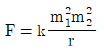
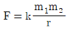
두 자극 사이에 작용하는 힘(F)을 나타내는 쿨롱의 법칙으로 옳은 것은?
지금 시작하기 →

・・・ 문제은행 항로표지기사(2017년) 39번

항로표지기사 2017년 08월 39번

두 자극 사이에 작용하는 힘(F)을 나타내는 쿨롱의 법칙으로 옳은 것은?

1
2
3
4
단축키
이전 문제로 이동은 키를 누르고, 다음 문제로 이동은 키를 누르세요
이전 문제 , 다음 문제
문제(80)
13 선박의 속력을 나타내는 단위이며, 1시간당 1해리 달리는 선박의 속력 표기 방법 중 맞는 것은? 14 우리나라 해도에서 사용하고 있는 기준면에 대한 설명으로 틀린 것은? 15 항해자가 도등을 바라보았을 때 눈부심을 방지하기 위하여 도등의 이용구간 내에서의 어느 지점에서나 도등의 등화에 의해 생기는 항해자의 각막 조도는 몇 lux를 초과하여서는 안 되는가? 16 항구에서 출항하는 선박이 공사가 완료된 좌측 방파제상에 등대를 보았을 때 등색은? 17 선박의 위치를 구하는데 이용하는 위치선이 아닌 것은? 18 조류신호시스템에서 전광표지판 방식에 대한 설명 중 틀린 것은? 19 등대 및 등주 부근에서 선박에 장해물의 존재를 알리기 위하여 암초나 방파제 끝 및 위험구역 등을 비추는 항로표지는? 20 자기자오선과 자극을 지나는 진자오선이 관측자의 위치에서 이루는 교각을 무엇이라 하는가? 21 철심이 든 환상 솔레노이드에서 기자력 1000 AT에 의해 5×10-5Wb의 자속이 철심을 통과한다. 이 철심의 자기저항은 몇 AT/Wb인가? 22 직류발전기의 병렬운전조건이 아닌 것은? 23 두 단상전력계 W1, W2를 사용하여 3상 교류전력을 측정할 때 3상 전력의 값은? 24 극판 간의 거리가 2mm인 평형판 축전지에 100V의 전압을 가할 때 축전지의 내부에 생기는 전계의 세기(V/m)는?
App Store Google Play
오늘학습 예시 이미지

시험에 합격하려면
복습을 제대로 해야 합니다.

오늘학습은 스스로 기억을 떠올리고 계획적으로 복습할 수 있도록 설계돼 있어요.
그것도, 가장 과학적인 방식으로요!

능동적 회상

능동적 회상
(Active Recall)

배운 내용을 단순 읽으며 반복하는 것이 아니라,
능동적으로 기억하고 있는지를
스스로 테스트하며
공부할 수 있는
학습 환경을 제공해 학습 효과를 높여요

간격 반복 학습

간격 반복 학습
(Spaced Repetition)

에빙하우스 망각곡선을 바탕으로
가장 최적의 시점에 복습을 제공하여
배운 내용이 잊히지 않도록 장기 기억화해요

Data 기반의
뇌과학적 복습 시스템

학습 결과 Data를 분석해, 문제별 최적화된
반복 학습량을
자동으로 분배해요.
학습에 소요되는 시간을 최소화하는
동시에
단기 기억을 장기 기억으로 전환해줘요.

36만 개 이상의
기출문제 무료 제공

공무원 및 약 300여종의 자격증 시험 기출문제
36만개
이상을 무료로 이용할 수 있어요.
여러 앱을 설치할 필요
없이, 오늘학습 하나로
모든 시험을 준비할 수 있어요.

다양한 문제 유형으로 만드는
나만의 단어장&문제집

기출 외에도 외워야 하는 내용은
객관식, 주관식, 카드, 빈칸
등 다양한 형식으로
직접 만들어 보세요. 내 학습 스타일에
맞게
나만의 단어장과 문제집을 만들 수 있어요.

시험별 체계적인
문제 관리

시험에 문제를 추가해 체계적으로
관리할 수 있어요.
주제나 단원별로
분류하고 싶다면,
시험에 챕터를 만들어
문제를 추가할 수도 있어요.

수십만 명이
오늘학습을 사랑합니다

앱 스토어 평점 4.9
구글 플레이 평점 4.8
누적 회원수 100,000+
지금 오늘학습을
시작해보세요
지금 시작하기
문제 선택