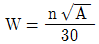
표준게이트의 폭(W)을 결정하는 공식을 알맞게 표현한 것은? (단, n=수지상수, A=성형품 외측의 표면적(mm2)이다.)
지금 시작하기 →

・・・ 문제은행 사출(프레스)금형산업기사(2012년 1회) 11번

사출(프레스)금형산업기사 2012년 03월 11번

표준게이트의 폭(W)을 결정하는 공식을 알맞게 표현한 것은? (단, n=수지상수, A=성형품 외측의 표면적(mm2)이다.)

1
2
3
4
단축키
이전 문제로 이동은 키를 누르고, 다음 문제로 이동은 키를 누르세요
이전 문제 , 다음 문제
문제(60)
37 CNC 가공에서 드웰(GO4)은 지령된 점에서 일정 시간 멈추기 위하여 사용한다. 사용할 수 없는 어드레스는? 38 다음 중 CNC 공작기계의 절삭제어 방식이 아닌 것은? 39 센터, 척, 자석척 등을 사용하지 않고 가공물의 표면을 조정하는 조정숫돌과 지지대를 이용하여 가공물을 연마하는 연삭기는? 40 볼트 또는 너트의 머리 부분이 가공물 안으로 묻히도록 드릴과 동심원의 2단 구멍을 만드는 가공작업은? 41 나사의 피치가 0.500mm 이고 딤블의 원주눈금이 500등분인 높이 마이크로미터에서 읽을 수 있는 최소눈금은 몇 mm 인가? 42 지름 15mm의 둥근봉에 대해 오차 백분율 ±0.5%까지가 합격이라고 할 때 다음 중 합격 치수 범위로 옳은 것은? 43 미터나사에서 최적 3침의 지름이 3.000mm 인 3침을 이용하여 외측거리 M=50.000mm를 얻었을 때의 유효지름은 몇 mm 인가? (단, 최적 3침 선경 dw = 0.57735 x P 이고 여기서 P는 피치이다.) 44 내측 테이퍼 구멍의 테이퍼 각을 지름이 일정한 한 쌍의 강구와 게이지 블록을 높이 H = 27mm로 하여 측정한 결과 M1 = 25mm, M2 = 12mm 이었다. 테이퍼 각 ø는 얼마인가? (단, 테이퍼 형상은 좌우 대칭으로 본다.) 45 다음 그림의 측정값 분포곡선 a, b에 대한 설명 중 틀린 것은? 46 다음 중 수학적 관계를 이용하여 측정하는 간접측정(indirect measurement)이 아닌 것은? 47 계측용어에서 통계적 처리에 관한 용어 중 잔차(residual)의 의미는? 48 다음 중 공구 현미경으로 측정할 수 없는 것은?
App Store Google Play
오늘학습 예시 이미지

시험에 합격하려면
복습을 제대로 해야 합니다.

오늘학습은 스스로 기억을 떠올리고 계획적으로 복습할 수 있도록 설계돼 있어요.
그것도, 가장 과학적인 방식으로요!

능동적 회상

능동적 회상
(Active Recall)

배운 내용을 단순 읽으며 반복하는 것이 아니라,
능동적으로 기억하고 있는지를
스스로 테스트하며
공부할 수 있는
학습 환경을 제공해 학습 효과를 높여요

간격 반복 학습

간격 반복 학습
(Spaced Repetition)

에빙하우스 망각곡선을 바탕으로
가장 최적의 시점에 복습을 제공하여
배운 내용이 잊히지 않도록 장기 기억화해요

Data 기반의
뇌과학적 복습 시스템

학습 결과 Data를 분석해, 문제별 최적화된
반복 학습량을
자동으로 분배해요.
학습에 소요되는 시간을 최소화하는
동시에
단기 기억을 장기 기억으로 전환해줘요.

36만 개 이상의
기출문제 무료 제공

공무원 및 약 300여종의 자격증 시험 기출문제
36만개
이상을 무료로 이용할 수 있어요.
여러 앱을 설치할 필요
없이, 오늘학습 하나로
모든 시험을 준비할 수 있어요.

다양한 문제 유형으로 만드는
나만의 단어장&문제집

기출 외에도 외워야 하는 내용은
객관식, 주관식, 카드, 빈칸
등 다양한 형식으로
직접 만들어 보세요. 내 학습 스타일에
맞게
나만의 단어장과 문제집을 만들 수 있어요.

시험별 체계적인
문제 관리

시험에 문제를 추가해 체계적으로
관리할 수 있어요.
주제나 단원별로
분류하고 싶다면,
시험에 챕터를 만들어
문제를 추가할 수도 있어요.

수십만 명이
오늘학습을 사랑합니다

앱 스토어 평점 4.9
구글 플레이 평점 4.8
누적 회원수 100,000+
지금 오늘학습을
시작해보세요
지금 시작하기
문제 선택