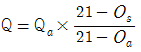
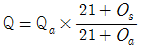
다음 중 배출가스유량 보정식으로 옳은 것은? (단, Q : 배출가스유량(Sm3/일), Os : 표준산소농도(%), Oa : 실측산소농도(%), Qa : 실측배출가스유량(Sm3/일))
지금 시작하기 →

・・・ 문제은행 대기환경산업기사(2018년 1회) 40번

대기환경산업기사 2018년 03월 40번

다음 중 배출가스유량 보정식으로 옳은 것은? (단, Q : 배출가스유량(Sm3/일), Os : 표준산소농도(%), Oa : 실측산소농도(%), Qa : 실측배출가스유량(Sm3/일))

1
2
3
4
단축키
이전 문제로 이동은 키를 누르고, 다음 문제로 이동은 키를 누르세요
이전 문제 , 다음 문제
문제(80)
1 대기오염현상 중 광화학스모그에 대한 설명으로 거리가 먼 것은? 2 대기 중 탄화수소(HC)에 대한 설명으로 옳지 않은 것은? 3 광화학적 스모그(smog)의 3대 주요 원인요소와 거리가 먼 것은? 4 다음 중 인체 내에서 콜레스테롤, 인지질 및 지방분의 합성을 저해하거나 기타 다른 영양물질의 대사장애를 일으키며, 만성폭로 시 설태가 끼는 대기오염물질의 원소기호로 가장 적합한 것은?(오류 신고가 접수된 문제입니다. 반드시 정답과 해설을 확인하시기 바랍니다.) 5 다음 대기오염과 관련된 역사적 사건 중 주로 자동차 등에서 배출되는 오염물질로 인한 광화학 반응에 기인한 것은? 6 기본적으로 다이옥신을 이루고 있는 원소구성으로 가장 옳게 연결된 것은? (단, 산소는 2개이다.) 7 포스겐에 관한 설명으로 가장 적합한 것은? 8 다음 국제적인 환경관련 협약 중 오존층 파괴 물질인 염화불화탄소의 생산과 사용을 규제하려는 목적에서 제정된 것은? 9 SO2의 식물 피해에 관한 설명으로 가장 거리가 먼 것은? 10 A공장에서 배출되는 가스량이 480m3/min(아황산가스 0.20%(V/V)를 포함)이다. 연간 25%(부피기준)가 같은 방향으로 유출되어 인근 지역의 식물생육에 피해를 주었다고 할때, 향후 8년 동안 이 지역에 피해를 줄 아황산가스 총량은? (단, 표준상태 기준, 공장은 24시간 및 365일 연속가동 된다고 본다.) 11 체적이 100m3 인 복사실의 공간에서 오존(O3)의 배출량이 분당 0.4mg 인 복사기를 연속 사용하고 있다. 복사기 사용전의 실내오존(O3)의 농도가 0.2ppm라고 할 때 3시간 사용 후 오존농도는 몇 ppb인가? (단, 환기가 되지 않음, 0℃, 1기압 기준으로 하며, 기타 조건은 고려하지 않음) 12 자동차 배출가스 발생에 관한 설명으로 가장 거리가 먼 것은?
13 공기 중에서 직경 2μm의 구형 매연입자가 스토크스 법칙을 만족하며 침강할 때, 종말 침강속도는? (단, 매연입자의 밀도는 2.5g/cm3, 공기의 밀도는 무시하며, 공기의 점도는 1.81×10-4g/cm·sec) 14 유효굴뚝높이가 130m인 굴뚝으로부터 SO2가 30g/sec로 배출되고 있고, 유효고 높이에서 바람이 6m/sec로 불고 있다고 할 때, 다음 조건에 따른 지표면 중심선의 농도는? (단, 가우시안형의 대기오염 확산방정식 적용, σy : 220m σz : 40m) 15 라디오존데(radiosonde)는 주로 무엇을 측정하는데 사용되는 장비인가? 16 경도모델(또는 K-이론모델)을 적용하기 위한 가정으로 거리가 먼 것은? 17 대기구조를 대기의 분자 조성에 따라 균질층(homosphere)과 이질층(heterosphere)으로 구분할 때 다음 중 균질층의 범위로 가장 적절 한 것은? 18 불활성 기체로 일명 웃음의 기체라고도 하며, 대류권에서는 온실가스로, 성층권에서는 오존층 파괴물질로 알려진 것은? 19 다음 중 복사역전(radiation inversion)이 가장 잘 발생하는 계절과 시기는? 20 악취처리방법 중 특히 인체에 독성이 있는 악취 유발물질이 포함된 경우의 처리방법으로 가장 부적합한 것은? 21 다음은 굴뚝 배출가스 중의 질소산화물을 아연환원 나프틸에틸렌디아민법으로 분석 시시약과 장치의 구비조건이다. ( )안에 알맞은 것은? 22 굴뚝 배출가스 중 먼지 채취시 배출구(굴뚝)의 직경이 2.2m의 원형 단면일 때, 필요한 측정점의 반경구분수와 측정점수는? 23 다음은 굴뚝 배출가스 중 크롬화합물을 자외선가시선분광법으로 측정하는 방법이다. ( )안에 알맞은 것은? 24 다음은 굴뚝에서 배출되는 먼지측정방법에 관한 설명이다. ( )안에 알맞은 말을 순서대로 옳게 나열한 것은?
25 굴뚝 배출가스 중의 아황산가스 측정방법 중 연속자동측정법이 아닌 것은? 26 굴뚝에서 배출되는 염소가스를 분석하는 오르토톨리딘법에서 분석용 시료의 시험온도로 가장 적합한 것은? 27 굴뚝 배출가스 중 납화합물 분석을 위한 자외선가시선분광법에 관한 설명으로 옳은 것은?(관련 규정 개정전 문제로 여기서는 기존 정답인 3번을 누르면 정답 처리됩니다. 자세한 내용은 해설을 참고하세요.) 28 아황산가스(SO2) 25.6g을 포함하는 2L용액의 몰농도(M)는? 29 비분산적외선분광분석법에 관한 설명으로 옳지 않은 것은? 30 링겔만 매연 농도표를 이용한 방법에서 매연측정에 관한 설명으로 옳지 않은 것은?(오류 신고가 접수된 문제입니다. 반드시 정답과 해설을 확인하시기 바랍니다.) 31 대기오염공정시험기준상 용기에 관한 용어 정의로 옳지 않은 것은? 32 환경대기 중 아황산가스 농도를 측정함에 있어 파라로자닐린법을 사용할 경우 알려진 주요 방해물질과 거리가 먼 것은? 33 어느 지역에 환경기준시험을 위한 시료채취 지점수(측정점수)는 약 몇 개소 인가? (단, 인구비례에 의한 방법기준) 34 환경대기 중 먼지를 고용량 공기시료 채취기로 채취하고자 한다. 이 방법에 따른 시료채취 유량으로 가장 적합한 것은? 35 비분산적외선분광분석법에서 분석계의 최저눈금값을 교정하기 위하여 사용하는 가스는? 36 자외선가시선분광법에서 장치 및 장치 보정에 관한 설명으로 옳지 않은 것은?
37 다음은 환경대기 시료 채취방법에 관한 설명이다. 가장 적합한 것은? 38 굴뚝 내의 배출가스 유속을 피토우관으로 측정한 결과 그 동압이 2.2mmHg 이었다면 굴뚝내의 배출가스의 평균유속(m/sec)은? (단, 배출가스 온도 250℃, 공기의 비중량 1.3kg/Sm3, 피토우관계수 1.2 이다.) 39 대기오염공정시험기준에서 정하고 있는 온도에 대한 설명으로 옳지 않은 것은? 40 다음 중 배출가스유량 보정식으로 옳은 것은? (단, Q : 배출가스유량(Sm3/일), Os : 표준산소농도(%), Oa : 실측산소농도(%), Qa : 실측배출가스유량(Sm3/일)) 41 다음 연소장치 중 대용량 버너제작이 용이하나, 유량조절범위가 좁아(환류식 1:3, 비환류식 1:2 정도) 부하변동에 적응하기 어려우며, 연료 분사범위가 15~2000L/hr 정도인 것은? 42 두 개의 집진장치를 직렬로 연결하여 배출가스 중의 먼지를 제거하고자 한다. 입구 농도는 14g/m3 이고, 첫 번째와 두 번째 집진장치의 집진효율이 각각 75%, 95%라면 출구 농도는 몇 mg/m3인가? 43 여과집진장치의 간헐식 탈진방식에 관한 설명으로 옳지 않은 것은? 44 중유 1kg에 수소 0.15kg, 수분 0.002kg 이 포함되어 있고, 고위발열량이 10000kcal/kg일 때, 이 중유 3kg의 저위발열량은 대략 몇 kcal인가? 45 미분탄연소의 장점으로 거리가 먼 것은? 46 같은 화학적 조성을 갖는 먼지의 입경이 작아질 때 입자의 특성변화에 관한 설명으로 가장 적합한 것은? 47 벤젠을 함유한 유해가스의 일반적 처리방법은? 48 흡수탑을 이용하여 배출가스 중의 염화수소를 수산화나트륨 수용액으로 제거하려고 한다. 기상 총괄이동단위높이(HOG)가 1m인 흡수탑을 이용하여 99%의 흡수효율을 얻기 위한 이론적 흡수탑의 충전높이는?
61 대기환경보전법상 환경부장관은 대기오염물질과 온실가스를 줄여 대기환경을 개선하기 위한 대기환경개선 종합계획을 몇 년마다 수립하여 시행하여야 하는가? 62 대기환경보전법규상 정밀검사대상 자동차 및 정밀검사 유효기간기준으로 옳지 않은 것은? 63 악취방지법규상 지정악취물질인 메틸아이소뷰틸케톤의 악취배출허용기준은? (단, 단위는 ppm이며, 공업지역) 64 악취방지법규상 악취배출시설 중 가죽제조시설(원피저장시설)의 용적규모(기준)는? 65 대기환경보전법규상 한국환경공단이 환경부장관에게 행하는 위탁업무 보고사항 중 “자동차 배출가스 인증생략 현황”의 보고횟수 기준으로 옳은 것은? 66 대기환경보전법규상 구분하고 있는 건설기계에 해당하는 종류와 거리가 먼 것은? 67 대기환경보전법규상 자동차연료 제조기준 중 90% 유출온도(℃) 기준으로 옳은 것은? (단, 휘발유 적용) 68 대기환경보전법규상 사업자 등은 굴뚝배출가스 온도측정기를 새로 설치하거나 교체하는 경우에는 국가표준기본법에 의한 교정을 받아야 하는데 그 기록은 최소 몇 년 이상 보관하여야 하는가? 69 대기환경보전법령상 대기오염 경보단계 중 “중대경보 발령”시 조치사항만으로 옳게 나열한 것은? 70 대기환경보전법상 한국자동차환경협회의 정관으로 정하는 업무와 가장 거리가 먼 것은? (단, 그 밖의 사항 등은 고려하지 않는다.) 71 대기환경보전법규상 환경기술인을 임명하지 아니한 경우 4차 행정처분기준으로 옳은 것은? 72 실내공기질 관리법규상 신축 공동주택의 실내공기질 권고기준으로 옳지 않은 것은?
73 대기환경보전법규상 환경부령으로 정하는 바에 따라 사업자 스스로 방지시설을 설계ㆍ시공하고자 하는 사업자가 시ㆍ지도사에게 제출해야 하는 서류로 가장 거리가 먼 것은? 74 대기환경보전법규상 2016년 1월 1일 이후 제작자동차의 배출가스 보증기간 적용기준으로 옳지 않은 것은? 75 대기환경보전법규상 제1차 금속 제조시설 중 금속의 용융ㆍ용해 또는 열처리시설에서 대기오염물질 배출시설기준으로 옳지 않은 것은? 76 대기환경보전법령상 사업자가 기본부과금의 징수유예나 분할납부가 불가피하다고 인정되는 경우, 기본부과금의 징수유예기간과 분할납부 횟수기준으로 옳은 것은? 77 대기환경보전법상 이륜자동차 소유자는 배출가스가 운행차배출허용기준에 맞는지 이륜자동차 배출가스 정기검사를 받아야 한다. 이를 받지 아니한 경우 과태료 부과기준으로 옳은 것은? 78 대기환경보전법규상 자동차연료 검사기관은 검사대상 연료의 종류에 따라 구분하고 있는데, 다음 중 그 구분으로 옳지 않은 것은? 79 대기환경보전법령상 초과부과금 부과대상 오염물질과 거리가 먼 것은?(2018년 12월 31일 개정된 규정 적용됨) 80 대기환경보전법령상 초과부과금 산정기준에서 다음 오염물질 중 오염물질 1킬로그램당 부과금액이 가장 큰 것은?
App Store Google Play
오늘학습 예시 이미지

시험에 합격하려면
복습을 제대로 해야 합니다.

오늘학습은 스스로 기억을 떠올리고 계획적으로 복습할 수 있도록 설계돼 있어요.
그것도, 가장 과학적인 방식으로요!

능동적 회상

능동적 회상
(Active Recall)

배운 내용을 단순 읽으며 반복하는 것이 아니라,
능동적으로 기억하고 있는지를
스스로 테스트하며
공부할 수 있는
학습 환경을 제공해 학습 효과를 높여요

간격 반복 학습

간격 반복 학습
(Spaced Repetition)

에빙하우스 망각곡선을 바탕으로
가장 최적의 시점에 복습을 제공하여
배운 내용이 잊히지 않도록 장기 기억화해요

Data 기반의
뇌과학적 복습 시스템

학습 결과 Data를 분석해, 문제별 최적화된
반복 학습량을
자동으로 분배해요.
학습에 소요되는 시간을 최소화하는
동시에
단기 기억을 장기 기억으로 전환해줘요.

36만 개 이상의
기출문제 무료 제공

공무원 및 약 300여종의 자격증 시험 기출문제
36만개
이상을 무료로 이용할 수 있어요.
여러 앱을 설치할 필요
없이, 오늘학습 하나로
모든 시험을 준비할 수 있어요.

다양한 문제 유형으로 만드는
나만의 단어장&문제집

기출 외에도 외워야 하는 내용은
객관식, 주관식, 카드, 빈칸
등 다양한 형식으로
직접 만들어 보세요. 내 학습 스타일에
맞게
나만의 단어장과 문제집을 만들 수 있어요.

시험별 체계적인
문제 관리

시험에 문제를 추가해 체계적으로
관리할 수 있어요.
주제나 단원별로
분류하고 싶다면,
시험에 챕터를 만들어
문제를 추가할 수도 있어요.

수십만 명이
오늘학습을 사랑합니다

앱 스토어 평점 4.9
구글 플레이 평점 4.8
누적 회원수 100,000+
지금 오늘학습을
시작해보세요
지금 시작하기
문제 선택