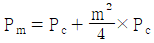
진폭변조회로에서 반송파전력 Pc를 변조율 m[%]로 변조했을 때, 피변조파 전력 Pm을 구하는 식은?
지금 시작하기 →

・・・ 문제은행 무선설비기사(2023년 2회) 11번

무선설비기사 2023년 06월 11번

진폭변조회로에서 반송파전력 Pc를 변조율 m[%]로 변조했을 때, 피변조파 전력 Pm을 구하는 식은?

1
2
3
4
단축키
이전 문제로 이동은 키를 누르고, 다음 문제로 이동은 키를 누르세요
이전 문제 , 다음 문제
문제(100)
49 다음 중 전자밀도가 2배 증가할 때 임계 주파수의 변화는? 50 저자파장해 수신기는 전송선로의 부하에 나타나는 전압을 측정하게 되는데, 우리가 필요로 하는 측정량은 피측정기기로부터 방출되는 전기장의 세기이다. 아래 조건처럼 수신기에 나타난 전압과 전기장의 세기를 알 경우 안테나 인자(K)는 얼마인가? (조건 : 안테나에 연결된 전송선로를 거쳐서 전자파장해 수신기에 나타난 전압(VL) = 20[dBμV], 전기장세기(E) = 25[dBμV]) 51 고출력·누설 전자파에 대한 방사성 방호성능 측정방법에서 차폐성능을 측정하기 위한 절차로 바르게 나열한 것은? 52 다음 중 방사상 접지에 대한 설명으로 틀린 것은? 53 다음 중 거리에 따라 감쇠가 가장 급격하게 발생하는 것은? 54 다음은 케이블의 노이즈를 방지하기 위해서 사용하는 것으로 용도에 따라 캐패시턴스를 높여 저주파 신호를 차단하거나 인덕턴스값을 높여 고주파 노이즈를 차단할 수 있다. 이 장치(부품)의 명칭은? 55 다음 내용이 설명하는 안테나 용어는 무엇인가? 56 전자계에서 전계의 세기를 E, 자계의 세기를 H, 전계와 자계 사이의 각을 θ(θ <90°)라고 할 때 포인팅(Poynting) 벡터의 크기는 어떻게 표시되는가? 57 다음 중 통신위성에서 통신량이 많은 특정지역만을 커버하며 예민한 지향성을 갖는 안테나는? 58 다음 중 슬롯 어레이(Slot array) 안테나에 대한 설명으로 적합하지 않은 것은? 59 안테나에 광대역성을 갖게 하는 방법으로 틀린 것은? 60 다음 중 안테나 실효개구면적이 잘못 표현된 것은?
App Store Google Play
오늘학습 예시 이미지

시험에 합격하려면
복습을 제대로 해야 합니다.

오늘학습은 스스로 기억을 떠올리고 계획적으로 복습할 수 있도록 설계돼 있어요.
그것도, 가장 과학적인 방식으로요!

능동적 회상

능동적 회상
(Active Recall)

배운 내용을 단순 읽으며 반복하는 것이 아니라,
능동적으로 기억하고 있는지를
스스로 테스트하며
공부할 수 있는
학습 환경을 제공해 학습 효과를 높여요

간격 반복 학습

간격 반복 학습
(Spaced Repetition)

에빙하우스 망각곡선을 바탕으로
가장 최적의 시점에 복습을 제공하여
배운 내용이 잊히지 않도록 장기 기억화해요

Data 기반의
뇌과학적 복습 시스템

학습 결과 Data를 분석해, 문제별 최적화된
반복 학습량을
자동으로 분배해요.
학습에 소요되는 시간을 최소화하는
동시에
단기 기억을 장기 기억으로 전환해줘요.

36만 개 이상의
기출문제 무료 제공

공무원 및 약 300여종의 자격증 시험 기출문제
36만개
이상을 무료로 이용할 수 있어요.
여러 앱을 설치할 필요
없이, 오늘학습 하나로
모든 시험을 준비할 수 있어요.

다양한 문제 유형으로 만드는
나만의 단어장&문제집

기출 외에도 외워야 하는 내용은
객관식, 주관식, 카드, 빈칸
등 다양한 형식으로
직접 만들어 보세요. 내 학습 스타일에
맞게
나만의 단어장과 문제집을 만들 수 있어요.

시험별 체계적인
문제 관리

시험에 문제를 추가해 체계적으로
관리할 수 있어요.
주제나 단원별로
분류하고 싶다면,
시험에 챕터를 만들어
문제를 추가할 수도 있어요.

수십만 명이
오늘학습을 사랑합니다

앱 스토어 평점 4.9
구글 플레이 평점 4.8
누적 회원수 100,000+
지금 오늘학습을
시작해보세요
지금 시작하기
문제 선택