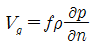
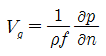
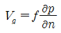
지균풍을 나타내는 식으로 알맞은 것은? (단, f: 지구자전에 의한 전향력, ρ: 밀도)
지금 시작하기 →

・・・ 문제은행 기상기사(2021년) 95번

기상기사 2021년 03월 95번

지균풍을 나타내는 식으로 알맞은 것은? (단, f: 지구자전에 의한 전향력, ρ: 밀도)

1
2
3
4
단축키
이전 문제로 이동은 키를 누르고, 다음 문제로 이동은 키를 누르세요
이전 문제 , 다음 문제
문제(100)
37 불포화 상태의 두 공기를 등압 상태에서 혼합할 때 나타날 수 있는 결과로 옳은 것은? 38 정압비열 Cp가 일 때 정적비열 Cv의 값은? 39 1g의 공기괴에 대해 420K에서 10cal의 열을 가해 주었다. 엔트로피(entropy)의 변화량(Jg-1K-1)은? 40 1000hPa에서 15℃인 공기의 밀도는?(단, 공기의 기체상수는 287JK-1kg-1이다.) 41 기압좌표계의 운동방정식에 관여하지 않는 요소는? 42 일반적으로 폐곡선운동에 대한 소용돌이도는? 43 적도에 중심을 둔 반경 50km 크기의 원형 공기덩이가 초기에 지구에 대해 3140m2s-1로 순환을 하고 있다. 이 공기덩이가 면적을 일정하게 유지하면서 등압면을 따라 북극으로 이동한다면 지구에 대한 이 공기덩이의 순환(m2s-1)은 대략 얼마인가? (단, 순압대기라고 가정한다.) 44 y-방향의 속도분포가 u=3y2+60y-10(-100m≤y≤100m)으로 주어진 직선류가 있을 때 소용돌이도가 0이 되는 곳은? 45 구면좌표계(spherical coordinate)에서의 운동 방정식을 대규모 공기의 운동에 적용하면 수직가속도 성분과 코리올리항을 무시할 수 있는데 이 때 얻을 수 있는 기본 방정식은? 46 아래식에서 [X]에 들어갈 물리적인 양의 차원은? (단, M은 질량, L은 길이, S는 시간, K는 온도의 차원이다.) 47 북반구에서 미사일을 1000m/s 속도로 정북방향으로 발사하여 수평거리 1000km까지 옮겨가게 된다면 이 미사일은 지구의 전향력으로 인해 정북방향에서 어느 방향으로 얼마나 벗어나게 되는가? (단, Coriolis parameter = 10-4s-1로 가정한다.) 48 임의지역에서 지상기온이 동쪽으로 감에 따라 0.5℃/100km의 비율로 증가하고 있다. 편서풍이 초속 10m로 부는 경우, 이 지역에서 1시간 후 기온은? (단, 기온의 국지적 변화는 오직 이류 효과에 의한 것이라 가정한다.)
App Store Google Play
오늘학습 예시 이미지

시험에 합격하려면
복습을 제대로 해야 합니다.

오늘학습은 스스로 기억을 떠올리고 계획적으로 복습할 수 있도록 설계돼 있어요.
그것도, 가장 과학적인 방식으로요!

능동적 회상

능동적 회상
(Active Recall)

배운 내용을 단순 읽으며 반복하는 것이 아니라,
능동적으로 기억하고 있는지를
스스로 테스트하며
공부할 수 있는
학습 환경을 제공해 학습 효과를 높여요

간격 반복 학습

간격 반복 학습
(Spaced Repetition)

에빙하우스 망각곡선을 바탕으로
가장 최적의 시점에 복습을 제공하여
배운 내용이 잊히지 않도록 장기 기억화해요

Data 기반의
뇌과학적 복습 시스템

학습 결과 Data를 분석해, 문제별 최적화된
반복 학습량을
자동으로 분배해요.
학습에 소요되는 시간을 최소화하는
동시에
단기 기억을 장기 기억으로 전환해줘요.

36만 개 이상의
기출문제 무료 제공

공무원 및 약 300여종의 자격증 시험 기출문제
36만개
이상을 무료로 이용할 수 있어요.
여러 앱을 설치할 필요
없이, 오늘학습 하나로
모든 시험을 준비할 수 있어요.

다양한 문제 유형으로 만드는
나만의 단어장&문제집

기출 외에도 외워야 하는 내용은
객관식, 주관식, 카드, 빈칸
등 다양한 형식으로
직접 만들어 보세요. 내 학습 스타일에
맞게
나만의 단어장과 문제집을 만들 수 있어요.

시험별 체계적인
문제 관리

시험에 문제를 추가해 체계적으로
관리할 수 있어요.
주제나 단원별로
분류하고 싶다면,
시험에 챕터를 만들어
문제를 추가할 수도 있어요.

수십만 명이
오늘학습을 사랑합니다

앱 스토어 평점 4.9
구글 플레이 평점 4.8
누적 회원수 100,000+
지금 오늘학습을
시작해보세요
지금 시작하기
문제 선택