다음 중 기압좌표계로 표현된 기압경도력은? (단, ρ는 밀도, P는 기압, 는 geopotential)
지금 시작하기 →

・・・ 문제은행 기상기사(2018년) 58번

기상기사 2018년 08월 58번

다음 중 기압좌표계로 표현된 기압경도력은? (단, ρ는 밀도, P는 기압, 는 geopotential)

1
2
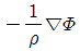
3
4
단축키
이전 문제로 이동은 키를 누르고, 다음 문제로 이동은 키를 누르세요
이전 문제 , 다음 문제
문제(100)
25 어느 기체의 질량을 m, 분자량을 M, 비기체상수를 R, 보편기체상수를 R*이라 할 때, 이들 사이의 관계는? 26 등밀대기(homogeneous atmosphere)의 높이(H)는 다음 중 어느 식으로 주어지는가? (단, ρ는 밀도, g는 중력가속도, P0는 해면기압이다.) 27 습윤단열선에 따라서 일정한 것은? 28 얼음을 융해시키는데 필요한 융해열은? 29 열역학선도에서 상층의 양의 면적(positive area)보다 하층의 음의 면적(negative area)이 넓은 경우는? 30 화씨온도(°F)와 섭씨온도(℃)의 관계식은? 31 닫힌 용기 안에 A, B, C 세 기체가 들어 있으며 각 기체의 의한 부분압은 각각 10hPa, 5hPa, 3hPa 일 때 세 기체의 총압은? 32 불포화 공기에서 포화단열기온 감율(γs), 건조단열기온 감율(γd)와 대기의 기온감율(γ)을 비교할 때, γs < γ < γd 이면 어떤 상태인가? 33 산소, 질소의 분자량은 각각 32, 28, 공기에 대한 산소의 질량비는 0.23, 질소의 질량비는 0.769 이다. 공기(겉보기)의 분자량은? 34 수은 대신에 밀도가 1g/cm3 인 물을 이용해서 기압계를 만들었을 경우 기압이 1000 hPa 일 때 물기둥의 높이는? (단, 중력가속도는 980cm/sec2 이다.) 35 습윤공기의 온도를 T, 혼합비를 x라 할 때, 가온도(vitual temperature) Tv를 구하는 공식은? 36 건조공기에서 기체상수 R, 정압비열 Cp, 정적비열 Cv 사이의 관계로 옳은 것은?
37 등밀대기(homogeneous atmosphere)에서의 기온감율은? (단, 건조공기의 기체상수는 287 Jkg-1K-1, 정압비열은 1005 Jkg-1K-1 이다.) 38 온위(potential temperature)를 구하는 식으로 옳은 것은? (단, P와 T는 공기의 기압과 온도, k는 R/Cp이고, R은 기체상수, Cp는 정압비열이다.) 39 15℃에서 2.5kg의 공기 중에 수증기가 50g 들어 있을 때, 이 공기의 비습은 얼마인가? 40 dθ를 상당온위(Equivalent potential temperature)의 미소변화, dZ를 고도의 미소변화라고 할 때 인 경우의 대기 안정도는? 41 다음 중 토네이도의 바람을 가장 잘 나타낼 수 있는 것은? 42 정적으로 안정되 대기에서 지표면과 1km 고도 사이의 연직 기압차가 100hPa일 때, 두층 사이의 평균대기밀도는? (단, 중력가속도는 10m/s2 로 가정한다.) 43 길이 r 인 실 끝에 공을 달고 각속도 w로 회전시킬 때, 회전축의 중심을 향하는 가속도의 크기는? 44 에크만층(Ekman layer)에 관한 내용으로 틀린 것은? 45 일반적으로 알려진 이론과 관측을 토대로 한 중위도 종관규모에서의 주된 에너지 흐름은? 46 모든 등온선이 동서 방향으로 나란히 서 있고 북에서 남으로 1000km 당 5℃씩 증가하는 온도분포가 있다. 어느 관측점에서 풍속 10m/s의 남풍이 일정하게 볼 때 온도이류는? 47 어떤 공기기둥이 북반구에서 온위를 보존하면서 이동한다. 이동 중 등온위면 사이의 두께가 증가하게 될 때 발생하는 변화에 대한 설명으로 틀린 것은? 48 그림과 같이 북반구 상층 일기도에서 바람이 좁은 등고선 간격의 영역으로부터 넓은 등고선 간격의 영역으로 볼 때, 바람 변화의 설명이 옳은 것은?
49 절대와도(absolute vorticity)란? 50 1000 ~ 700 hPa 층의 두께(thickness)가 한 곳에서는 2.8km 이고, 이 곳에서 동쪽으로 500km 떨어진 곳의 두께는 3.0km 이다. 온도풍(m/s)은 어느 정도인가? (단, 남북으로 두께 경도(thickness gradient)가 없으며, 코리올리 파라미터는 f=10-4s-1, 중력가속도는 10m/s2 이다.) 51 강물의 속도는 지면에 대하여 동쪽으로 5m/s 로 흐르고 있으며, 이 강물 위를 배가 동쪽으로 15m/s 로 움직이고 있다. 이때 기압은 동쪽으로 가수록 0.5 kPa/200km 만큼 증가한다. 그런데 이 강의 한 가운데에 있는 섬에서의 기압 변화량은 0.5 kPa/6hr이었다. 그러면, 이 섬 주위를 통과하는 배위에서의 6시간당 기압 변화량은 약 얼마인가? 52 중위도 저기압의 발생 기작(mechanism)은? 53 어느 한 지점의 850 hPa 면에서 남풍이 5m/s로 관측되고 700hPa면에서 남서풍이 7m/s로 관측되었다면 온도풍의 풍향은? 54 토네이도의 회전 중심에서의 300m 떨어져 있는 곳의 접선 방향의 속도를 30m/s라 한다면 이 운동과 관련된 로스비 수는? (단, 코리오리 인자 f=10-4s-1로 가정한다.) 55 서진운동(westward propagation)만을 하는 대기파동은? 56 각운동량이 중위도에 극 쪽으로 운송되는 방법은? 57 등압면 일기도에서 위도 30°에서 지균풍이 20m/s인 경우 등압면의 기울기는? (단, 중력가속도는 10m/s2로 가정한다.) 58 다음 중 기압좌표계로 표현된 기압경도력은? (단, ρ는 밀도, P는 기압, 는 geopotential) 59 축대칭 소용돌이 운동에서 원주속도가 re-r/10과 같이 주어졌을 때, 최대 풍속 지점과 그곳에서의 최대 속도는? (단, r은 원주의 반경이다.) 60 태풍의 풍속구조는 경도풍(gradient wind)으로 근사할 수 있다. 경도풍은 힘의 균형에 따라 여러 유형으로 분류할 수 있는데, 다음 중 태풍의 가장 적합한 힘의 균형은?
App Store Google Play
오늘학습 예시 이미지

시험에 합격하려면
복습을 제대로 해야 합니다.

오늘학습은 스스로 기억을 떠올리고 계획적으로 복습할 수 있도록 설계돼 있어요.
그것도, 가장 과학적인 방식으로요!

능동적 회상

능동적 회상
(Active Recall)

배운 내용을 단순 읽으며 반복하는 것이 아니라,
능동적으로 기억하고 있는지를
스스로 테스트하며
공부할 수 있는
학습 환경을 제공해 학습 효과를 높여요

간격 반복 학습

간격 반복 학습
(Spaced Repetition)

에빙하우스 망각곡선을 바탕으로
가장 최적의 시점에 복습을 제공하여
배운 내용이 잊히지 않도록 장기 기억화해요

Data 기반의
뇌과학적 복습 시스템

학습 결과 Data를 분석해, 문제별 최적화된
반복 학습량을
자동으로 분배해요.
학습에 소요되는 시간을 최소화하는
동시에
단기 기억을 장기 기억으로 전환해줘요.

36만 개 이상의
기출문제 무료 제공

공무원 및 약 300여종의 자격증 시험 기출문제
36만개
이상을 무료로 이용할 수 있어요.
여러 앱을 설치할 필요
없이, 오늘학습 하나로
모든 시험을 준비할 수 있어요.

다양한 문제 유형으로 만드는
나만의 단어장&문제집

기출 외에도 외워야 하는 내용은
객관식, 주관식, 카드, 빈칸
등 다양한 형식으로
직접 만들어 보세요. 내 학습 스타일에
맞게
나만의 단어장과 문제집을 만들 수 있어요.

시험별 체계적인
문제 관리

시험에 문제를 추가해 체계적으로
관리할 수 있어요.
주제나 단원별로
분류하고 싶다면,
시험에 챕터를 만들어
문제를 추가할 수도 있어요.

수십만 명이
오늘학습을 사랑합니다

앱 스토어 평점 4.9
구글 플레이 평점 4.8
누적 회원수 100,000+
지금 오늘학습을
시작해보세요
지금 시작하기
문제 선택