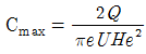
Sutton의 확산 방정식에서 최대 지표농도는 이다. 현재 He가 40m일 때, 최대 지표농도를 1/4로 낮추려면 He(m)는? (단, 다른 모든 조건은 같음)
지금 시작하기 →

・・・ 문제은행 대기환경산업기사(2016년 1회) 11번

대기환경산업기사 2016년 03월 11번

Sutton의 확산 방정식에서 최대 지표농도는 이다. 현재 He가 40m일 때, 최대 지표농도를 1/4로 낮추려면 He(m)는? (단, 다른 모든 조건은 같음)

1
80
2
100
3
120
4
160
단축키
이전 문제로 이동은 키를 누르고, 다음 문제로 이동은 키를 누르세요
이전 문제 , 다음 문제
문제(80)
13 상온에서 녹황색이고, 강한 자극성 냄새를 내는 기체로서 비중이 2.49(공기=1)인 오염물질은? 14 혼합기체의 부피조성이 질소(N2) 80%와 이산화탄소(CO2) 20%로 이루어졌을 때 평균분자량은? 15 열섬현상에 대한 특징으로 틀린 것은? 16 실내공기오염의 일반적인 지표가 되는 오염물질로서 다중이용시설에서 실내공기질 유지기준이 1,000ppm 이하인 것은? 17 대기오염물질과 주요 배출원이 잘못 짝지어진 것은? 18 다음 설명에 해당하는 대기오염물질은? 19 대기의 특성과 관련된 설명으로 틀린 것은? 20 아황산가스의 재산상 피해를 설명한 것으로 가장 옳은 것은? 21 원자흡광광도법으로 대기오염물질의 농도를 정량할 때, 3종류 이상의 농도의 표준시료용액에 대하여 흡광도를 측정하여 표준물질의 농도를 가로대에, 흡광도를 세로대에 취하여 그래프를 그린 후 시료용액의 흡광도 결과를 대입하여 시료의 농도를 구하는 방법은? 22 분석대상가스가 페놀인 경우 채취관 및 도관의 재질로 가장 거리가 먼 것은? 23 표준산소농도 적용을 받는 A성분의 실측농도가 200mg/Sm3이고, 실측산소농도가 3.5%이다. 표준산소농도로 보정한 A성분의 농도는? (단, 표준산소농도는 3.05% 이다.) 24 환경대기 중의 탄화수소 농도를 측정하기 위한 시험방법 중 주 시험법에 해당하는 것은?
25 배출가스상 물질 시료채취 시 흡수병을 사용할 경우 채취관은 배출가스의 흐르는 방향에 대하여 어떻게 설치하여야 하는가? 26 굴뚝단면이 원형이고 굴뚝반경이 1.1m일 때 먼지를 측정하기 위한 측정점수로 적합한 것은? 27 환경대기 중 일산화탄소를 수소염 이온화 검출기법으로 측정하고자 할 때, 그 원리로 옳은 것은? 28 굴뚝의 150℃인 배출가스를 피토우관으로 측정한 결과 동압이 20mmH2O였을 때 유속은? (단, 습한 배출가스 밀도는 1.3kg/Sm3, 피토우관 계수는 0.8790이다.) 29 흡광광도 분석장치 중 광원부에서 자외부의 광원으로 주로 사용되는 것은? 30 배출가스 중의 중금속류를 분석할 때 시료 채취시 사용한 여과지의 전처리로서 저온 회화법을 이용한다. 저온 회화법의 회화온도 기준으로 적절한 것은? 31 배출가스 중의 황화수소 분석 방법 중 요오드적정법에서 종말점의 색은? 32 비분산 적외선 분석계의 장치구성에 관한 설명으로 옳지 않은 것은? 33 시험의 기재 및 용어에 대한 설명 중 옳지 않은 것은? 34 환경대기 중의 시료채취방법 중 고용량공기포집기(High Volume Air Sampler)의 포집용 여과지에 관한 설명으로 가장 거리가 먼 것은? 35 이온크로마토그래프법에서 장치구성에 관한 설명으로 가장 거리가 먼 것은? 36 질소산화물을 페놀디술폰산법으로 분석할 때 사용하는 흡수액으로 옳은 것은?
61 미세먼지(PM-10)의 24시간 평균치 기준(환경기준)은? 62 대기환경보전법규상 측정기기의 부착 · 운영 등과 관련된 행정처분기준 중 교정가스 또는 교정액의 표준값을 거짓으로 입력하거나 부적절한 교정가스 또는 교정액을 사용하는 경우의 각 위반차수(1차-4차)별 행정처분기준으로 옳은 것은? 63 대기환경보전법 시행규칙에 규정된 자동차 연료용 첨가제가 아닌 것은? 64 대기환경보전법규상 대기환경규제지역으로 지정된 경우, 당해 지역의 시·도지사가 당해지역의 환경기준을 달성·유지하기 위한 실천계획 수립 시 포함하여야 할 사항으로 가장 거리가 먼 것은? 65 대기환경보전법규상 위임업무 보고사항 중 “환경오염사고 발생 및 조치사항”의 보고횟수 기준은? 66 사업자가 환경기술인의 임명신고를 할 때 신고기간은? 67 대기환경보전법규상 환경기술인의 보수교육은 신규교육을 받은 날을 기준으로 몇 년마다 받아야 하는가? (단, 정보통신매체를 이용하여 원격교육을 하는 경우 제외) 68 다음 중 인증을 생략할 수 있는 자동차로 가장 적절한 것은? 69 대기오염물질 배출시설의 변경신고 사항이 되는 것은? 70 대기환경보전법규상 자가측정대상 배출구별 규모에 따른 측정횟수기준으로 옳은 것은? (단, 관제센터로 측정결과를 자동전송하지 않는 사업장의 배출구 기준) 71 대기오염경보에 관한 내용 중 옳지 않은 것은? 72 대기환경보전법규상 자동차 운행정지표지에 관한 사항으로 옳지 않은 것은?
App Store Google Play
오늘학습 예시 이미지

시험에 합격하려면
복습을 제대로 해야 합니다.

오늘학습은 스스로 기억을 떠올리고 계획적으로 복습할 수 있도록 설계돼 있어요.
그것도, 가장 과학적인 방식으로요!

능동적 회상

능동적 회상
(Active Recall)

배운 내용을 단순 읽으며 반복하는 것이 아니라,
능동적으로 기억하고 있는지를
스스로 테스트하며
공부할 수 있는
학습 환경을 제공해 학습 효과를 높여요

간격 반복 학습

간격 반복 학습
(Spaced Repetition)

에빙하우스 망각곡선을 바탕으로
가장 최적의 시점에 복습을 제공하여
배운 내용이 잊히지 않도록 장기 기억화해요

Data 기반의
뇌과학적 복습 시스템

학습 결과 Data를 분석해, 문제별 최적화된
반복 학습량을
자동으로 분배해요.
학습에 소요되는 시간을 최소화하는
동시에
단기 기억을 장기 기억으로 전환해줘요.

36만 개 이상의
기출문제 무료 제공

공무원 및 약 300여종의 자격증 시험 기출문제
36만개
이상을 무료로 이용할 수 있어요.
여러 앱을 설치할 필요
없이, 오늘학습 하나로
모든 시험을 준비할 수 있어요.

다양한 문제 유형으로 만드는
나만의 단어장&문제집

기출 외에도 외워야 하는 내용은
객관식, 주관식, 카드, 빈칸
등 다양한 형식으로
직접 만들어 보세요. 내 학습 스타일에
맞게
나만의 단어장과 문제집을 만들 수 있어요.

시험별 체계적인
문제 관리

시험에 문제를 추가해 체계적으로
관리할 수 있어요.
주제나 단원별로
분류하고 싶다면,
시험에 챕터를 만들어
문제를 추가할 수도 있어요.

수십만 명이
오늘학습을 사랑합니다

앱 스토어 평점 4.9
구글 플레이 평점 4.8
누적 회원수 100,000+
지금 오늘학습을
시작해보세요
지금 시작하기
문제 선택