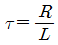
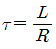
R-L 직렬 회로에서 시정수(Time Constant) τ는 어떻게 정의되는가?
지금 시작하기 →

・・・ 문제은행 방송통신산업기사(구)(2021년 1회) 16번

방송통신산업기사(구) 2021년 03월 16번

R-L 직렬 회로에서 시정수(Time Constant) τ는 어떻게 정의되는가?

1
2
3
4
단축키
이전 문제로 이동은 키를 누르고, 다음 문제로 이동은 키를 누르세요
이전 문제 , 다음 문제
문제(80)
13 다음 중 PCM에서 미약한 신호는 진폭을 크게하고 진폭이 큰 신호는 진폭을 줄이는 기능을 무엇이라 하는가? 14 900[kHz]의 반송파를 5[kHz]의 신호주파수로 진폭 변조한 경우 피변조파에 나타나는 주파수 성분이 아닌 것은? 15 다음 회로에서 입력되는 정현파의 최대 진폭이 6[V]일 때 출력에 나타나는 최대 진폭은? (단, RS=200[Ω], RL=400[Ω]이다.) 16 R-L 직렬 회로에서 시정수(Time Constant) τ는 어떻게 정의되는가? 17 다음 중 십진수 45를 그레이코드로 바꾼 것은? 18 수신측에 다음과 같은 해밍코드가 수신되었다. 몇 번째 비트에서 에러가 발생되었는가? (단, P는 패리티 비트, D는 데이터 비트이다.) 19 J-K 플립플롭 2개로 동기식 4진 카운터를 설계할 때, 각 플립플롭의 JK 입력 조건을 바르게 나타낸 것은? 20 다음 진리표의 카르노 맵(Karnaugh Map)을 작성한 것 중 가장 옳은 것은? 21 방송장비 중 CCU에 대한 설명으로 옳은 것은? 22 다음 방송장비 중 비디오 신호와 오디오 신호를 합하여 하나의 임베디드(Embeded)된 신호로 만들어 주는 장비는? 23 방송프로그램 제작 설비 중 여러 가지 오디오 소스 입력들의 레벨과 음색을 조정하고 효과를 더한 다음 합성하여 출력하는 장치를 무엇이라 하는가? 24 텔레비전 방송 프로그램을 편성순서에 따라 송신소나 다른 방송국으로 송출하는 역할을 하는 곳은?
App Store Google Play
오늘학습 예시 이미지

시험에 합격하려면
복습을 제대로 해야 합니다.

오늘학습은 스스로 기억을 떠올리고 계획적으로 복습할 수 있도록 설계돼 있어요.
그것도, 가장 과학적인 방식으로요!

능동적 회상

능동적 회상
(Active Recall)

배운 내용을 단순 읽으며 반복하는 것이 아니라,
능동적으로 기억하고 있는지를
스스로 테스트하며
공부할 수 있는
학습 환경을 제공해 학습 효과를 높여요

간격 반복 학습

간격 반복 학습
(Spaced Repetition)

에빙하우스 망각곡선을 바탕으로
가장 최적의 시점에 복습을 제공하여
배운 내용이 잊히지 않도록 장기 기억화해요

Data 기반의
뇌과학적 복습 시스템

학습 결과 Data를 분석해, 문제별 최적화된
반복 학습량을
자동으로 분배해요.
학습에 소요되는 시간을 최소화하는
동시에
단기 기억을 장기 기억으로 전환해줘요.

36만 개 이상의
기출문제 무료 제공

공무원 및 약 300여종의 자격증 시험 기출문제
36만개
이상을 무료로 이용할 수 있어요.
여러 앱을 설치할 필요
없이, 오늘학습 하나로
모든 시험을 준비할 수 있어요.

다양한 문제 유형으로 만드는
나만의 단어장&문제집

기출 외에도 외워야 하는 내용은
객관식, 주관식, 카드, 빈칸
등 다양한 형식으로
직접 만들어 보세요. 내 학습 스타일에
맞게
나만의 단어장과 문제집을 만들 수 있어요.

시험별 체계적인
문제 관리

시험에 문제를 추가해 체계적으로
관리할 수 있어요.
주제나 단원별로
분류하고 싶다면,
시험에 챕터를 만들어
문제를 추가할 수도 있어요.

수십만 명이
오늘학습을 사랑합니다

앱 스토어 평점 4.9
구글 플레이 평점 4.8
누적 회원수 100,000+
지금 오늘학습을
시작해보세요
지금 시작하기
문제 선택