방향 응력 σ(kPa)을 나타낸 식은? (단, d : 배관의 내경(mm), p : 배관의 내압(kPa), t : 배관의 두께(mm) 이며, t는 충분히 얇다.)
지금 시작하기 →

・・・ 문제은행 에너지관리기사(2021년 2회) 80번

에너지관리기사 2021년 05월 80번

배관의 축 방향 응력 σ(kPa)을 나타낸 식은? (단, d : 배관의 내경(mm), p : 배관의 내압(kPa), t : 배관의 두께(mm) 이며, t는 충분히 얇다.)

1
2
3
4
단축키
이전 문제로 이동은 키를 누르고, 다음 문제로 이동은 키를 누르세요
이전 문제 , 다음 문제
문제(100)
13 연소 배기가스의 분석결과 CO2의 함량이 13.4%이다. 벙커C유(55L/h)의 연소에 필요한 공기량은 약 몇 Nm3/min 인가? (단, 벙커 C유의 이론공기량은 12.5 Nm3/kg 이고, 밀도는 0.93 g/cm3 이며 [CO2]max는 15.5% 이다.) 14 탄소 1kg을 완전 연소시키는데 필요한 공기량은 몇 Nm3 인가? 15 위험성을 나타내는 성질에 관한 설명으로 옳지 않은 것은? 16 다음 연소 반응식 중에서 틀린 것은? 17 매연을 발생시키는 원인이 아닌 것은? 18 중유의 탄수소비가 증가함에 따른 발열량의 변화는? 19 기체 연료의 저장방식이 아닌 것은? 20 CH4와 공기를 사용하는 열 설비의 온도를 높이기 위해 산소(O2)를 추가로 공급하였다. 연료 유량 10Nm3/h 의 조건에서 완전 연소가 이루어졌으며, 수증기 응축 후 배기가스에서 계측된 산소의 농도가 5%이고 이산화탄소(CO2)의 농도가 10%라면, 추가로 공급된 산소의 유량은 약 몇 Nm3/h 인가? 21 노즐에서 임계상태에서의 압력을 Pc, 비체적을 vc, 최대유량을 Gc, 비열비를 k라 할 때, 임계단면적에 대한 식으로 옳은 것은? 22 초기체적이 Vi 상태에 있는 피스톤이 외부로 일을 하여 최종적으로 체적이 Vf인 상태로 되었다. 다음 중 외부로 가장 많은 일을 한 과정은? (단, n은 폴리트로픽 지수이다.) 23 20℃의 물 10kg을 대기압 하에서 100℃의 수증기로 완전히 증발시키는데 필요한 열량은 약 몇 kJ인가? (단, 수증기의 증발 잠열은 2257 kJ/kg이고 물의 평균비열은 4.2 kJ/kg·K 이다.) 24 30℃에서 기화잠열이 173kJ/kg 인 어떤 냉매의 포화액-포화증기 혼합물 4kg을 가열하여 건도가 20%에서 70%로 증가되었다. 이 과정에서 냉매의 엔트로피 증가량은 약 몇 kJ/K인가?
25 랭킨사이클에 과열기를 설치할 경우 과열기의 영향으로 발생하는 현상에 대한 설명으로 틀린 것은? 26 증기터빈에서 상태 ⓐ의 증기를 규정된 압력까지 단열에 가깝게 팽창 시켰다. 이 때 증기터빈 출구에서의 증기 상태는 그림의 각각 ⓑ, ⓒ, ⓓ, ⓔ이다. 이 중 터빈의 효율이 가장 좋을 때 출구의 증기 상태로 옳은 것은? 27 아래와 같이 몰리에르(엔탈피-엔트로피) 선도에서 가역 단열과정을 나타내는 선의 형태로 옳은 것은? 28 정압과정에서 어느 한 계(system)에 전달된 열량은 그 계에서 어떤 상태량의 변화량과 양이 같은가? 29 노점온도(dew point temperature)에 대한 설명으로 옳은 것은? 30 온도와 관련된 설명으로 틀린 것은? 31 물의 임계 압력에서의 잠열은 몇 kJ/kg 인가? 32 이상기체가 'Pvn=일정' 과정을 가지고 변하는 경우에 적용할 수 있는 식으로 옳은 것은? (단, q : 단위 질량당 공급된 열량, u : 단위 질량당 내부에너지, T : 온도, P : 압력, v : 비체적, R : 기체상수, n : 상수이다.) 33 증기압축 냉동사이클을 사용하는 냉동기에서 냉매의 상태량은 압축 전·후 엔탈피가 각각 379.11 kJ/kg와 424.77 kJ/kg이고 교축팽창 후 엔탈피가 241.46kJ/kg 이다. 압축기의 효율이 80%, 소요 동력이 4.14kW라면 이 냉동기의 냉동용량은 약 몇 kW 인가? 34 열역학 관계식 TdS = dH – VdP에서 용량성 상태량(extensive property)이 아닌 것은? (단, S : 엔트로피, H : 엔탈피, V : 체적, P : 압력, T : 절대온도이다.) 35 다음과 같은 압축비와 차단비를 가지고 공기로 작동되는 디젤사이클 중에서 효율이 가장 높은 것은? (단, 공기의 비열비는 1.4 이다.) 36 가스동력 사이클에 대한 설명으로 틀린 것은?
61 에너지이용 합리화법령에 따라 자발적 협약체결기업에 대한 지원을 받기 위해 에너지사용자와 정부 간 자발적 협약의 평가기준에 해당하지 않는 것은? 62 소성가마 내 열의 전열방법으로 가장 거리가 먼 것은? 63 도염식 가마(down draft kiln)에서 불꽃의 진행방향으로 옳은 것은? 64 아래는 에너지이용 합리화법령상 에너지의 수급차질에 대비하기 위하여 산업통상자원부장관이 에너지저장의무를 부과할 수 있는 대상자의 기준이다. ( )에 들어갈 용어는? 65 다음 중 에너지이용 합리화법령에 따른 검사대상기기에 해당하는 것은? 66 샤모트(chamotte) 벽돌의 원료로서 샤모트 이외의 가소성 생점토(生粘土)를 가하는 주된 이유는? 67 크롬벽돌이나 크롬-마그벽돌이 고온에서 산화철을 흡수하여 표면이 부풀어 오르고 떨어져 나가는 현상은? 68 에너지이용 합리화법령상 효율관리가지재에 대한 에너지소비효율등급을 거짓으로 표시한 자에 해당하는 과태료는? 69 에너지이용 합리화법령에 따라 효율관리기자재의 제조업자 또는 수입업자는 효율관리시험기관에서 해당 효율관리기자재의 에너지 사용량을 측정 받아야 한다. 이 시험기관은 누가 지정하는가? 70 보온재의 구비 조건으로 틀린 것은? 71 에너지법령상 시·도지사는 관할 구역의 지역적 특성을 고려하여 저탄소 녹색성장 기본법에 따른 에너지기본계획의 효율적인 달성과 지역경제의 발전을 위한 지역에너지 계획을 몇 년마다 수립·시행하여야 하는가? 72 에너지이용 합리화법령에 따라 에너지절약 전문기업의 등록신청 시 등록신청서에 첨부해야할 서류가 아닌 것은?
73 에너지이용 합리화법령상 검사의 종류가 아닌 것은? 74 고온용 무기질 보온재로서 경량이고 기계적 강도가 크며 내열성, 내수성이 강하고 내마모성이 있어 탱크, 노벽 등에 적합한 보온재는? 75 에너지이용 합리화법령상 특정열사용기자재의 설치·시공이나 세관(洗罐)을 업으로 하는 자는 어떤 법령에 따라 누구에게 등록하여야 하는가? 76 작업이 간편하고 조업주기가 단축되며 요체의 보유열을 이용할 수 있어 경제적인 반연속식 요는? 77 에너지이용 합리화법령에 따라 열사용기자재 관리에 대한 설명으로 틀린 것은? 78 내식성, 굴곡성이 우수하고 양도체이며 내압성도 있어서 열교환기용 전열관, 급수관 등 화학공업용으로 주로 사용되는 관은? 79 제철 및 제강공정 중 배소로의 사용 목적으로 가장 거리가 먼 것은? 80 배관의 축 방향 응력 σ(kPa)을 나타낸 식은? (단, d : 배관의 내경(mm), p : 배관의 내압(kPa), t : 배관의 두께(mm) 이며, t는 충분히 얇다.) 81 증기압력 120kPa의 포화증기(포화온도 104.25℃, 증발잠열 2245 kJ/kg)를 내경 52.9mm, 길이 50m인 강관을 통해 이송하고자 할 때 트랩 선정에 필요한 응축수량(kg)은? (단, 외부온도 0℃, 강관의 질량 300kg, 강관비열 0.46 kJ/kg·℃ 이다.) 82 보일러의 용량을 산출하거나 표시하는 값으로 틀린 것은? 83 프라이밍 및 포밍의 발생 원인이 아닌 것은? 84 프라이밍 현상을 설명한 것으로 틀린 것은?
App Store Google Play
오늘학습 예시 이미지

시험에 합격하려면
복습을 제대로 해야 합니다.

오늘학습은 스스로 기억을 떠올리고 계획적으로 복습할 수 있도록 설계돼 있어요.
그것도, 가장 과학적인 방식으로요!

능동적 회상

능동적 회상
(Active Recall)

배운 내용을 단순 읽으며 반복하는 것이 아니라,
능동적으로 기억하고 있는지를
스스로 테스트하며
공부할 수 있는
학습 환경을 제공해 학습 효과를 높여요

간격 반복 학습

간격 반복 학습
(Spaced Repetition)

에빙하우스 망각곡선을 바탕으로
가장 최적의 시점에 복습을 제공하여
배운 내용이 잊히지 않도록 장기 기억화해요

Data 기반의
뇌과학적 복습 시스템

학습 결과 Data를 분석해, 문제별 최적화된
반복 학습량을
자동으로 분배해요.
학습에 소요되는 시간을 최소화하는
동시에
단기 기억을 장기 기억으로 전환해줘요.

36만 개 이상의
기출문제 무료 제공

공무원 및 약 300여종의 자격증 시험 기출문제
36만개
이상을 무료로 이용할 수 있어요.
여러 앱을 설치할 필요
없이, 오늘학습 하나로
모든 시험을 준비할 수 있어요.

다양한 문제 유형으로 만드는
나만의 단어장&문제집

기출 외에도 외워야 하는 내용은
객관식, 주관식, 카드, 빈칸
등 다양한 형식으로
직접 만들어 보세요. 내 학습 스타일에
맞게
나만의 단어장과 문제집을 만들 수 있어요.

시험별 체계적인
문제 관리

시험에 문제를 추가해 체계적으로
관리할 수 있어요.
주제나 단원별로
분류하고 싶다면,
시험에 챕터를 만들어
문제를 추가할 수도 있어요.

수십만 명이
오늘학습을 사랑합니다

앱 스토어 평점 4.9
구글 플레이 평점 4.8
누적 회원수 100,000+
지금 오늘학습을
시작해보세요
지금 시작하기
문제 선택