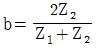
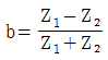
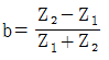
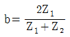
서지파(진행파)가 서지 임피던스 Z1의 선로측에서 서지임피던스 Z2의 선로측으로 입사할 때 투과계수(투과파전압÷입사파전압)b를 나타내는 식은?
지금 시작하기 →

・・・ 문제은행 전기철도기사(2018년) 64번

전기철도기사 2018년 08월 64번

서지파(진행파)가 서지 임피던스 Z1의 선로측에서 서지임피던스 Z2의 선로측으로 입사할 때 투과계수(투과파전압÷입사파전압)b를 나타내는 식은?

1
2
3
4
단축키
이전 문제로 이동은 키를 누르고, 다음 문제로 이동은 키를 누르세요
이전 문제 , 다음 문제
문제(80)
1 직류강체방식(T-bar)에서 지상부의 가공 전차선이 터널내로 들어와 강체 전차선으로 바뀌어지는 부분에 팬터 그래프가 자연스럽게 옮겨지면서 원활하게 운행할 수 있도록 하는 장치는? 2 팬터그래프의 이선속도는 약 몇 km/h인가? (단, 가선방식:심플 커티너리, 공진속도:137km/h, 스프링계수 부등률:0.4) 3 전차선과 가동브래킷의 수평파이프(진동방지파이프)의 수직 중심간격(mm)은? (단, 속도등급:300킬로급 이상) 4 AT 급전방식에서 전차선과 급전선간의 표준전압(kV)은? 5 경량전철에서 추진력을 얻는 방식으로 궤도와 차륜의 점착력 대신 리액션 플레이트(reaction plate) 사이의 전자력을 추진력으로 사용하는 방식은? 6 급전회로의 길이가 긴 선로에서 선로의 공진현상을 억제하는 장치는? 7 경간 60m, 구배 3‰으로 전차선이 낮아진다면, 전차선 높이가 5.2m인 경우 다음 전주의 전차선 높이(m)는? 8 뇌의 파두장5㎲, 전파속도 500m/㎲라 할 때, 피뢰기의 직선적 유효보호 범위(m)는? 9 전차선 110mm2의 아크전류가 3000A라면 전차선의 단선시점은 몇 초(s)인가? 10 전차선로의 섬락보호지선 시설에 대한 설명으로 틀린 것은? 11 터널 시?종단에 설치하는 브래킷은 터널시?종점으로부터 몇 m 이내의 위치에 설치함을 원칙으로 하는가? 12 전기차 운전속도에서 표정속도(V)를 구하는 식으로 옳은 것은? (단, V:표정속도(km/h), T1:순주행시간(h), T2:정차시간(h), L:운전거리(km))
13 가공전차선로의 기계적 구분 개소(에어조인트)에 사용 되는 커넥터로 옳은 것은? 14 T - bar 강체가선 브래킷의 표준간격(m)은? 15 두 전차선 상호에 평행 부분을 일정간격으로 이격시켜 공기절연을 이용한 동상용 절연구분 장치는? 16 단권변압기 방식에소 보호선의 설치 목적이 아닌 것은? 17 빔 및 브래킷의 소재 허용응력에 대한 안전율은? 18 인류구간의 양쪽에 활차식 자동장력 조정장치를 사용한 경우 흐름방지장치 시설에 대한 설명으로 틀린 것은? 19 교류급전방식에서 위상이 90° 다른 M상과 T상이 혼촉한 경우의 고장 전류식은? (단, VMT:MT 혼촉전압, IMT:MT 혼촉전류, ZAT:AT누설 임피던스, Z0:전원 임피던스, ZM:ZT:변압기 임피던스) 20 교류급전방식에서 단권변압기의 설치방법으로 옳은 것은? 21 지내력 측정이 필요한 점토지반의 경우 I형 기초저항 모멘트는 약 몇 tonf·m인가? (단, 기초폭 d=0.7m, 콘 지지력q=60tonf/m2, 기초길이 L=2.0m, 지형계수 K=1.0, 형상계수 f=1.0, 안전율 F=2.0) 22 전기철도의 빔(Beam)중 고정식 빔의 종류가 아닌 것은? 23 조합철주에서 단경사재를 사용하는 경우의 수평면에 대한 경사 각도는? 24 태풍이 10분간 평균풍속 30m/s로 관측되었다. 순간 풍속의 관측값이 없을 경우 이 태풍의 5초간 최대 순간 풍속(m/s)은 얼마로 추정하는가?
25 훅의 법칙이 성립되는 최대한도는? 26 힘의 ?요소가 아닌 것은? 27 구조물이 핀으로 연결되어 이동은 할 수 없고 회전만 가능한 것으로 반력은 수평반력과 수직반력 2개가 일어나는 지점은? 28 단독 지지주에서 지지점의 높이가 5.4m인 전차선에 126.7kgf의 수평집중하중이 작용하는 경우, 높이 4m 지지점에서의 전단력은 약 몇 kgf인가? 29 가동 브래킷의 회전 억제저항은 전차선의 수직하중과 횡장력을 받은 상태에서 1개소 당 몇 kg 이하로 하는가? 30 지선의 인장력에 대한 안전율은? 31 전기철도 구조물의 강도계산에서 비중 0.9의 빙설이 전선류 주위에 6mm의 두께로 부착되고 외부 기온을 -0.5℃로 적용하는 풍압하중은? 32 바깥지름이 3cm, 두께가 0.5cm인 원형단면 강관이 있다. 이 강관의 원형단면의 도심축에 대한 단면2차 모멘트(cm4)는? 33 한 점에 작용하는 3개의 힘이 서로 평형을 이루고 있다면 이 3개의 힘은 동일한 평면상에 있고 일점에서 만나는데, 이때 각각의 힘은 다른 두 힘의 사이각의 정현(sine)에 정비례한다는 이론은? 34 다음 보의 중앙부 C점에서의 휨모멘트는? 35 다음 구조물에서 부정정차수가 가장 많은 것은? 36 전차선로의 곡선로에서 지지점과 경간 중앙에서의 기울기량이 같을 때, 전차선의 기울기를 나타내는 공식은? (단, d:전차선의 기울기량(m), S:경간(m), R:곡선반지름(m))
49 평면도체 표면에서 d(m)거리에 점전하 Q(C)이 있을 때, 이 전하를 무한원점까지 운반하는데 필요한 일(J)은? 50 비투자율 1000인 철심이 든 환상솔레노이드의 권수가 600회, 평균지름 20cm, 철심의 단면적 10cm2이다. 이솔레노이드에 2A의 전류가 흐를 때 철심 내의 자속은 약 몇 Wb인가? 51 도체나 반도체에 전류를 흘리고 이것과 직각 방향으로 자계를 가하면 이 두 방향과 직각 방향으로 기전력이 생기는 현상을 무엇이라 하는가? 52 자성체 경계면에 전류가 없을 때의 경계 조건으로 틀린 것은? 53 길이 ℓ(m), 지름 d(m)인 원통이 길이 방향으로 균일하게 자화되어 자화의 세기가 H(Wb/m2)인 경우 원통 양단에서의 전자극의 세기(Wb)는? 54 진공 중에서 선전하 밀도 ρℓ=6×10-8C/m인 무한히 긴 직선상 선전하가 x축과 나란하고 z=2m 점을 지나고 있다. 이 선전하에 의하여 반지름 5m인 원점에 중심을둔 구표면 S0를 통과하는 전기력선수는 약 몇 V/m인가? 55 그 양이 증가함에 따라 무한장 솔레노이드의 자기인덕턴스 값이 증가하지 않는 것은 무엇인가? 56 대지면에 높이 h(m)로 평행하게 가설된 매우 긴 선전하가지면으로부터 받는 힘은? 57 자기인덕턴스 L1, L2와 상호인덕턴스 M사이의 결합계수는? (단, 단위는 H이다.) 58 판자석의 세기가 0.01Wb/m, 반지름이 5cm인 원형 자석판이 있다. 자석의 중심에서 축상 10cm인 점에서의 자위의 세기는 몇 AT인가? 59 정전에너지, 전속밀도 및 유전상수 εr의 관계에 대한 설명 중 틀린 것은? 60 동심 구형 콘덴서의 내외 반지름을 각각 5배로 증가 시키면 정전 용량은 몇 배로 증가하는가?
App Store Google Play
오늘학습 예시 이미지

시험에 합격하려면
복습을 제대로 해야 합니다.

오늘학습은 스스로 기억을 떠올리고 계획적으로 복습할 수 있도록 설계돼 있어요.
그것도, 가장 과학적인 방식으로요!

능동적 회상

능동적 회상
(Active Recall)

배운 내용을 단순 읽으며 반복하는 것이 아니라,
능동적으로 기억하고 있는지를
스스로 테스트하며
공부할 수 있는
학습 환경을 제공해 학습 효과를 높여요

간격 반복 학습

간격 반복 학습
(Spaced Repetition)

에빙하우스 망각곡선을 바탕으로
가장 최적의 시점에 복습을 제공하여
배운 내용이 잊히지 않도록 장기 기억화해요

Data 기반의
뇌과학적 복습 시스템

학습 결과 Data를 분석해, 문제별 최적화된
반복 학습량을
자동으로 분배해요.
학습에 소요되는 시간을 최소화하는
동시에
단기 기억을 장기 기억으로 전환해줘요.

36만 개 이상의
기출문제 무료 제공

공무원 및 약 300여종의 자격증 시험 기출문제
36만개
이상을 무료로 이용할 수 있어요.
여러 앱을 설치할 필요
없이, 오늘학습 하나로
모든 시험을 준비할 수 있어요.

다양한 문제 유형으로 만드는
나만의 단어장&문제집

기출 외에도 외워야 하는 내용은
객관식, 주관식, 카드, 빈칸
등 다양한 형식으로
직접 만들어 보세요. 내 학습 스타일에
맞게
나만의 단어장과 문제집을 만들 수 있어요.

시험별 체계적인
문제 관리

시험에 문제를 추가해 체계적으로
관리할 수 있어요.
주제나 단원별로
분류하고 싶다면,
시험에 챕터를 만들어
문제를 추가할 수도 있어요.

수십만 명이
오늘학습을 사랑합니다

앱 스토어 평점 4.9
구글 플레이 평점 4.8
누적 회원수 100,000+
지금 오늘학습을
시작해보세요
지금 시작하기
문제 선택