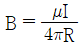
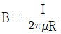
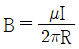
무한장 직선형 도선에 I(A)의 전류가 흐를 경우 도선으로부터 R(m) 떨어진 점의 자속밀도 B(Wb/m2)는?
지금 시작하기 →

・・・ 문제은행 전기철도기사(2019년) 42번

전기철도기사 2019년 08월 42번

무한장 직선형 도선에 I(A)의 전류가 흐를 경우 도선으로부터 R(m) 떨어진 점의 자속밀도 B(Wb/m2)는?

1
2
3
4
단축키
이전 문제로 이동은 키를 누르고, 다음 문제로 이동은 키를 누르세요
이전 문제 , 다음 문제
문제(80)
1 자동장력조정장치의 설치에 대한 설명으로 틀린 것은? 2 교류 급전측 단상 단락사고 고장 전류(Is)계산식은? (단, Is : 고장전류[kA], V : 급전전압[kV], Z0 : 전원임피던스[Ω], ZTR : 변압기임피던스[Ω], ZL : 선로임피던스[Ω], rg : 고장점 저항[Ω] 이다.) 3 강체전차선로에서 R-Bar 브래킷의 종류가 아닌 것은? 4 고속철도 전차선의 사전 이도량 54/2000에 대한 2번째 드로퍼의 처짐량(m)은? (단, 전차선의 사전 이도구간 길이는 45m, 첫 번째 드로퍼 거리는 4.5m, 두 번째 드로퍼 거리는 11.25m 이다.) 5 전차선의 장력(N)을 T, 전차선의 단위 길이 질량(kg/m)을 p라 할 때 파동전파속도(m/sec) C는? 6 전차선의 편위 결정 시 고려 사항이 아닌 것은? 7 에어섹션의 평행부부분에서 전차선 상호간의 이격거리(mm)로 맞는 것은? (단, 속도등급 300킬로급 이상) 8 교류급전방식의 특징이 아닌 것은? 9 주전동기의 단자전압이 1200V, 전류가 300A 인 경우, 전기차의 출력(kW)은? (단, 주전동기의 효율은 0.9, 전동기의 대수는 3대이다.) 10 절연구분장치에 대한 설명으로 틀린 것은? 11 커티너리 방식의 경우 가선계의 최고설계속도는 팬터그래프에 의해 발생하는 가공전차선 동요임펄스 파동전파속도의 몇 % 이하가 되도록 하는가? 12 경간 중앙에서의 전차선 편위 값(uN)을 구하는 계산식은? (단, uN1, uN2는 양단 전주에서의 편위 값, 곡선 외측이 +값)
37 가공전차선로에 설치된 단독전철주의 지면으로부터 높이는 11m이다. 이 전주에 수평분포하중 32kgf/m가 작용하는 경우 지면과의 경계점 모멘트(kgf·m)는? 38 비례한도에 대한 설명으로 맞는 것은? 39 보(Beam)가 하중에 받게 되면 직선이던 부재축은 변형하여 곡선을 이루게 된다. 이 변형된 축선을 무엇이라 하는가? 40 지점(支點)에 대한 설명으로 옳은 것은? 41 반지름 a(m)의 구 도체에 전하 Q(C)가 주어질 때 구 도체 표면에 작용하는 정전응력은 몇 N/m2 인가? 42 무한장 직선형 도선에 I(A)의 전류가 흐를 경우 도선으로부터 R(m) 떨어진 점의 자속밀도 B(Wb/m2)는? 43 강자성체의 세 가지 특성에 포함되지 않는 것은? 44 단면적이 s(m2), 단위 길이에 대한 권수가 n(회/m)인 무한히 긴 솔레노이드의 단위 길이당 자기인덕턴스(H/m)는? 45 전하 q(C)가 진공 중의 자계 H(AT/m)에 수직방향으로 v(m/s)의 속도로 움직일 때 받는 힘은 몇 N인가? (단, 진공 중의 투자율은 μo 이다.) 46 정전용량이 1μF이고 판의 간격이 d인 공기콘덴서가 있다. 두께 , 비유전율 εr=2 유전체를 그 콘덴서의 한 전극면에 접촉하여 넣었을 때 전체의 정전용량(μF)은? 47 송전선의 전류가 0.01초 사이에 10kA 변화될 때 이 송전선에 나란한 통신선에 유도되는 유도 전압은 몇 V인가? (단, 송전선과 통신선 간의 상호유도계수는 0.3mH 이다.) 48 단면적 15cm2의 자석 근처에 같은 단면적을 가진 철편을 놓을 때 그 곳을 통하는 자속이 3×10-4Wb이면 철편에 작용하는 흡인력은 약 몇 N인가?
49 전기 저항에 대한 설명으로 틀린 것은? 50 자계의 백터포텐셜을 A라 할 때 자계의 시간적 변화에 의하여 생기는 전계의 세기 E는? 51 변위전류와 가장 관계가 깊은 것은? 52 진공 중에서 점 P(1, 2, 3) 및 점 Q(2, 0, 5)에 각각 300μC, -100μC인 점전하가 놓여 있을 때 점전하 –100μC에 작용하는 힘은 몇 N인가? 53 환상철심의 평균 자계의 세기가 3000 AT/m 이고, 비투자율이 600인 철심 중의 자화의 세기는 약 몇 Wb/m2 인가? 54 다음 금속 중 저항률이 가장 작은 것은? 55 원통 좌표계에서 일반적으로 벡터가 A=5r sin øaz로 표현될 때 점(2, π/2, 0)에서 curl A를 구하면? 56 전자파의 특성에 대한 설명으로 틀린 것은? 57 도전도 k=6×1017℧/m, 투자율 인 평면도체 표면에 10kHz의 전류가 흐를 때, 침투깊이 δ(m)는? 58 평행판 콘덴서의 극간 전압이 일정한 상태에서 극간에 공기가 있을 때의 흡인력을 F1, 극판 사이에 극판 간격의 2/3 두께의 유리판(εr=10)을 삽입할 때의 흡인력을 F2라 하면 F2/F1는? 59 정전용량이 각각 C1, C2, 그 사이의 상호 유도계수가 M인 절연된 두 도체가 있다. 두 도체를 가는 선을 연결할 경우, 정전용량은 어떻게 표현되는가? 60 길이 ℓ(m)인 동축 원통 도체의 내외원통에 각각 +λ, -λ(C/m)의 전하가 분포되어 있다. 내외원통 사이의 유전율 ε인 유전체가 채워져 있을 때, 전계의 세기(V/m)는? (단, V는 내외원통 간의 전위차, D는 전속밀도이고, a, b는 내외원통의 반지름이며, 원통 중심에서의 거리 r은 a<r<b 인 경우이다.)
App Store Google Play
오늘학습 예시 이미지

시험에 합격하려면
복습을 제대로 해야 합니다.

오늘학습은 스스로 기억을 떠올리고 계획적으로 복습할 수 있도록 설계돼 있어요.
그것도, 가장 과학적인 방식으로요!

능동적 회상

능동적 회상
(Active Recall)

배운 내용을 단순 읽으며 반복하는 것이 아니라,
능동적으로 기억하고 있는지를
스스로 테스트하며
공부할 수 있는
학습 환경을 제공해 학습 효과를 높여요

간격 반복 학습

간격 반복 학습
(Spaced Repetition)

에빙하우스 망각곡선을 바탕으로
가장 최적의 시점에 복습을 제공하여
배운 내용이 잊히지 않도록 장기 기억화해요

Data 기반의
뇌과학적 복습 시스템

학습 결과 Data를 분석해, 문제별 최적화된
반복 학습량을
자동으로 분배해요.
학습에 소요되는 시간을 최소화하는
동시에
단기 기억을 장기 기억으로 전환해줘요.

36만 개 이상의
기출문제 무료 제공

공무원 및 약 300여종의 자격증 시험 기출문제
36만개
이상을 무료로 이용할 수 있어요.
여러 앱을 설치할 필요
없이, 오늘학습 하나로
모든 시험을 준비할 수 있어요.

다양한 문제 유형으로 만드는
나만의 단어장&문제집

기출 외에도 외워야 하는 내용은
객관식, 주관식, 카드, 빈칸
등 다양한 형식으로
직접 만들어 보세요. 내 학습 스타일에
맞게
나만의 단어장과 문제집을 만들 수 있어요.

시험별 체계적인
문제 관리

시험에 문제를 추가해 체계적으로
관리할 수 있어요.
주제나 단원별로
분류하고 싶다면,
시험에 챕터를 만들어
문제를 추가할 수도 있어요.

수십만 명이
오늘학습을 사랑합니다

앱 스토어 평점 4.9
구글 플레이 평점 4.8
누적 회원수 100,000+
지금 오늘학습을
시작해보세요
지금 시작하기
문제 선택