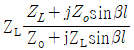
임의의 부하 임피던스를 갖는 일정 길이의 전송선로 입력 임피던스를 나타내는 식으로 전송선로의 임피던스 방정식이라 불리는 것은?
지금 시작하기 →

・・・ 문제은행 무선설비산업기사(2019년 3회) 44번

무선설비산업기사 2019년 10월 44번

임의의 부하 임피던스를 갖는 일정 길이의 전송선로 입력 임피던스를 나타내는 식으로 전송선로의 임피던스 방정식이라 불리는 것은?

1
2
3
4
단축키
이전 문제로 이동은 키를 누르고, 다음 문제로 이동은 키를 누르세요
이전 문제 , 다음 문제
문제(80)
25 FM 검파기의 특성인 S 커브의 상태가 직선이 아니면 어떤 상태인가? 26 다음 중 FM통신방식이 AM통신방식에 비해 신호대 잡음비가 좋은 이유로 가장 적합한 것은? 27 방송용 FM수신기에서 비 검파 회로가 주로 사용되는 이유는? 28 다음 중 인지 무선(CR: Cognitive Radio)의 개념 설명으로 틀린 것은? 29 기지국, 유선인터넷망,Gateway 및 O&M Server로 구성되며 Core 네트워크와의 연계를 통해 LTE 전화 및 무선데이터 통신을 제공하는 서비스기술은? 30 이동 통신 시스템에서는 셀과 셀을 오가면서 통화를 할 수 있도록 해주는 것을 핸드오프(Hand-off)라고 하는데 그 종류가 아닌 것은? 31 국내 최초의 민간 통신-방송 상용위성을 우리나라를 세계 23번째 위성 보유국의 반열에 올려놓은 위성은? 32 4세대 이동통신에 해당되는 변조 방식은? 33 위성 통신용으로 이용하는 궤도는 지구 정지형, 극 원형, 경사 타원형으로 구분되며 이 때 궤도의 선택은 다음 요소를 결정하는데 중요하다. 이에 해당 되지 않는 것은? 34 다음 중 수신기의 전기적 성능에 해당되지 않는 것은? 35 다음 중 CDMA 중계기의 상태를 감시하기 위해 중계기에서 공급되는 전원을 사용하여 감시단말기를 중계기에 연결할 경우 필요한 장치는?(단, 중계기의 공급전원 DC(직류)는 12{V}이고 단말기가 필요로 하는 전원은 DC(직류) 3.5[V]이다.) 36 다음 중 VC 컨버터의 종류와 명칭이 올바로 묶여진 것은?
61 마이크로프로세서 병렬 처리에서 단계로써 맞는 것은 무엇인가? 62 이것은 CPU를 구성하는 하드웨어 중 명령어 실행에 반드시 필요한 핵심 모듈로서 명령어 파이프라인들로 이뤄진 슈퍼스칼라 모듈과 ALU 및 레지스터 집합 등을 의미하기도 한다. 최근 이와 같은 것을 하나의 칩에 여러 개 넣은 것들이 출시 되고 있다. 여기서 '이것이' 의미하는 것으로 옳은 것은? 63 다음은 CPU에 서비스를 받으려고 도착한 순서대로 프로세스와 그 서비스 시간을 나타낸다. FCFS(first Come Served) CPU Scheduling에 의해서 프로세스를 처리한다고 했을 경우 프로세스의 평균 대기시간은 얼마인가? 64 다음 중 어셈블리 명령어(MOV R0, R1)에 대한 설명으로 옳은 것은? 65 디스크 시스템의 성능과 신뢰성을 향상시키기 위해서 디스크 드라이브의 배열을 구성하여 하나의 유니트로 패키지 함으로써 액세스 속도를 크게 향상시키고 신뢰도를 높인 것을 무엇이라 하는가? 66 다음 중 데드락(Deadlock)을 발생시키는 원인이 아닌 것은? 67 다음 중 선점 스케줄링 방식에 대한 설명으로 틀린 것은? 68 다음 중 가상기억(virtual memory) 체계에 대한 설명으로 틀린 것은? 69 Shift register에 있는 이진수 number가 5번 Shifte-left 되었을 때 결과값으로 알맞은 것은? 70 다음과 같은 운영체제의 운용 기법은? 71 다음 중 시설자가 무선국을 운용함에 있어 준수해야 할 통신보안 준수사항이 아닌 것은? 72 다음 중 '방송통신기자재 등의 적합성평가에 관한 고시'에서 규정하는 용어의 정의로 틀린 것은?
App Store Google Play
오늘학습 예시 이미지

시험에 합격하려면
복습을 제대로 해야 합니다.

오늘학습은 스스로 기억을 떠올리고 계획적으로 복습할 수 있도록 설계돼 있어요.
그것도, 가장 과학적인 방식으로요!

능동적 회상

능동적 회상
(Active Recall)

배운 내용을 단순 읽으며 반복하는 것이 아니라,
능동적으로 기억하고 있는지를
스스로 테스트하며
공부할 수 있는
학습 환경을 제공해 학습 효과를 높여요

간격 반복 학습

간격 반복 학습
(Spaced Repetition)

에빙하우스 망각곡선을 바탕으로
가장 최적의 시점에 복습을 제공하여
배운 내용이 잊히지 않도록 장기 기억화해요

Data 기반의
뇌과학적 복습 시스템

학습 결과 Data를 분석해, 문제별 최적화된
반복 학습량을
자동으로 분배해요.
학습에 소요되는 시간을 최소화하는
동시에
단기 기억을 장기 기억으로 전환해줘요.

36만 개 이상의
기출문제 무료 제공

공무원 및 약 300여종의 자격증 시험 기출문제
36만개
이상을 무료로 이용할 수 있어요.
여러 앱을 설치할 필요
없이, 오늘학습 하나로
모든 시험을 준비할 수 있어요.

다양한 문제 유형으로 만드는
나만의 단어장&문제집

기출 외에도 외워야 하는 내용은
객관식, 주관식, 카드, 빈칸
등 다양한 형식으로
직접 만들어 보세요. 내 학습 스타일에
맞게
나만의 단어장과 문제집을 만들 수 있어요.

시험별 체계적인
문제 관리

시험에 문제를 추가해 체계적으로
관리할 수 있어요.
주제나 단원별로
분류하고 싶다면,
시험에 챕터를 만들어
문제를 추가할 수도 있어요.

수십만 명이
오늘학습을 사랑합니다

앱 스토어 평점 4.9
구글 플레이 평점 4.8
누적 회원수 100,000+
지금 오늘학습을
시작해보세요
지금 시작하기
문제 선택