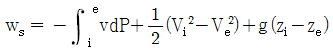
증기의 속도가 빠르고, 입출구 사이의 높이 차도 존재하여 운동에너지 및 위치에너지를 무시할 수 없다고 가정하고, 증기는 이상적인 단열상태에서 개방시스템 내로 흘러 들어가 단위질량유량당 축일(ws)을 외부로 제공하고 시스템으로부터 흘러나온다고 할 때, 단위질량유량당 축일을 어떻게 구할 수 있는가? (단, v는 비체적, P는 압력, V는 속도, g는 중력가속도, z는 높이를 나타내며, 하첨자 i는 입구, e는 출구를 나타낸다.)
지금 시작하기 →

・・・ 문제은행 에너지관리기사(2019년 3회) 32번

에너지관리기사 2019년 09월 32번

증기의 속도가 빠르고, 입출구 사이의 높이 차도 존재하여 운동에너지 및 위치에너지를 무시할 수 없다고 가정하고, 증기는 이상적인 단열상태에서 개방시스템 내로 흘러 들어가 단위질량유량당 축일(ws)을 외부로 제공하고 시스템으로부터 흘러나온다고 할 때, 단위질량유량당 축일을 어떻게 구할 수 있는가? (단, v는 비체적, P는 압력, V는 속도, g는 중력가속도, z는 높이를 나타내며, 하첨자 i는 입구, e는 출구를 나타낸다.)

1
2
3
4
단축키
이전 문제로 이동은 키를 누르고, 다음 문제로 이동은 키를 누르세요
이전 문제 , 다음 문제
문제(100)
1 연소 배출가스 중 CO2 함량을 분석하는 이유로 가장 거리가 먼 것은? 2 분무기로 노내에 분사된 연료에 연소용 공기를 유효하게 공급하여 연소를 좋게 하고, 확실한 착화와 화염의 안정을 도모하기 위해서 공기류를 적당히 조정하는 장치는? 3 다음 중 층류연소속도의 측정방법이 아닌 것은? 4 연료를 구성하는 가연원소로만 나열된 것은? 5 상온, 상압에서 프로판-공기의 가연성 혼합기체를 완전 연소시킬 때 프로판 1kg을 연소시키기 위하여 공기는 약 몇 kg이 필요한가? (단, 공기 중 산소는 23.15 wt% 이다.) 6 연소 시 배기가스량을 구하는 식으로 옳은 것은? (단, G : 배기가스량, Go : 이론배기가스량, Ao : 이론공기량, m : 공기비 이다.) 7 연료의 조성(wt%)이 다음과 같을 때의 고위발열량은 약 몇 kcal/kg 인가? (단, C, H, S의 고위발열량은 각각 8100 kcal/kg, 34200 kcal/kg, 2500 kcal/kg 이다.) 8 연소가스는 연돌에 200℃로 들어가서 30℃가 되어 대기로 방출된다. 배기가스가 일정한 속도를 가지려면 연돌 입구와 출구의 면적비를 어떻게 하여야 하는가? 9 다음 연소 범위에 대한 설명 중 틀린 것은? 10 액체연료의 유동점은 응고점보다 몇 ℃ 높은가? 11 도시가스의 조성을 조사하니 H2 30 v%, CO 6 v%, CH4 40 v%, CO2 24 v% 이었다. 이 도시가스를 연소하기 위해 필요한 이론 산소량 보다 20% 많게 공급했을 때 실제공기량은 약 몇 Nm3/Nm3 인가? (단, 공기 중 산소는 21 v% 이다.) 12 배기가스 출구 연도에 댐퍼를 부착하는 주된 이유가 아닌 것은?
13 가연성 혼합 가스의 폭발한계 측정에 영향을 주는 요소로 가장 거리가 먼 것은? 14 액체연료의 미립화 방법이 아닌 것은? 15 연돌내의 배기가스 비중량 γ1, 외기 비중량 γ2, 연돌의 높이가 H일 때 연돌의 이론 통풍력(Z)를 구하는 식은? 16 다음 분진의 중력침강속도에 대한 설명으로 틀린 것은? 17 메탄(CH4) 64kg을 연소시킬 때 이론적으로 필요한 산소량은 몇 kmol 인가? 18 다음 중 연소효율(ηc)을 옳게 나타낸 식은? (단, HL : 저위발열량, Li : 불완전연소에 따른 손실열, Lc : 탄 찌꺼기 속의 미연탄소분에 의한 손실열이다.) 19 A회사에 입하된 석탄의 성질을 조사하였더니 회분 6%, 수분 3%, 수소 5% 및 고위발열량이 6000 kcal/kg 이었다. 실제 사용할 때의 저발열량은 약 몇 kcal/kg 인가? 20 화염 면이 벽면 사이를 통과할 때 화염면에서의 발열량보다 벽면으로의 열손실이 더욱 커서 화염이 더 이상 진행하지 못하고 꺼지게 될 때 벽면 사이의 거리는? 21 다음 중 등엔트로피 과정에 해당하는 것은? 22 이상적인 교축 과정(throttling process)에 대한 설명으로 옳은 것은? 23 랭킨사이클로 작동되는 발전소의 효율을 높이려고 할 때 초압(터빈입구의 압력)과 배압(복수기 압력)은 어떻게 하여야 하는가? 24 다음 중 증발열이 커서 중형 및 대형의 산업용 냉동기에 사용하기에 가장 적정한 냉매는?
25 압력 1000kPa, 부피 1m3 의 이상기체가 등온과정으로 팽창하여 부피가 1.2 m3 이 되었다. 이때 기체가 한 일(kJ)은? 26 열역학적계란 고려하고자 하는 에너지 변화에 관계되는 물체를 포함하는 영역을 말하는데 이 중 폐쇄계(closed system)는 어떤 양의 교환이 없는 계를 말하는가? 27 피스톤이 장치된 용기 속의 온도 T1[K], 압력 P1[Pa], 체적 V1[m3] 의 이상기체 m[kg]이 있고, 정압과정으로 체적이 원래의 2배가 되었다. 이때 이상기체로 전달된 열량은 어떻게 나타내는가? (단, Cv 는 정적비열이다.) 28 카르로사이클에서 공기 1kg이 1사이클마다 하는 일이 100 kJ 이고 고온 227℃, 저온 27℃ 사이에서 작용한다. 이 사이클의 작동 과정에서 생기는 저온 열원의 엔트로피 증가(kJ/K)는? 29 열역학 제1법칙에 대한 설명으로 틀린 것은? 30 카르노 열기관이 600K의 고열원과 300K의 저열원 사이에서 작동하고 있다. 고열원으로부터 300kJ의 열을 공급받을 때 기관이 하는 일(kJ)은 얼마인가? 31 비열비 1.3의 고온 공기를 작동 물질로 하는 압축비 5의 오토사이클에서 최소 압력이 206 kPa, 최고 압력이 5400 kPa 일 때 평균 유효압력(kPa)은? 32 증기의 속도가 빠르고, 입출구 사이의 높이 차도 존재하여 운동에너지 및 위치에너지를 무시할 수 없다고 가정하고, 증기는 이상적인 단열상태에서 개방시스템 내로 흘러 들어가 단위질량유량당 축일(ws)을 외부로 제공하고 시스템으로부터 흘러나온다고 할 때, 단위질량유량당 축일을 어떻게 구할 수 있는가? (단, v는 비체적, P는 압력, V는 속도, g는 중력가속도, z는 높이를 나타내며, 하첨자 i는 입구, e는 출구를 나타낸다.) 33 랭킨사이클의 구성요소 중 단열 압축이 일어나는 곳은? 34 암모니아 냉동기의 증발기 입구의 엔탈피가 377 kJ/kg, 증발기 출구의 엔탈피가 1668 kJ/kg 이며 응축기 입구의 엔탈피가 1894 kJ/kg 이라면 성능계수는 얼마인가? 35 공기 표준 디젤사이크렝서 압축비가 17이고 단절비(cut-off ratio)가 3일 때 열효율(%)은? (단, 공기의 비열비는 1.4 이다.) 36 표준 증기 압축식 냉동사이클의 주요 구성 요소는 압축기, 팽창밸브, 응축기, 증발기이다. 냉동기가 동작할 때 작동 유체(냉매)의 흐름의 순서로 옳은 것은?
37 애드벌룬에 어떤 이상기체 100kg을 주입하였더니 팽창 후의 압력이 150 kPa, 온도 300K가 되었다. 애드벌룬의 반지름(m)은? (단, 애드벌룬은 완전한 구헝(sphere)이라고 가정하며, 기체상수는 250 J/kg·K 이다.) 38 이상기체의 상태변화에 관련하여 폴리트로픽(Polytropic) 지수 n에 대한 설명으로 옳은 것은? 39 80℃의 물(엔탈피 335 kJ/kg)과 100℃의 건포화수증기(엔탈피 2676 kJ/kg)를 질량비 1 : 2 로 혼합하여 열손실 없는 정상유동과정으로 95℃의 포화액-증기 혼합물 상태로 내보낸다. 95℃ 포화상태에서의 포화액 엔탈피가 398 kJ/kg, 포화증기의 엔탈피가 2668 kJ/kg 이라면 혼합실 출구의 건도는 얼마인가? 40 증기원동기의 랭킨사이클에서 열을 공급하는 과정에서 일정하게 유지되는 상태량은 무엇인가? 41 다음 중 가장 높은 압력을 측정할 수 있는 압력계는? 42 피드백(feedback) 제어계에 관한 설명으로 틀린 것은? 43 U자관 압력계에 대한 설명으로 틀린 것은? 44 다음 중 유량측정의 원리와 유량계를 바르게 연결한 것은? 45 수은 및 알코올 온도계를 사용하여 온도를 측정할 때 계측의 기본원리는 무엇인가? 46 다음 각 물리량에 대한 SI 유도단위의 기호로 틀린 것은? 47 산소의 농도를 측정할 때 기전력을 이용하여 분석, 계측하는 분석계는? 48 아르키메데스의 부력 원리를 이용한 액면측정 기기는?
61 유체의 역류를 방지하기 위한 것으로 밸브의 무게와 밸브의 양면 간 압력차를 이용하여 밸브를 자동으로 작동시켜 유체가 한쪽 방향으로만 흐르도록 한 밸브는? 62 주철관에 대한 설명으로 틀린 것은? 63 다음 중 에너지이용 합리화법에 따라 에너지 다소비사업자에게 에너지관리 개선명령을 할 수 있는 경우는? 64 산화 탈산을 방지하는 공구류의 담금질에 가장 적합한 로는? 65 에너지이용 합리화법에 따라 용접검사가 면제되는 대상범위에 해당되지 않는 것은?(오류 신고가 접수된 문제입니다. 반드시 정답과 해설을 확인하시기 바랍니다.) 66 마그네시아질 내화물이 수증기에 의해서 조직이 약화되어 노벽에 균열이 발생하여 붕괴하는 현상은? 67 에너지이용 합리화법에 따라 에너지다소비사업자의 신고에 대한 설명으로 옳은 것은? 68 셔틀요(shuttle kiln)의 특징으로 틀린 것은? 69 두게 230mm의 내화벽돌, 114mm의 단열벽돌, 230mm의 보통벽돌로 된 노의 평면 벽에서 내벽면의 온도가 1200℃이고 외벽면의 온도가 120℃일 때, 노벽 1m2당 열손실(W)은? (단, 내화벽돌, 단열벽돌, 보통벽돌의 열전도도는 각각 1.2, 0.12, 0.6 W/m·℃ 이다.) 70 에너지이용 합리화법에 따라 에너지 저장의무 부과 대상자가 아닌 자는? 71 다음 중 최고사용온도가 가장 낮은 보온재는? 72 요로를 균일하게 가열하는 방법이 아닌 것은?
73 에너지이용 합리화법에 따라 에너지 절약형 시설투자 시 세제지원이 되는 시설투자가 아닌 것은? 74 에너지이용 합리화법에 따라 에너지이용 합리화 기본계획에 대한 설명으로 틀린 것은? 75 에너지이용 합리화법에서 규정한 수요관리 전문기관에 해당하는 것은? 76 에너지이용 합리화법에 따라 공공사업주관자는 에너지사용계획의 조정 등 조치 요청을 받은 경우에는 산업통상자원부령으로 정하는 바에 따라 조치 이행계획을 작성하여 제출하여야 한다. 다음 중 이행계획에 반드시 포함되어야 하는 항목이 아닌 것은? 77 보온재의 열전도율에 대한 설명으로 옳은 것은? 78 다음 중 에너지이용 합리화법에 따른 에너지사용계획의 수립대상 사업이 아닌 것은? 79 다음 중 규석벽돌로 쌓은 가마 속에서 소성하기에 가장 적절하지 못한 것은? 80 에너지법에 의한 에너지 총 조사는 몇 년 주기로 시행하는가? 81 보일러에서 스케일 및 슬러지의 생성 시 나타나는 현상에 대한 설명으로 가장 거리가 먼 것은? 82 보일러의 부대장치 중 공기예열기 사용 시 나타나는 특징으로 틀린 것은? 83 보일러수 1500kg 중에 불순물이 30g이 검출되었다. 이는 몇 ppm 인가? (단, 보일러수의 비중은 1 이다.) 84 열사용 설비는 많은 전열면을 가지고 있는데 이러한 전열면이 오손되면 전열량이 감소하고, 열설비의 손상을 초래한다. 이에 대한 방지대책으로 틀린 것은?
App Store Google Play
오늘학습 예시 이미지

시험에 합격하려면
복습을 제대로 해야 합니다.

오늘학습은 스스로 기억을 떠올리고 계획적으로 복습할 수 있도록 설계돼 있어요.
그것도, 가장 과학적인 방식으로요!

능동적 회상

능동적 회상
(Active Recall)

배운 내용을 단순 읽으며 반복하는 것이 아니라,
능동적으로 기억하고 있는지를
스스로 테스트하며
공부할 수 있는
학습 환경을 제공해 학습 효과를 높여요

간격 반복 학습

간격 반복 학습
(Spaced Repetition)

에빙하우스 망각곡선을 바탕으로
가장 최적의 시점에 복습을 제공하여
배운 내용이 잊히지 않도록 장기 기억화해요

Data 기반의
뇌과학적 복습 시스템

학습 결과 Data를 분석해, 문제별 최적화된
반복 학습량을
자동으로 분배해요.
학습에 소요되는 시간을 최소화하는
동시에
단기 기억을 장기 기억으로 전환해줘요.

36만 개 이상의
기출문제 무료 제공

공무원 및 약 300여종의 자격증 시험 기출문제
36만개
이상을 무료로 이용할 수 있어요.
여러 앱을 설치할 필요
없이, 오늘학습 하나로
모든 시험을 준비할 수 있어요.

다양한 문제 유형으로 만드는
나만의 단어장&문제집

기출 외에도 외워야 하는 내용은
객관식, 주관식, 카드, 빈칸
등 다양한 형식으로
직접 만들어 보세요. 내 학습 스타일에
맞게
나만의 단어장과 문제집을 만들 수 있어요.

시험별 체계적인
문제 관리

시험에 문제를 추가해 체계적으로
관리할 수 있어요.
주제나 단원별로
분류하고 싶다면,
시험에 챕터를 만들어
문제를 추가할 수도 있어요.

수십만 명이
오늘학습을 사랑합니다

앱 스토어 평점 4.9
구글 플레이 평점 4.8
누적 회원수 100,000+
지금 오늘학습을
시작해보세요
지금 시작하기
문제 선택