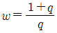
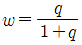
혼합비(w)와 비습(q)의 관계를 옳게 나타낸 식은?
지금 시작하기 →

・・・ 문제은행 기상기사(2022년) 40번

기상기사 2022년 03월 40번

혼합비(w)와 비습(q)의 관계를 옳게 나타낸 식은?

1
2
3
4
단축키
이전 문제로 이동은 키를 누르고, 다음 문제로 이동은 키를 누르세요
이전 문제 , 다음 문제
문제(100)
37 2개의 원자로 이루어진 분자로 구성된 이상기체의 정압비열 Cp = 7/2 R 일 때 정적비열 Cv는? (단, R은 기체 상수이다.) 38 대기 중의 에너지를 위치에너지, 내부에너지, 운동에너지로 나눌 때 내부에너지가 증가하면 위치에너지는? 39 어떤 온도계의 빙점이 -0.5℃, 비등점이 100.5℃를 가리킬 때 이 온도계로 20℃는 몇 ℃ 인가? 40 혼합비(w)와 비습(q)의 관계를 옳게 나타낸 식은? 41 수십 m 규모의 작은 소용돌이 바람에 대한 설명으로 적절하지 않은 것은? 42 어느 한 지점의 850hPa 면에서 남풍이 5m/s로 관측되고 700hPa면에서 남서풍이 7m/s로 관측되었다면 온도풍의 풍향은? 43 공기덩이를 기온감율이 4℃C/km이고 평균기온이 300k인 안정된 대기속에서 연직으로 옳겼을 때 이 공기덩이는 일정한 주기를 가진 진동운동을 하게 된다. 이 진동운동의 주기는? (단, 건조단열 감율 Γd은 10℃/km이다.) 44 지오포텐셜 고도(geopotential height)가 수평거리 1000km에 걸쳐 100m 증가한 경우 지균풍속(m/s)은? (단, f=10-4s-1이다.) 45 마찰이 없는 경우 절대소용돌이도가 보존된다고 할 때 북상하는 공기덩이의 상태소용돌이도는? 46 다음은 (x, y, z) 좌표계로 표현된 운동 방정식의 항들이다. 이들 중 곡률항(curvature trem)이 아닌 항은? (단, a는 지구평균반경, ∂는 위도, u, v, w는 동서, 남북, 연직방향의 속도 성분이다.) 47 기온이 250K인 등온대기의 1000hPa-500hPa의 지오포텐셜 총두께는? (단, 기체상수 287Jkg-1K-1, 중력가속도 9.8ms-2, ln2=0.93) 48 각속도가 Ω, 회전 중심축으로부터의 거리가 a인 원주에 대한 순환(circulation)은?
App Store Google Play
오늘학습 예시 이미지

시험에 합격하려면
복습을 제대로 해야 합니다.

오늘학습은 스스로 기억을 떠올리고 계획적으로 복습할 수 있도록 설계돼 있어요.
그것도, 가장 과학적인 방식으로요!

능동적 회상

능동적 회상
(Active Recall)

배운 내용을 단순 읽으며 반복하는 것이 아니라,
능동적으로 기억하고 있는지를
스스로 테스트하며
공부할 수 있는
학습 환경을 제공해 학습 효과를 높여요

간격 반복 학습

간격 반복 학습
(Spaced Repetition)

에빙하우스 망각곡선을 바탕으로
가장 최적의 시점에 복습을 제공하여
배운 내용이 잊히지 않도록 장기 기억화해요

Data 기반의
뇌과학적 복습 시스템

학습 결과 Data를 분석해, 문제별 최적화된
반복 학습량을
자동으로 분배해요.
학습에 소요되는 시간을 최소화하는
동시에
단기 기억을 장기 기억으로 전환해줘요.

36만 개 이상의
기출문제 무료 제공

공무원 및 약 300여종의 자격증 시험 기출문제
36만개
이상을 무료로 이용할 수 있어요.
여러 앱을 설치할 필요
없이, 오늘학습 하나로
모든 시험을 준비할 수 있어요.

다양한 문제 유형으로 만드는
나만의 단어장&문제집

기출 외에도 외워야 하는 내용은
객관식, 주관식, 카드, 빈칸
등 다양한 형식으로
직접 만들어 보세요. 내 학습 스타일에
맞게
나만의 단어장과 문제집을 만들 수 있어요.

시험별 체계적인
문제 관리

시험에 문제를 추가해 체계적으로
관리할 수 있어요.
주제나 단원별로
분류하고 싶다면,
시험에 챕터를 만들어
문제를 추가할 수도 있어요.

수십만 명이
오늘학습을 사랑합니다

앱 스토어 평점 4.9
구글 플레이 평점 4.8
누적 회원수 100,000+
지금 오늘학습을
시작해보세요
지금 시작하기
문제 선택