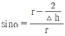
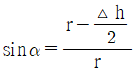
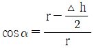
접촉각과 압하량의 관계를 바르게 나타낸 것은? (단, △h는 압하량, r은 롤의 반지름, α는 접촉각이다.)
지금 시작하기 →

・・・ 문제은행 압연기능사(2016년 2회) 33번

압연기능사 2016년 04월 33번

접촉각과 압하량의 관계를 바르게 나타낸 것은? (단, △h는 압하량, r은 롤의 반지름, α는 접촉각이다.)

1
2
3
4
단축키
이전 문제로 이동은 키를 누르고, 다음 문제로 이동은 키를 누르세요
이전 문제 , 다음 문제
문제(60)
25 로울의 직경이 340mm, 회전수 150rpm일 때 압연되는 재료의 출구 속도는 3.67m/sec이었다면 전진율은? 26 워킹빔식 가열로에서 유압, 전동에 의해 움직이는 과정으로 옳은 것은? 27 슬래브 15000톤을 처리하여 코일 13500톤을 생산했을 때 압연 실수율은 몇 %인가? (단, 재열재는 500톤이 발생하였고, 지열재는 소재량에 포함시키지 않는다.) 28 작은 입자의 강철이나 그리드를 분사하여 스케일을 기계적으로 제거하는 작업은? 29 공업용 로에 쓰이는 내화재료는 제게르 추 몇 번 이상이 사용되는가? 30 압연시 Roll 및 강판에 압연유의 균일한 플레이트 아웃(전개 부착)을 위한 에멀션 특성으로 틀린 것은? 31 맞물려 돌아가는 한쌍의 롤(Roll)사이에 금속재료를 넣어 단면적 혹은 두께를 감소시키는 금속가공법은? 32 압연 중 압연 하중에 의해서 발생되는 롤 밴딩 현상은 스트립의 Profile에 큰 영향을 미친다. 스트립의 용도에 맞는 Profile을 관리하게 되는 데 Strip Profile과 관계가 먼 것은? 33 접촉각과 압하량의 관계를 바르게 나타낸 것은? (단, △h는 압하량, r은 롤의 반지름, α는 접촉각이다.) 34 강판결함검사 중 아래의 원인으로 발생하는 결함은? 35 냉간 압연강판의 정정 설비의 목적으로 틀린 것은? 36 압연기의 롤러 베어링에 그리스 윤활을 하려고 할 때 가장 좋은 급유 방법은?
App Store Google Play
오늘학습 예시 이미지

시험에 합격하려면
복습을 제대로 해야 합니다.

오늘학습은 스스로 기억을 떠올리고 계획적으로 복습할 수 있도록 설계돼 있어요.
그것도, 가장 과학적인 방식으로요!

능동적 회상

능동적 회상
(Active Recall)

배운 내용을 단순 읽으며 반복하는 것이 아니라,
능동적으로 기억하고 있는지를
스스로 테스트하며
공부할 수 있는
학습 환경을 제공해 학습 효과를 높여요

간격 반복 학습

간격 반복 학습
(Spaced Repetition)

에빙하우스 망각곡선을 바탕으로
가장 최적의 시점에 복습을 제공하여
배운 내용이 잊히지 않도록 장기 기억화해요

Data 기반의
뇌과학적 복습 시스템

학습 결과 Data를 분석해, 문제별 최적화된
반복 학습량을
자동으로 분배해요.
학습에 소요되는 시간을 최소화하는
동시에
단기 기억을 장기 기억으로 전환해줘요.

36만 개 이상의
기출문제 무료 제공

공무원 및 약 300여종의 자격증 시험 기출문제
36만개
이상을 무료로 이용할 수 있어요.
여러 앱을 설치할 필요
없이, 오늘학습 하나로
모든 시험을 준비할 수 있어요.

다양한 문제 유형으로 만드는
나만의 단어장&문제집

기출 외에도 외워야 하는 내용은
객관식, 주관식, 카드, 빈칸
등 다양한 형식으로
직접 만들어 보세요. 내 학습 스타일에
맞게
나만의 단어장과 문제집을 만들 수 있어요.

시험별 체계적인
문제 관리

시험에 문제를 추가해 체계적으로
관리할 수 있어요.
주제나 단원별로
분류하고 싶다면,
시험에 챕터를 만들어
문제를 추가할 수도 있어요.

수십만 명이
오늘학습을 사랑합니다

앱 스토어 평점 4.9
구글 플레이 평점 4.8
누적 회원수 100,000+
지금 오늘학습을
시작해보세요
지금 시작하기
문제 선택