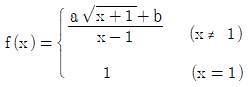
함수 이 x=1에서 연속일 때, 두 상수 a, b에 대a2+b2의 값은?
지금 시작하기 →

・・・ 문제은행 경찰공무원(순경) 수학(2020년 1회) 11번

경찰공무원(순경) 수학 2020년 05월 11번

함수 이 x=1에서 연속일 때, 두 상수 a, b에 대a2+b2의 값은?

1
12
2
16
3
20
4
24
단축키
이전 문제로 이동은 키를 누르고, 다음 문제로 이동은 키를 누르세요
이전 문제 , 다음 문제
문제(20)
1 다항식 f(x)를 x-1로 나누었을 때 나머지는 3이고, x-2로 나누었을 때 나머지가 6이다. f(x)를 x-1로 나누었을 때의 몫을 x-2로 나누었을 때의 나머지는? 2 이차방정식 2x2-2x+1=0의 두 근을 α, β라 할 때, 의 값은? (단, 는 z의 켤레복소수이다.) 3 2x2+3xy+y2+ax+y-2가 x, y에 대한 일차식의 곱으로 인수분해될 때, 상수 a의 값은? (단, a ≠ 0이다.) 4 좌표평면 위의 한 점 A(-1, -1)과 직선 x+y-2=0 위의 한 점 P(a, b)에 대하여 선분 PA를 1:2로 내분하는 점이 y축 위에 있을 때, a × b의 값은? 5 이차함수 y=2x2-3x의 그래프와 직선 y=x-m은 점 A에서 접한다. 이 점 A와 직선 x-y-4=0사이의 거리를 d라 할 때, m × d의 값은? (단, m은 상수이다.) 6 이차함수 y=x2+2kx+k2-k+b의 그래프가실수 k의값에 관계없이 항상 직선 y=ax에 접하도록 상수 a, b를 정할 때, a/b의 값은? 7 원 x2-6x+y2-4y+9=0위를 움직이는 점 A와 원 (x-2)2+y2=9 위를 움직이는 점 B에 대하여 선분 AB의 길이의 최댓값은? 8 함수 의 그래프와 직선 y=m(x-1)이 서로 다른 두 점에서 만나도록 하는 모든 실수 m의 값의 범위가 a<m<b라 할 때, 2a+4b의 값은? 9 이차방정식 x2+2x-1=0의 두 근을 α, β라 할 때, 의 값은? 10 첫째항이 69이고, 첫째항부터 제9항까지의 합과 첫째항 부터 제15항까지의 합이 같은 등차수열 {an}에서 이 수열의 첫째항부터 제n항까지의 합을 Sn이라 할 때, Sn이 최대가 되는 n의 값은? 11 함수 이 x=1에서 연속일 때, 두 상수 a, b에 대a2+b2의 값은? 12 양의 실수 전체의 집합에서 정의된 함수 f(x)가 모든 양의 실수 x에 대하여 x2+2≤f(x)≤x3+3x+2를 만족 시킬 때, 의 값은?
App Store Google Play
오늘학습 예시 이미지

시험에 합격하려면
복습을 제대로 해야 합니다.

오늘학습은 스스로 기억을 떠올리고 계획적으로 복습할 수 있도록 설계돼 있어요.
그것도, 가장 과학적인 방식으로요!

능동적 회상

능동적 회상
(Active Recall)

배운 내용을 단순 읽으며 반복하는 것이 아니라,
능동적으로 기억하고 있는지를
스스로 테스트하며
공부할 수 있는
학습 환경을 제공해 학습 효과를 높여요

간격 반복 학습

간격 반복 학습
(Spaced Repetition)

에빙하우스 망각곡선을 바탕으로
가장 최적의 시점에 복습을 제공하여
배운 내용이 잊히지 않도록 장기 기억화해요

Data 기반의
뇌과학적 복습 시스템

학습 결과 Data를 분석해, 문제별 최적화된
반복 학습량을
자동으로 분배해요.
학습에 소요되는 시간을 최소화하는
동시에
단기 기억을 장기 기억으로 전환해줘요.

36만 개 이상의
기출문제 무료 제공

공무원 및 약 300여종의 자격증 시험 기출문제
36만개
이상을 무료로 이용할 수 있어요.
여러 앱을 설치할 필요
없이, 오늘학습 하나로
모든 시험을 준비할 수 있어요.

다양한 문제 유형으로 만드는
나만의 단어장&문제집

기출 외에도 외워야 하는 내용은
객관식, 주관식, 카드, 빈칸
등 다양한 형식으로
직접 만들어 보세요. 내 학습 스타일에
맞게
나만의 단어장과 문제집을 만들 수 있어요.

시험별 체계적인
문제 관리

시험에 문제를 추가해 체계적으로
관리할 수 있어요.
주제나 단원별로
분류하고 싶다면,
시험에 챕터를 만들어
문제를 추가할 수도 있어요.

수십만 명이
오늘학습을 사랑합니다

앱 스토어 평점 4.9
구글 플레이 평점 4.8
누적 회원수 100,000+
지금 오늘학습을
시작해보세요
지금 시작하기
문제 선택