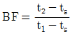
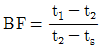
냉각코일의 입구공기온도 t1, 출구공기온도 t2, 냉각코일표면온도가 ts 일 때 바이패스팩터(BF)를 바르게 표기한 것은?
지금 시작하기 →

・・・ 문제은행 건축설비산업기사(2018년 2회) 51번

건축설비산업기사 2018년 04월 51번

냉각코일의 입구공기온도 t1, 출구공기온도 t2, 냉각코일표면온도가 ts 일 때 바이패스팩터(BF)를 바르게 표기한 것은?

1
2
3
4
단축키
이전 문제로 이동은 키를 누르고, 다음 문제로 이동은 키를 누르세요
이전 문제 , 다음 문제
문제(80)
61 건축물의 에너지절약설계기준에 따른 단열재의 두께는 지역별로 다르다. 지역별 분류 중 중부지역에 속하지 않는 곳은? 62 다음은 건축물의 에너지절약설계기준에 따른 야간단 열장치의 정의이다. ( )안에 알맞은 것은? 63 다음은 화재예방, 소방시설 설치∙유지 및 안전 관리에 관한 법령에 따른 무창층의 정의이다. 밑줄 친 각 목의 요건 내용으로 옳지 않은 것은? 64 건축물의 바깥쪽에 설치하는 피난계단의 구조에 관한 기준 내용으로 옳지 않은 것은? 65 공동주택의 난방설비를 개별난방방식으로 하는 경우에 관한 기준 내용으로 옳지 않은 것은? 66 다음은 허가 대상 건축물이라 하더라도 미리 특별자치시장∙특별자치도지사 또는 시장∙군수∙구청장에게 국토교통부령으로 정하는 바에 따라 신고를 하면 건축허가를 받은 것으로 보는 경우에 관한 기준 내용이다. ( )안에 알맞은 것은? 67 다음 중 건축법령상 건축물의 주요구조부에 속하지 않는 것은? 68 채광을 위하여 단독주택의 거실에 설치하는 창문등의 면적은 그 거실의 바닥면적의 최소 얼마 이상이어야 하는가? (단, 거실의 용도에 따라 규정된 조도 이상의 조명장치를 설치하지 않은 경우) 69 다음 중 방화구조가 아닌 것은? 70 건축법령상 다세대주택의 정의로 옳은 것은? 71 건축법령상 다음과 같이 정의되는 용어는? 72 다음은 건축물의 피난∙안전을 위하여 건축물 중간층에 설치하는 대피공간인 피난안전구역에 관한 기준 내용이다. ( )안에 알맞은 것은?
73 다음은 건축법령상 건축설비 설치의 원칙에 관한 기준 내용이다. ( )안에 알맞은 것은? 74 급수∙배수(配水)∙배수(排水)∙환기∙난방 설비를 건축물에 설치하는 경우 건축기계설비기술사 또는 공조냉동기계기술사의 협력을 받아야 하는 대상 건축물에 속하지 않는 것은? (단, 해당 용도에 사용되는 바닥면적의 합계가 2,000m2인 건축물의 경우) 75 특정소방대상물이 아파트인 경우, 이 아파트가 1급 소방안전관리대상물에 속하기 위한 높이 기준은? 76 신축 또는 리모델링하는 경우 시간당 0.5회 이상의 환기가 이루어질 수 있도록 자연환기설비 또는 기계환기 설비를 설치하여야 하는 대상 공동주택의 세대수 기준은?(2020년 04월 09일 개정된 기준 적용됨) 77 다음은 자동화재속보설비를 설치하여야 하는 특정소방대상물에 관한 기준 내용이다. ( )안에 알맞은 것은? 78 다음 건축물 중 건축 시 설치하여야 하는 승용승강기의 최소 대수가 가장 많은 것은? (단, 6층 이상의 거실면적의 합계가 7,000m2이며, 15인승 승용승강기의 경우) 79 다음 중 주요구조부를 내화구조로 하여야 하는 대상 건축물에 속하지 않는 것은? 80 다음은 건축허가등을 할 때 미리 소방본부장 또는 소방서장의 동의를 받아야 하는 건축물 등의 범위에 관한 기준 내용이다. ( )안에 알맞은 것은?
App Store Google Play
오늘학습 예시 이미지

시험에 합격하려면
복습을 제대로 해야 합니다.

오늘학습은 스스로 기억을 떠올리고 계획적으로 복습할 수 있도록 설계돼 있어요.
그것도, 가장 과학적인 방식으로요!

능동적 회상

능동적 회상
(Active Recall)

배운 내용을 단순 읽으며 반복하는 것이 아니라,
능동적으로 기억하고 있는지를
스스로 테스트하며
공부할 수 있는
학습 환경을 제공해 학습 효과를 높여요

간격 반복 학습

간격 반복 학습
(Spaced Repetition)

에빙하우스 망각곡선을 바탕으로
가장 최적의 시점에 복습을 제공하여
배운 내용이 잊히지 않도록 장기 기억화해요

Data 기반의
뇌과학적 복습 시스템

학습 결과 Data를 분석해, 문제별 최적화된
반복 학습량을
자동으로 분배해요.
학습에 소요되는 시간을 최소화하는
동시에
단기 기억을 장기 기억으로 전환해줘요.

36만 개 이상의
기출문제 무료 제공

공무원 및 약 300여종의 자격증 시험 기출문제
36만개
이상을 무료로 이용할 수 있어요.
여러 앱을 설치할 필요
없이, 오늘학습 하나로
모든 시험을 준비할 수 있어요.

다양한 문제 유형으로 만드는
나만의 단어장&문제집

기출 외에도 외워야 하는 내용은
객관식, 주관식, 카드, 빈칸
등 다양한 형식으로
직접 만들어 보세요. 내 학습 스타일에
맞게
나만의 단어장과 문제집을 만들 수 있어요.

시험별 체계적인
문제 관리

시험에 문제를 추가해 체계적으로
관리할 수 있어요.
주제나 단원별로
분류하고 싶다면,
시험에 챕터를 만들어
문제를 추가할 수도 있어요.

수십만 명이
오늘학습을 사랑합니다

앱 스토어 평점 4.9
구글 플레이 평점 4.8
누적 회원수 100,000+
지금 오늘학습을
시작해보세요
지금 시작하기
문제 선택